Ciclo ozônio-oxigênio
Ciclo ozônio-oxigênio, mais conhecido como ciclo do ozônio, é o processo de interconversibilidade entre o ozônio e o oxigênio, o qual ocorre na estratosfera. Este ciclo é responsável pela absorção da maior parte da radiação ultravioleta solar, que pode causar sérios problemas aos seres vivos, como mutações genéticas, câncer e até catarata[1]. O ciclo ozônio-oxigênio pode ser resumido pela equação química:
- O3 ⇌ O2 + [O]
Na reação direta, o ozônio absorve grande quantidade de radiação ultravioleta, e na reação inversa, há pequeno desprendimento de energia térmica. Este equilíbrio químico é responsável pela filtração desta radiação.
Formação do ozônio

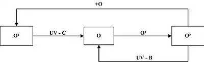
- Processo não Catalítico:
Acima da estratosfera, o ar é muito leve e a concentração de moléculas é tão baixa que a maioria do oxigênio existe na forma atômica, resultado da dissociação das moléculas de oxigênio por fótons UV-C de luz solar. Mais abaixo, na estratosfera é mais comum encontrar o oxigênio na forma diatômica (O2), pois já não existe tanta radiação. As moléculas atômicas do nível superior acabam por colidir com as diatômicas abaixo, gerando assim o ozônio (O3).[2]
Da mesma maneira acontece a destruição do ozônio, qual absorve radiação UV-B e libera novamente moléculas diatômicas e atômicas. Funcionando como um ciclo, chamado de ciclo de Chapman.[2]
- Processo Catalítico:
Alguns catalisadores aceleram a destruição do ozônio. Tais catalisadores em sua maioria são poluentes derivados da atividade humana, entre eles o mais preocupante são as moléculas que contém Cloro (Cl), que em sua forma atômica, age como catalisador da reação desequilibrando o ciclo de Chapman. Está representado pelas seguintes equações químicas:[3]
- Cl(g) + O3(g) → ClO(g) + O2(g)
- ClO(g) + O3(g) → Cl(g) + 2 O2(g)
Reação global:
- 2 O3(g) → 3 O2(g)
Até o final dos anos 80, não se sabia desta reação que, ao ser descoberta, moveu uma grande preocupação alimentada pela depleção do ozônio na Antártida, e acabou movendo muitos países que classificaram a situação como crise ambiental. O cloro provinha da utilização de clorofluorocarbonetos (CFC) muito utilizados em aerossóis e gases para refrigeração.[4] O Protocolo de Montreal foi idealizado para que os países signatários diminuíssem a emissão dos compostos catalisadores do ciclo ozônio-oxigênio.[2]
Papel no aquecimento global
A eficiência do cloro como catalisador é bastante elevada, chegando a quebrar 100.000 moléculas de ozônio em um ano. Como o bom ozônio (da estratosfera) absorve grande quantidade de radiação solar no ciclo ozônio-oxigênio, a sua degradação pode intensificar o efeito estufa em muito. Por isso o CFC é considerado um gás de efeito estufa (GEE), mesmo que sua ação seja indireta. O Global Warming Factor (GWF) dos CFCs é 5000 a 14000 , o que significa que é de 5000 a 14000 vezes mais eficiente que o CO2 na intensificação do efeito estufa. Porém, não há grande preocupação na comunidade científica internacional quanto a estes compostos, devido a dois fatores: a concentração deles na atmosfera é menor que 1 ppb , e, com o Protocolo de Montreal, sua produção e utilização estão sendo diminuídas a valores muito baixos.
Referências
- Roger Dobson (1 de dezembro de 2005). «Ozone depletion will bring big rise in number of cataracts» (HTML) (em inglês). British Medical Journal. Consultado em 2 de dezembro de 2012
- Baird, Colin (1999). Environmental Chemistry (em inglês) 2ª ed. Estados Unidos: W. H. Freeman and Company. pp. 39–68
- Dr. Glenn Carver. «Part III. The Science of the Ozone Hole» (HTML) (em inglês). Centre for Atmospheric Science. Consultado em 2 de dezembro de 2012
- Karin L. Gleason (20 de março de 2008). «Science: Ozone Basics» (HTML) (em inglês). National Oceanic and Atmospheric Administration. Consultado em 2 de dezembro de 2012