Conjunto de partes
A família de todos os subconjuntos de um conjunto dado é chamado de conjunto de partes (ou conjunto potência ) de , denotado por ou . [1]
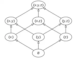
Exemplo

Se S é o conjunto de três elementos {x, y, z} a lista completa de subconjuntos de S é:
- { } (o conjunto vazio);
- {x};
- {y};
- {z};
- {x, y};
- {x, z};
- {y, z};
- {x, y, z};
e portanto o conjunto de partes de S é o conjunto de 8 elementos:
- P(S) = {{ }, {x}, {y}, {z}, {x, y}, {x, z}, {y, z}, {x, y, z}}.
Cardinalidade
O número de elementos do conjunto de partes de S é sempre maior que o número de elementos de S, mesmo no caso de S ter um número infinito de elementos.
Se S tem n elementos, pode-se provar que P(S) tem elementos. No caso de S ser um conjunto infinito, define-se (em que |S| representa o número de elementos de S). Por outro lado, sendo , também pode ser provado que .
A hipótese do continuum especula se existe algum conjunto entre e , ou seja, um conjunto com mais elementos que e menos elementos que .
Teoria dos Conjuntos
Na Teoria dos Conjuntos, em particular na sua formulação segundo os axiomas de Zermelo-Fraenkel, existe um axioma cuja finalidade é garantir a existência do conjunto das partes: o axioma da potência.
Ver também
- Wikilivro b:Matemática elementar/Conjuntos, com a demonstração de que P(S) tem 2n elementos