Anelação de Robinson
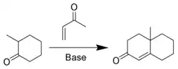
A anulação de Robinson é uma reação química usada na química orgânica para a formação de anéis. Foi descoberto por Robert Robinson em 1935 como um método para criar um anel de seis membros, formando três novas ligações carbono-carbono.[1] O método utiliza uma cetona e uma metil vinil cetona para formar uma cetona α, β-insaturada em um anel de ciclohexano por uma adição de Michael seguida por uma condensação de aldol. Este procedimento é um dos principais métodos para formar sistemas de anéis fundidos.

A formação de ciclohexenona e derivados é importante na química para sua aplicação na síntese de muitos produtos naturais e outros compostos orgânicos interessantes, como antibióticos e esteróides.[2] Especificamente, a síntese de cortisona é concluída através do uso da anulação de Robinson.[3]
O artigo inicial sobre a anulação de Robinson foi publicado por William Rapson e Robert Robinson, enquanto Rapson estudava em Oxford com o professor Robinson. Antes do trabalho, as sínteses de ciclohexenona não eram derivadas do componente cetona α, β-insaturado. As abordagens iniciais acoplaram a metil vinil cetona a um naftol para dar um naftolóxido, mas esse procedimento não foi suficiente para formar a ciclohexenona desejada. Isso foi atribuído a condições inadequadas da reação.[1]
Robinson e Rapson descobriram em 1935 que a reação entre ciclo-hexanona e cetona α, β-insaturada formava a ciclo-hexenona desejada. Continua sendo um dos métodos principais para a construção de compostos de anel de seis membros. Como é tão amplamente utilizado, há muitos aspectos da reação que foram investigados, como variações dos substratos e condições da reação, conforme discutido na seção de escopo e variações.[4] Robert Robinson ganhou o Prêmio Nobel de Química em 1947 por sua contribuição ao estudo dos alcalóides.
Mecanismo
O procedimento original da anulação de Robinson começa com o ataque nucleofílico de uma cetona em uma reação de Michael em uma cetona de vinil para produzir o aduto intermediário de Michael. O fechamento subsequente do anel do tipo aldol leva ao álcool ceto, que é então seguido por desidratação para produzir o produto de anulação.
Na reação de Michael, a cetona é desprotonada por uma base para formar um nucleófilo enolato que ataca o aceitador de elétrons (em vermelho). Este aceitador é geralmente uma cetona α, β-insaturada, embora aldeídos, derivados ácidos e compostos semelhantes possam funcionar também (consulte o escopo). No exemplo mostrado aqui, a regioselectividade é ditada pela formação do enolato termodinâmico. Alternativamente, a regioselectividade é frequentemente controlada usando uma β-dicetona ou β-cetoéster como o componente enolato, uma vez que a desprotonação no carbono flanqueado pelos grupos carbonila é fortemente favorecida. A condensação intramolecular de aldol ocorre então de maneira a instalar o anel de seis membros. No produto final, os três átomos de carbono do sistema α, β-insaturado e o carbono α ao seu grupo carbonil formam a ponte de quatro carbonos do anel recém-instalado.

Para evitar uma reação entre o enolato original e o produto da ciclohexenona, o aduto inicial de Michael é freqüentemente isolado primeiro e depois ciclizado para obter a octalona desejada em uma etapa separada. [5]
Estereoquímica
Estudos foram concluídos sobre a formação das hidroxicetonas no esquema de reação de anulação de Robinson. O composto trans é favorecido devido aos efeitos antiperiplanares da condensação final de aldol em reações cineticamente controladas. Verificou-se também que a ciclização pode prosseguir na orientação sinclinal. A figura abaixo mostra as três possíveis vias estereoquímicas, assumindo um estado de transição da cadeira.[6]
Foi postulado que a diferença na formação desses estados de transição e seus produtos correspondentes se deve a interações com solventes. Scanio descobriu que alterar o solvente da reação de dioxano para DMSO fornece estereoquímica diferente na etapa D acima. Isso sugere que a presença de solventes próticos ou apróticos gera diferentes estados de transição.[7]

- Rapson, William Sage; Robinson, Robert (1935). "307. Experiments on the synthesis of substances related to the sterols. Part II. A new general method for the synthesis of substituted cyclohexenones". Journal of the Chemical Society (Resumed): 1285. doi:10.1039/JR9350001285
- Heathcock, Clayton H.; Ellis, John E.; McMurry, John E.; Coppolino, Anthony (1971). "Acid-catalyzed Robinson Annelations". Tetrahedron Letters. 12 (52): 4995–96. doi:10.1016/s0040-4039(01)97609-9
- Acheson, R. M.; Robinson, Robert (1952). "198. Experiments bearing on the synthesis of cortisone. Part I. Some cyclopentenone derivatives". Journal of the Chemical Society (Resumed): 1127. doi:10.1039/JR9520001127
- Ho, Tse-Lok (1992). Tandem organic reactions. New York: Wiley. ISBN 978-0-471-57022-6.
- Gawley, Robert E. (1976). "The Robinson Annelation and Related Reactions". Synthesis. 1976 (12): 777–794. doi:10.1055/s-1976-24200
- Nussbaumer, Cornelius (1990). "Stereochemistry of the Robinson Anellation: Studies on the Mode of Formation of the Intermediate Hydroxy Ketones". Helvetica Chimica Acta. 73(6): 1621–1636. doi:10.1002/hlca.19900730607
- Scanio, Charles J. V.; Starrett, Richmond M. (1971). "Remarkably stereoselective Robinson annulation reaction". Journal of the American Chemical Society. 93 (6): 1539–1540. doi:10.1021/ja00735a059