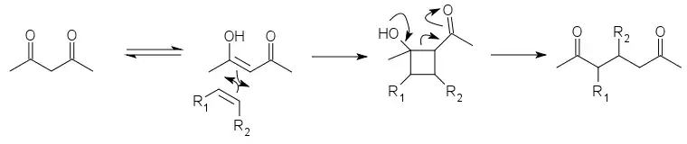
The DeMayo reaction is a photochemical reaction in which the enol of a 1,3-diketone reacts with an alkene (or another species with a C=C bond) and the resulting cyclobutane ring undergoes a retro-aldol reaction to yield a 1,5-diketone:[1]

The DeMayo reaction

The net effect is to add the two carbon atoms in the C=C double bond between the two carbonyl groups of the diketone. It is thus useful in syntheses both as a relatively selective way to join two parts of a molecule and as a way to apply the more developed chemistry of 1,3-diketone synthesis to 1,5-diketones. The first part is a [2+2] cycloaddition. The ensuing retro-aldol cleavage is favored by the relative instability of the cyclobutane ring.

De Mayo startAnimGif
An animation of the reaction mechanism

References

  1. Li, Jie Jack (30 January 2014). Name reactions : a collection of detailed mechanisms and synthetic applications (Fifth ed.). Cham. ISBN 9783319039794. OCLC 870309747.{{cite book}}: CS1 maint: location missing publisher (link)
This article is issued from Wikipedia. The text is licensed under Creative Commons - Attribution - Sharealike. Additional terms may apply for the media files.