Acetileto metálico
Um acetileto metálico é um alquino no qual o próton terminal (hidrogênio) tenha sido substituído por um metal tal como sódio ou um organolítio. Então, por exemplo, o alquino CH3C≡CH deve ser deprotonado para formar o íon acetaleto CH3C≡C−. Uma vez tendo sido deprotonado ele torna-se um forte nucleófilo. Alguns acetiletos, eg. acetileto de prata ou acetileto de cobre, são explosivos.
A estrutura geral de uma acetaleto metálico.
Íons acetileto são muito úteis em reações na química orgânica na combinação de cadeias de carbono, particularmente reações de adição e substituição. Um tipo de reação apresentada pelos acetiletos são as reações de adição com cetonas para formar álcoois terciários.[1]

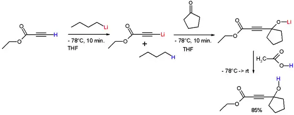
Scheme 1. Reaction of ethyl propiolate with n-butyllithium to form the lithium acetylide.
Referências
- Synthesis of alkyl 4-hydroxy-2-alkynoates M. Mark Midland, Alfonso Tramontano, John R. Cable J. Org. Chem.; 1980; 45(1); 28-29. Abstract
This article is issued from Wikipedia. The text is licensed under Creative Commons - Attribution - Sharealike. Additional terms may apply for the media files.