Distribuição log-normal

Em probabilidade e estatística, uma variável aleatória é uma distribuição de probabilidade, cujo logaritmo é normalmente distribuído. Uma variável aleatória X tem a distribuição log-normal quando o seu logaritmo tem a distribuição normal. Logo, sua função de densidade é

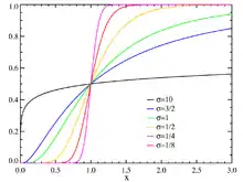
A função densidade de probabilidade da distribuição log-normal para µ=0 e diferentes valores de σ.
A função distribuição acumulada da distribuição log-normal para µ=0 e diferentes valores de σ.

A importância da distribuição log-normal se deve a um resultado análogo ao Teorema do Limite Central: assim como uma distribuição normal aparece quando são somadas várias variáveis independentes (para ver o enunciado mais preciso, consulte o artigo sobre o teorema), a distribuição log-normal aparece naturalmente como o produto de várias variáveis independentes (sempre positivas).

Por exemplo, em Finanças, o preço de uma ação no futuro pode ser modelado como o efeito de vários pequenos ajustes independentes, ou seja:

Ou seja, aplicando o log, temos que é a soma de várias variáveis aleatórias independentes, ou seja, pode ser aproximado por uma distribuição normal - portanto Pn pode ser aproximado por uma log-normal.

Média

O valor esperado de , quando Y é uma variável aleatória normal, vale:

em que é a variância de Y.

Variância

A variância da log-normal também pode ser expressa em função da normal. Sendo e Y normal, temos:

Fórmulas inversas

Seja , então a média e variância de Y podem ser expressas em função da média e variância de X como:

Ligações externas

This article is issued from Wikipedia. The text is licensed under Creative Commons - Attribution - Sharealike. Additional terms may apply for the media files.