Controle de malha fechada
Também chamado de controle retroativo (realimentação ou feedback) necessita de informações da saída do controlador através de elementos sensores ou transdutores, compara o sinal da saída com o set-point(referência) e corrige a saída caso a mesma esteja desviando-se dos parâmetros programados.
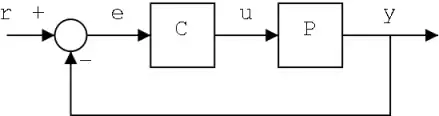
No controle em malha fechada, informações sobre como a saída de controle está evoluindo são utilizadas para determinar o sinal de controle que deve ser aplicado ao processo em um instante específico. Isto é feito a partir de uma realimentação da saída para a entrada. O diagrama básico de um sistema de controle em malha-fechada é mostrado na figura abaixo. Em geral, a fim de tornar o sistema mais preciso e de fazer com que ele reaja a perturbações externas, o sinal de saída é comparado com um sinal de referência (chamado no jargão industrial de set-point) e o desvio (erro) entre estes dois sinais é utilizado para determinar o sinal de controle que deve efetivamente ser aplicado ao processo. Assim, o sinal de controle é determinado de forma a corrigir este desvio entre a saída e o sinal de referência. O dispositivo que utiliza o sinal de erro para determinar ou calcular o sinal de controle a ser aplicado à planta(sistema a ser controlado) é o controlador (ou compensador) . [1]

Um exemplo é uma geladeira. Em uma geladeira a temperatura interna é medida e comparada com um valor de referência pré-estabelecido pelo usuário. Caso a temperatura interna fique acima da temperatura pré-estabelecida (devido a temperatura externa ou a temperatura de algum alimento colocado na geladeira estar acima da temperatura interna), a geladeira é acionada e a temperatura começa a abaixar. Quando a temperatura atinge o valor de referência, o motor da geladeira é desligado. Desta maneira, a temperatura da geladeira tende a ficar em torno da referência.
Aplicações
A utilização da realimentação e, portanto, do controle em malha fechada, permite, entre outros:
- Aumentar a precisão do sistema;
- Rejeitar o efeito de perturbações externas;
- Melhorar a dinâmica do sistema e, eventualmente, estabilizar um sistema naturalmente instável em malha aberta;
- Diminuir a sensibilidade do sistema a variações dos parâmetros do processo, ou seja, tornar o sistema robusto.
Referências
- Joao Manoel Gomes da Silva- 2000-04-03 - http://www.ece.ufrgs.br/~jmgomes/pid/Apostila/apostila/node6.html