Estudo de gêmeos
Estudos de gêmeos são estudos realizados em gêmeos idênticos ou fraternos. Eles visam revelar a importância de influências ambientais e genéticas para características, fenótipos e distúrbios. A pesquisa com gêmeos é considerada uma ferramenta fundamental na genética comportamental e nos campos de conteúdo, da biologia à psicologia. Os estudos com gêmeos fazem parte da metodologia mais ampla usada na genética do comportamento, que usa todos os dados que são geneticamente informativos - estudos sobre irmãos, estudos sobre adoção, genealogia, etc. doenças como esquizofrenia.
Gêmeos são uma fonte valiosa para observação porque permitem o estudo da influência do ambiente e variando a composição genética: "idêntico" ou monozigóticos (MZ) gémeos possuem, essencialmente, 100% dos seus genes, o que significa que a maioria das diferenças entre os gémeos (tais como a altura, suscetibilidade ao tédio, inteligência, depressão etc.) se devem a experiências que um gêmeo tem, mas não o outro gêmeo.[1] Gêmeos "fraternos" ou dizigóticos (DZ) compartilham apenas cerca de 50% de seus genes, o mesmo que qualquer outro irmão. Os gêmeos também compartilham muitos aspectos de seu ambiente (por exemplo, ambiente uterino, estilo parental, educação, riqueza, cultura, comunidade) porque nascem na mesma família. A presença de uma característica genética ou fenotípica em apenas um membro de um par de gêmeos (chamado discordância) fornece uma poderosa janela para os efeitos ambientais dessa característica.
Gêmeos também são úteis para mostrar a importância do ambiente único (específico para um gêmeo ou outro) ao estudar a apresentação de características. Alterações no ambiente exclusivo podem resultar de um evento ou ocorrência que afetou apenas um gêmeo. Isso pode variar de um ferimento na cabeça ou um defeito de nascença que um gêmeo sofreu enquanto o outro permanece saudável.
O design clássico dos gêmeos compara a semelhança entre gêmeos monozigóticos (idênticos) e dizigóticos (fraternos). Se gêmeos idênticos são consideravelmente mais semelhantes que gêmeos fraternos (o que é encontrado para a maioria das características), isso implica que os genes desempenham um papel importante nessas características. Ao comparar muitas centenas de famílias com gêmeos, os pesquisadores podem entender mais sobre os papéis dos efeitos genéticos, ambiente compartilhado e ambiente único na formação do comportamento.
Estudos modernos de gêmeos concluíram que quase todas as características são em parte influenciadas por diferenças genéticas, com algumas características mostrando uma influência mais forte (por exemplo, altura), outras um nível intermediário (por exemplo, traços de personalidade) e algumas herdabilidades mais complexas, com evidências de diferentes genes que afetam diferentes aspectos da característica – como no caso do autismo.[2] As premissas metodológicas nas quais os estudos com gêmeos se baseiam, no entanto, foram criticadas como insustentáveis.[3][4]
História

Os gêmeos têm sido de interesse dos estudiosos desde a civilização primitiva, incluindo o primeiro médico Hipócrates (século V a.C.), que atribuiu diferentes doenças nos gêmeos a diferentes circunstâncias materiais[5] e o filósofo estóico Posidonius (século I a.C.), que atribuiu tal semelhanças com circunstâncias astrológicas compartilhadas.[6] Um estudo mais recente é do uso pioneiro de gêmeos de Sir Francis Galton para estudar o papel dos genes e do ambiente no desenvolvimento e comportamento humano. Galton, no entanto, desconhecia a diferença entre gêmeos idênticos e DZ.[7]
Esse fator ainda não foi compreendido quando o primeiro estudo usando testes psicológicos foi conduzido por Edward Thorndike (1905), com cinquenta pares de gêmeos.[8][9] Este artigo foi uma afirmação precoce da hipótese de que os efeitos familiares diminuem com a idade. Seu estudo comparou pares de gêmeos de 9 a 10 e 13 a 14 anos de idade com irmãos normais nascidos alguns anos depois do outro.
Thorndike argumentou incorretamente que seus dados eram compatíveis com a existência de um, não dois, gêmeos. Esse erro foi repetido por Ronald Fisher (1919), que argumentou
A preponderância de gêmeos do mesmo sexo, de fato, se tornou um novo problema, porque se acreditava que era devido à proporção de gêmeos idênticos. Até onde sei, no entanto, nenhuma tentativa foi feita para mostrar que os gêmeos são suficientemente parecidos para serem considerados idênticos realmente existem em número suficiente para explicar a proporção de gêmeos do mesmo sexo.[10]
Um estudo inicial, e talvez o primeiro, que compreendeu a distinção é do geneticista alemão Hermann Werner Siemens em 1924.[11] O principal entre as inovações da Siemens foi o diagnóstico de similaridade polissintomática. Isso permitiu que ele explicasse a supervisão que atrapalhou Fisher, e foi um grampo na pesquisa de gêmeos antes do advento dos marcadores moleculares.
Wilhelm Weinberg e colegas, em 1910, usaram a distinção DZ idêntica para calcular as respectivas taxas a partir da proporção de gêmeos do mesmo sexo e do sexo oposto em uma população de maternidade. Eles dividiram a co-variação entre parentes em elementos genéticos e ambientais, antecipando o trabalho posterior de Fisher e Wright, incluindo o efeito de dominância na semelhança de parentes e iniciando os primeiros estudos com gêmeos clássicos.[12]
Um estudo conduzido por Darrick Antell e Eva Taczanowski descobriu que "os gêmeos que mostram as maiores discrepâncias nos sinais visíveis do envelhecimento também tiveram o maior grau de discordância entre as escolhas e os hábitos pessoais de estilo de vida" e concluíram que "as influências genéticas no envelhecimento podem ser superestimadas, com escolhas de estilo de vida que exercem efeitos muito mais importantes no envelhecimento físico".[13]
Exemplos
Exemplos de importantes estudos sobre gêmeos incluem o seguinte:
- Estudo bipolar de Maudsley
- Estudo da Família Gêmea de Minnesota
- Estudo de Desenvolvimento Inicial de Gêmeos
Métodos
O poder dos desenhos gêmeos decorre do fato de que os gêmeos podem ser monozigóticos (idênticos (MZ): desenvolvendo-se a partir de um único óvulo fertilizado e, portanto, compartilhando todos os seus alelos) - ou dizigóticos (DZ: desenvolvendo-se de dois óvulos fertilizados e, portanto, compartilhando média de 50% de seus alelos polimórficos, o mesmo nível de similaridade genética encontrado em irmãos não gêmeos). Essas diferenças conhecidas na semelhança genética, juntamente com uma suposição testável de ambientes iguais para gêmeos idênticos e fraternos[14] cria a base para o projeto de gêmeos para explorar os efeitos da variação genética e ambiental em um fenótipo.[15][16]
A lógica básica do estudo de gêmeos pode ser entendida com muito pouca matemática, além de uma compreensão dos conceitos de variação e daí correlação derivada.
Método gêmeo clássico
Como toda pesquisa genética comportamento, o estudo gêmeo clássico começa de avaliar a variação de um comportamento (chamado de fenótipo pelos geneticistas) em um grande grupo, e as tentativas de estimar o quanto disso é devido a:
- efeitos genéticos (herdabilidade);
- ambiente compartilhado - eventos que acontecem aos dois gêmeos, afetando-os da mesma maneira;
- ambiente não compartilhado, único ou não compartilhado - eventos que ocorrem em um gêmeo, mas não no outro, ou eventos que afetam qualquer um dos gêmeos de uma maneira diferente.
Normalmente, esses três componentes são chamados de (genética aditiva) (ambiente comum) e (ambiente único); daí o acrônimo . Também é possível examinar os efeitos genéticos não aditivos (geralmente designados por para dominância (modelo ADE); veja abaixo projetos mais complexos de gêmeos).
O modelo ACE indica que proporção de variação em uma característica é herdável, em comparação com a proporção devido ao ambiente compartilhado ou ambiente não compartilhado. A pesquisa é realizada usando programas SEM, como o OpenMx, no entanto, a lógica principal do projeto duplo é a mesma, conforme descrito abaixo:
Gêmeos monozigóticos (idênticos - MZ) criados em uma família compartilham 100% de seus genes e todo o ambiente compartilhado. Quaisquer diferenças que surjam entre eles nessas circunstâncias são aleatórias (únicas). A correlação entre gêmeos idênticos fornece uma estimativa de . Gêmeos dizigóticos (DZ) também compartilham , mas compartilham em média 50% de seus genes: portanto, a correlação entre gêmeos fraternos é uma estimativa direta de . Se é correlação, então e são simplesmente as correlações da característica em gêmeos idênticos e fraternos, respectivamente. Para qualquer característica em particular, então:
, portanto, é duas vezes a diferença entre correlações de gêmeos idênticos e fraternos: o efeito genético aditivo (fórmula de Falconer). é simplesmente a correlação MZ menos essa estimativa de . O fator aleatório (único) é de , ou seja, os gêmeos MZ diferem devido apenas a ambientes únicos. (Jinks & Fulker, 1970; Plomin, DeFries, McClearn e McGuffin, 2001).
Afirmado novamente, a diferença entre essas duas somas, portanto, permite resolver , e . Como a diferença entre as correlações idênticas e fraternas é devida inteiramente à metade da similaridade genética, o efeito genético aditivo é simplesmente o dobro da diferença entre as correlações idênticas e fraternas:
Como a correlação idêntica reflete o efeito total de e , pode ser estimado subtraindo essa correlação de 1
Finalmente, C pode ser derivado:
Modelagem moderna
A partir da década de 1970, a pesquisa passou a modelar efeitos genéticos e ambientais usando métodos de máxima verossimilhança (Martin & Eaves, 1977). Embora computacionalmente muito mais complexa, essa abordagem tem vários benefícios, tornando-a quase universal na pesquisa atual.
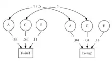
Um exemplo de modelo estrutural (para herdabilidade da altura entre machos dinamarqueses)[17] é mostrado:
![]() A: Modelo ACE mostrando coeficientes de variância brutos (não padronizados) |
![]() B: modelo de ECA mostrando coeficientes de variância padronizados |
O modelo A, à esquerda, mostra a variação bruta em altura. Isso é útil, pois preserva os efeitos absolutos de genes e ambientes e os expressa em unidades naturais, como mm de mudança de altura. Às vezes, é útil padronizar os parâmetros, para que cada um seja expresso como porcentagem da variação total. Como decompusemos a variação em , e , a variação total é simplesmente . Podemos então dimensionar cada um dos parâmetros únicos como uma proporção desse total, ou seja, Padronizado – . A herdabilidade é o efeito genético padronizado.
Comparação de modelos
Um dos principais benefícios da modelagem é a capacidade de comparar explicitamente os modelos: em vez de simplesmente retornar um valor para cada componente, o modelador pode calcular intervalos de confiança nos parâmetros, mas, crucialmente, pode eliminar e adicionar caminhos e testar o efeito por meio de estatísticas como o AIC. Assim, por exemplo, para testar os efeitos previstos da família ou do ambiente compartilhado no comportamento, um modelo de pode ser objetivamente comparado a um modelo de completo. Por exemplo, podemos perguntar a figura acima para a altura: (ambiente compartilhado) pode ser descartado sem perda significativa de ajuste? Como alternativa, os intervalos de confiança podem ser calculados para cada caminho.
Modelagem de vários grupos e multivariada
A modelagem multivariada pode dar respostas a perguntas sobre a relação genética entre variáveis que parecem independentes. Por exemplo: QI e memória de longo prazo compartilham genes? Eles compartilham causas ambientais? Benefícios adicionais incluem a capacidade de lidar com dados de intervalo, limite e contínuos, mantendo informações completas de dados com valores ausentes, integrando a modelagem latente com variáveis medidas, sejam ambientes medidos ou, agora, marcadores genéticos moleculares medidos, como SNPs. Além disso, os modelos evitam problemas de restrição no método de correlação bruta: todos os parâmetros estão, como deveriam, entre 0 e 1 (padronizados).
Estudos multivariados e de ondas múltiplas, com ambiente medido e medidas repetidas de comportamentos potencialmente causais são agora a norma. Exemplos desses modelos incluem designs duplos estendidos,[18][19] modelos simplex,[20] e modelos de curva de crescimento.[21]
Programas SEM, como o OpenMx[22] e outros aplicativos adequados a restrições e vários grupos, tornaram as novas técnicas acessíveis a usuários razoavelmente qualificados.
Modelando o ambiente: projetos discordantes da MZ
Como os gêmeos MZ compartilham seus genes e fatores ambientais em nível de família, quaisquer diferenças entre os gêmeos MZ refletem E: o ambiente único. Os pesquisadores podem usar essas informações para entender o ambiente de maneiras poderosas, permitindo testes epidemiológicos de causalidade que normalmente são confundidos por fatores como covariância ambiente-gene, causalidade reversa e confusão.
Um exemplo de um efeito discordante MZ positivo é mostrado abaixo, à esquerda. O gêmeo que pontua mais alto na característica 1 também pontua mais alto na característica 2. Isso é compatível com uma "dose" da característica 1, causando um aumento na característica 2. Obviamente, o traço 2 também pode estar afetando o traço 1. Desembaraçar essas duas possibilidades requer um design diferente (veja um exemplo abaixo). Um resultado nulo é incompatível com uma hipótese causal.
![]() Uma representação dos dados de discordância MZ |
![]() MZ discordante teste de hipótese que o exercício protege contra a depressão |
Tomemos, por exemplo, o caso de uma ligação observada entre depressão e exercício (veja a figura acima à direita). Pessoas deprimidas também relatam fazer pouca atividade física. Pode-se supor que esse seja um nexo de causalidade: que "administrar" pacientes com exercícios aumentaria seu humor e protegeria contra a depressão. A figura a seguir mostra quais testes empíricos dessa hipótese encontraram: um resultado nulo.[23]
Projetos de discordância longitudinal

Como pode ser visto na próxima figura, esse design pode ser estendido para várias medições, com consequente aumento nos tipos de informações que se pode aprender. Isso é chamado de modelo com atraso cruzado (várias características medidas mais de uma vez).[24]
No modelo de discordância longitudinal, as diferenças entre gêmeos idênticos podem ser usadas para levar em consideração as relações entre as diferenças entre os traços no tempo um (caminho ) e, em seguida, examinar as hipóteses distintas de que os incrementos no traço 1 conduzem mudanças subsequentes nesse traço no futuro (caminhos e ), ou, mais importante, em outros traços (caminhos e ). No exemplo, a hipótese de que a correlação observada em que pessoas deprimidas geralmente também exercem menos que a média é causal, pode ser testada. Se o exercício é protetor contra a depressão, o caminho deve ser significativo, com um gêmeo que exercita mais mostrando menos depressão como conseqüência.
Premissas
Como pode ser visto na modelagem acima, a principal suposição do estudo de gêmeos é a de ambientes iguais, também conhecida como suposição de ambientes iguais.[25][26][27] Essa suposição foi testada diretamente. Um caso especial ocorre quando os pais acreditam que seus gêmeos não são idênticos quando, na verdade, são geneticamente idênticos. Estudos de uma variedade de traços psicológicos indicam que essas crianças permanecem tão concordantes quanto os gêmeos MZ criados pelos pais que os trataram como idênticos.[28]
Os métodos genéticos moleculares de estimativa de herdabilidade tendem a produzir estimativas mais baixas do que os estudos clássicos com gêmeos, fornecendo evidências de que a suposição de ambientes iguais do design clássico de gêmeos pode não ser boa.[29] Um estudo de 2016 determinou que a suposição de que o ambiente pré-netal de gêmeos também era igual era em grande parte sustentável.[30]
Similaridade medida: um teste direto de suposições em projetos gêmeos
Uma técnica particularmente poderosa para testar o método twin foi relatada por Visscher et al.[31] Em vez de usar gêmeos, esse grupo aproveitou o fato de que, embora os irmãos compartilhem, em média, 50% de seus genes, o compartilhamento real de genes para pares de irmãos individuais varia em torno desse valor, criando essencialmente um continuum de similaridade genética ou "gêmeo" dentro famílias. As estimativas de herdabilidade baseadas em estimativas diretas do compartilhamento de genes confirmam as do método dos gêmeos, fornecendo suporte para as suposições do método.
Diferenças de sexo
Os fatores genéticos podem diferir entre os sexos, tanto na expressão gênica quanto na variedade de interações gene × ambiente. Os pares gêmeos de sexo oposto fraterno são inestimáveis para explicar esses efeitos.
Em um caso extremo, um gene pode ser expresso apenas em um sexo (limitação qualitativa do sexo). Mais comumente, os efeitos dos alelos genéticos podem depender do sexo do indivíduo. Um gene pode causar uma alteração de 100 gramas de peso no sexo masculino, mas talvez 150 gramas em mulheres — um efeito genético quantitativo. Tais efeitos são que os ambientes podem afetar a capacidade dos genes se expressarem e podem fazê-lo através das diferenças de sexo. Por exemplo, genes que afetam o comportamento do voto não teriam efeito nas mulheres se elas fossem excluídas do voto. De maneira mais geral, a lógica do teste de diferença de sexo pode se estender a qualquer subgrupo definido de indivíduos. Em casos como esses, a correlação entre gêmeos DZ do mesmo sexo e opostos será diferente, revelando o efeito da diferença de sexo.
Por esse motivo, é normal distinguir três tipos de gêmeos fraternos. Um fluxo de trabalho analítico padrão envolveria testes de limitação de sexo ajustando modelos a cinco grupos: homem idêntico, mulher idêntica, homem fraternal, mulher fraterna, mulher fraterna e sexo oposto fraterno. A modelagem de gêmeos, portanto, vai além da correlação para testar modelos causais que envolvem variáveis causais em potencial, como sexo.
Interações gene × ambiente
Os efeitos dos genes geralmente podem depender do ambiente. Tais interações são conhecidas como interações , nas quais os efeitos de um alelo genético diferem em diferentes ambientes. Exemplos simples incluem situações em que um gene multiplica o efeito de um ambiente: talvez adicionando uma polegada a altura em ambientes com alto teor de nutrientes, mas apenas meia polegada a altura em ambientes com baixo teor de nutrientes. Isso é visto em diferentes inclinações de resposta a um ambiente para diferentes genótipos.
Muitas vezes, os pesquisadores estão interessados em mudanças na hereditariedade sob condições diferentes: Em ambientes onde os alelos pode conduzir grandes efeitos fenotípicos (como acima), o papel relativo de genes irá aumentar, o que corresponde a mais elevada hereditariedade nestes ambientes.
Um segundo efeito é a correlação , na qual certos alelos tendem a acompanhar determinados ambientes. Se um gene faz com que um pai goste de ler, é provável que as crianças que herdam esse alelo sejam criadas em famílias com livros devido à correlação : um ou ambos os pais têm o alelo e, portanto, acumularão uma coleção de livros e a transmitirão alelo de leitura. Tais efeitos podem ser testados medindo-se diretamente o suposto correlato ambiental (neste caso, os livros em casa).
Muitas vezes, o papel do meio ambiente parece máximo muito cedo na vida e diminui rapidamente após o início da educação obrigatória . Isso é observado, por exemplo, na leitura[32] e também na inteligência.[33] Este é um exemplo de efeito e permite um exame das correlações de devido aos ambientes dos pais (que são interrompidas com o tempo) e das correlações causadas por indivíduos que procuram ativamente determinados ambientes.[34]
Normas de reação
Estudos em plantas ou na criação de animais permitem medir os efeitos de genótipos experimentalmente randomizados e combinações de ambientes. Por outro lado, estudos humanos são tipicamente observacionais.[35][36] Isso pode sugerir que as normas de reação não podem ser avaliadas.[37][38]
Como em outros campos, como economia e epidemiologia, vários projetos foram desenvolvidos para capitalizar a capacidade de usar o compartilhamento diferencial de genes, exposições repetidas e exposição medida a ambientes (como status social das crianças, caos na família, disponibilidade e qualidade). educação, nutrição, toxinas etc.) para combater essa confusão de causas. Um apelo inerente ao design clássico dos gêmeos é que ele começa a desembaraçar essas confusões. Por exemplo, em gêmeos idênticos e fraternos, o ambiente compartilhado e os efeitos genéticos não são confundidos, como nos estudos familiares não gêmeos.[16] Os estudos com gêmeos são, em parte, motivados por uma tentativa de tirar proveito da variedade aleatória de genes entre membros de uma família para ajudar a entender essas correlações.
Embora o estudo com gêmeos nos diga apenas como os genes e as famílias afetam o comportamento dentro da faixa observada de ambientes, e com a ressalva de que freqüentemente os genes e os ambientes abrangem, esse é um avanço considerável em relação à alternativa, que não tem conhecimento dos diferentes papéis do ambiente. genes e meio ambiente.[39] Os estudos com gêmeos são, portanto, frequentemente usados como um método para controlar pelo menos uma parte dessa variação observada: particionamento, por exemplo, o que anteriormente poderia ter sido assumido como ambiente familiar em ambiente compartilhado e genética aditiva usando o experimento de genomas total e parcialmente compartilhados em gêmeos.[39]
Nenhum design único pode resolver todos os problemas. Informações adicionais estão disponíveis fora do design clássico dos gêmeos. Os projetos de adoção são uma forma de experimento natural que testa normas de reação, colocando o mesmo genótipo em diferentes ambientes.[40] Estudos de associação, por exemplo,[41] permitem o estudo direto de efeitos alélicos. A randomização mendeliana de alelos também oferece oportunidades para estudar os efeitos dos alelos aleatoriamente em relação aos seus ambientes associados e outros genes.[42]
Projetos de gêmeos estendidos e modelos genéticos mais complexos
O projeto gêmeo básico ou clássico contém apenas gêmeos idênticos e fraternos criados em sua família biológica. Isso representa apenas um subconjunto das possíveis relações genéticas e ambientais. É justo dizer, portanto, que as estimativas de herdabilidade de projetos gêmeos representam um primeiro passo para entender a genética do comportamento.
O particionamento de variância do estudo de gêmeos em ambiente genético aditivo, compartilhado e não compartilhado é uma primeira aproximação a uma análise completa, levando em consideração a covariância e a interação gene-ambiente, bem como outros efeitos não aditivos no comportamento. A revolução na genética molecular forneceu ferramentas mais eficazes para descrever o genoma, e muitos pesquisadores estão buscando a genética molecular para avaliar diretamente a influência de alelos e ambientes em características.
Uma limitação inicial do design de gêmeos é que ele não oferece a oportunidade de considerar simultaneamente os efeitos genéticos do ambiente compartilhado e não aditivo. Esse limite pode ser resolvido incluindo irmãos adicionais no design.
Uma segunda limitação é que a correlação gene-ambiente não é detectável como um efeito distinto. Abordar esse limite exige a incorporação de modelos de adoção, ou projetos de filhos de gêmeos, para avaliar as influências familiares não correlacionadas com efeitos genéticos compartilhados.
Variáveis contínuas e variáveis ordinais
Enquanto os estudos de concordância comparam características presentes ou ausentes em cada gêmeo, estudos correlacionais comparam a concordância em características continuamente variáveis entre gêmeos.
Críticas
O método gêmeo foi sujeito a críticas da genética estatística, estatística e psicologia, com alguns pesquisadores, como Burt & Simons (2014), argumentando que as conclusões alcançadas por esse método são ambíguas ou sem sentido.[43] Os principais elementos dessas críticas e suas tréplicas estão listados abaixo.
Críticas a premissas fundamentais
Críticos de estudos com gêmeos argumentam que eles são baseados em suposições falsas ou questionáveis, incluindo que gêmeos monozigóticos compartilham 100% de seus genes[44] e a suposição de ambientes iguais.[45][46] Com base nisso, os críticos afirmam que os estudos com gêmeos tendem a gerar estimativas inflacionadas de herdabilidade devido a fatores de confusão biológicos e subestimação consistente da variação ambiental.[43][47] Outros críticos adotam uma postura mais moderada, argumentando que a suposição de ambientes iguais é tipicamente imprecisa, mas que essa imprecisão tende a ter apenas um efeito modesto nas estimativas de herdabilidade.[29]
Críticas aos métodos estatísticos
Argumentou-se que os fundamentos estatísticos da pesquisa com gêmeos são inválidos. Tais críticas estatísticas argumentam que as estimativas de herdabilidade usadas na maioria dos estudos com gêmeos se baseiam em suposições restritivas que geralmente não são testadas e, se forem, são frequentemente contraditórias pelos dados.
Por exemplo, Peter Schonemann criticou os métodos de estimativa de herdabilidade desenvolvidos na década de 1970. Ele também argumentou que a estimativa de herdabilidade de um estudo com gêmeos pode refletir outros fatores além dos genes compartilhados. Utilizando os modelos estatísticos publicados em Loehlin e Nichols (1976),[48] a estreita herdabilidade de respostas de RH à pergunta "você esfregou as costas" foi mostrada com 0,92 herdável para homens e 0,21 herdável para mulheres, e a pergunta “Você usava óculos de sol depois de escurecer?” é 130% herdável para homens e 103% para mulheres[49][50] Os críticos também afirmam que o conceito de "herdabilidade" estimado em estudos com gêmeos é meramente estatístico. abstração sem relação com uma entidade subjacente no DNA.[51]
Respostas a críticas estatísticas
Antes dos computadores, os estatísticos usavam métodos que eram computacionalmente tratáveis, à custa de limitações conhecidas. Desde os anos 80, esses métodos estatísticos aproximados foram descartados: Os métodos modernos de gêmeos baseados na modelagem de equações estruturais não estão sujeitos às limitações e estimativas de herdabilidade, como as mencionadas acima, são matematicamente impossíveis.[52] Criticamente, os métodos mais recentes permitem testes explícitos do papel de diferentes vias e incorporação e teste de efeitos complexos.[39]
Amostragem: gêmeos como membros representativos da população
Os resultados de estudos com gêmeos não podem ser generalizados automaticamente para além da população de origem. Portanto, é importante entender a amostra específica estudada e a natureza dos próprios gêmeos. Os gêmeos não são uma amostra aleatória da população e diferem em seu ambiente de desenvolvimento. Nesse sentido, eles não são representativos.[53]
Por exemplo: nascimentos de gêmeos dizigóticos (DZ) são afetados por muitos fatores. Algumas mulheres freqüentemente produzem mais de um óvulo a cada período menstrual e, portanto, são mais propensas a ter gêmeos. Essa tendência pode ocorrer na família, no lado da mãe ou do pai, e geralmente ocorre em ambos. Mulheres com mais de 35 anos têm mais probabilidade de produzir dois óvulos. As mulheres que têm três ou mais filhos também tendem a ter gêmeos dizigóticos. Indução artificial da ovulação e fertilização em vitro - a substituição embrionária também pode dar origem a gêmeos fraternos e idênticos.[54][55][56][57][58][59]
Resposta à representatividade de gêmeos
Os gêmeos diferem muito pouco dos irmãos não gêmeos. Estudos medidos sobre a personalidade e a inteligência dos gêmeos sugerem que eles têm pontuações nessas características muito semelhantes às dos não-gêmeos (por exemplo, Deary et al. 2006).
Pares gêmeos separados como representante de outros gêmeos
Pares gêmeos separados, idênticos ou fraternos, geralmente são separados por adoção. Isso faz com que suas famílias de origem não sejam representativas de famílias gêmeas típicas, na medida em que abandonam seus filhos para adoção. As famílias para as quais são adotadas também não são representativas das famílias gêmeas típicas, pois todas são aprovadas pelas autoridades de proteção à criança e que uma fração desproporcionalmente grande delas não tem filhos biológicos. Aqueles que são voluntários nos estudos nem sequer são representativos de gêmeos separados em geral, pois nem todos os gêmeos separados concordam em fazer parte de estudos com gêmeos.[60][61]
Problemas de detecção
Pode haver alguns problemas de comportamento não detectado no caso de comportamentos que muitas pessoas mantêm em segredo atualmente ou em suas vidas anteriores. Eles podem não estar tão dispostos a revelar comportamentos discriminados ou estigmatizados. Se o ambiente não desempenhasse nenhum papel no comportamento real, a detecção distorcida ainda faria parecer que desempenhava um papel. Para que o ambiente pareça não ter nenhum papel nesses casos, teria que haver uma contraprodutividade da intolerância no sentido de intolerância, causando o comportamento contra o qual ele é fanático, ou uma falha no estudo que torna os resultados cientificamente inúteis. Mesmo se o ambiente desempenhar um papel, os números ainda seriam distorcidos.[62][63][64]
Terminologia
Concordância pareada
Para um grupo de gêmeos, a concordância por pares é definida como , onde é o número de pares concordantes e é o número de pares discordantes.
Por exemplo, um grupo de dez gêmeos foi pré-selecionado para ter um membro afetado (do par). Durante o curso do estudo, outros quatro membros não afetados foram afetados, dando uma concordância pareada de ou ou 40%.
Concordância probandwise
Para um grupo de gêmeos em que pelo menos um membro de cada par é afetado, a concordância probandwise é uma medida da proporção de gêmeos com a doença que tem um gêmeo afetado e pode ser calculada com a fórmula de , em que é o número de pares concordantes e é o número de pares discordantes.
Por exemplo, considere um grupo de 10 gêmeos que foram pré-selecionados para ter um membro afetado. Durante o curso do estudo, outros quatro membros não afetados foram afetados, dando uma concordância probabilística de ou ou 57%.
Referências
- Plomin, R.; DeFries, J. C.; Knopik, V. S.; Neiderhiser, J. M. (Ed.). (2014). Behavioral Genetics (6th ed.). New York, NY: Worth Publishers
- «Meta-analysis of the heritability of human traits based on fifty years of twin studies» (PDF). Nature Genetics. 47. ISSN 1061-4036. PMID 25985137. doi:10.1038/ng.3285
- «Twin Studies of Political Behavior: Untenable Assumptions?». Perspectives on Politics. 6. ISSN 1541-0986. doi:10.1017/S1537592708081917
- «Twin Studies in Behavioral Research: A Skeptical View». Theoretical Population Biology. 61. ISSN 0040-5809. PMID 11895384. doi:10.1006/tpbi.2001.1555
- Temkin, Owsei (1991). Hippocrates in a World of Pagans and Christians. [S.l.: s.n.] ISBN 9780801840906
- Cicero, De Divinatione, (On Divination), ii. 42
- «Who discovered the twin method?». Behavior Genetics. 20. PMID 2191648. doi:10.1007/BF01067795
- «Measurement of Twins». The Journal of Philosophy, Psychology and Scientific Methods
- Thorndike, Edward Lee (1905). Measurements of Twins. [S.l.: s.n.]
- Fisher, R. A. (1919). «The Genesis of Twins». Genetics. 4 (5): 489–499. PMC 1200469
. PMID 17245935 - Siemens, Hermann Werner. Die zwillingspathologie; ihre bedeutung, ihre methodik, ihre bisherigen ergebnisse. [S.l.: s.n.] OCLC 18362377
- «Hardy, Weinberg and language impediments». Genetics. 152. PMC 1460671
. PMID 10388804 - «How Environment and Lifestyle Choices Influence the Aging Process». Annals of Plastic Surgery. 43. ISSN 0148-7043. doi:10.1097/00000637-199912000-00001
- Propping; Bouchard (eds.). Twins as a tool of behavioral genetics. [S.l.: s.n.] ISBN 978-0-471-94174-3
- Cardon, Lon R.; Neale, Michael C. Methodology for genetic studies of twins and families. [S.l.: s.n.] ISBN 978-0-7923-1874-3
- «A twin-pronged attack on complex traits» (PDF). Nature Genetics. 17. PMID 9398838. doi:10.1038/ng1297-387
- «Heritability of Adult Body Height: A Comparative Study of Twin Cohorts in Eight Countries». Twin Research. 6. PMID 14624724. doi:10.1375/136905203770326402
- «Are Extended Twin Family Designs Worth the Trouble? A Comparison of the Bias, Precision, and Accuracy of Parameters Estimated in Four Twin Family Models». Behavior Genetics. 40. PMC 3228846
. PMID 20013306. doi:10.1007/s10519-009-9320-x - «Estimating the Extent of Parameter Bias in the Classical Twin Design: A Comparison of Parameter Estimates from Extended Twin-Family and Classical Twin Designs». Twin Research and Human Genetics. 8. PMID 15989749. doi:10.1375/1832427054253121
- «Genetic Simplex Modeling of Eysenck's Dimensions of Personality in a Sample of Young Australian Twins» (PDF). Twin Research. 7. PMID 15607015. doi:10.1375/1369052042663814
- «Structured latent growth curves for twin data» (PDF). Twin Research. 3. PMID 11035490. doi:10.1375/136905200320565454
- «OpenMx: An Open Source Extended Structural Equation Modeling Framework». Psychometrika. 76. PMC 3525063
. PMID 23258944. doi:10.1007/s11336-010-9200-6 - «Testing causality in the association between regular exercise and symptoms of anxiety and depression» (PDF). Archives of General Psychiatry. 65. PMID 18678794. doi:10.1001/archpsyc.65.8.897
- «Nonshared environmental mediation of the association between deviant peer affiliation and adolescent externalizing behaviors over time: results from a cross-lagged monozygotic twin differences design». Dev Psychol. 45. PMC 2778800
. PMID 19899929. doi:10.1037/a0016687 - «The equal environments assumption of classical twin studies may not hold» (PDF). British Journal of Educational Psychology. 75. PMID 16238870. doi:10.1348/000709904x24690
- «Resemblance in appearance and the equal environments assumption in twin studies of personality traits». Behavior Genetics. 6. ISSN 0001-8244. PMID 943160. doi:10.1007/bf01065677
- «Behavioral Genetics--A second look at twin studies». Monitor on Psychology (em inglês)
- «Panic disorder in women: A population-based twin study». Psychological Medicine. 23. PMID 8332656. doi:10.1017/s003329170002849x
- «What can we learn from twin studies? A comprehensive evaluation of the equal environments assumption». Social Science Research. 43. ISSN 0049-089X. PMID 24267761. doi:10.1016/j.ssresearch.2013.10.004
- Van Beijsterveldt, C. E. M., L. I. H. Overbeek, L. Rozendaal, M. T. B. McMaster, T. J. Glasner, M. Bartels, J. M. Vink, N. G. Martin, C. V. Dolan, and D. I. Boomsma. "Chorionicity and heritability estimates from twin studies: The prenatal environment of twins and their resemblance across a large number of traits." Behavior genetics 46, no. 3 (2016): 304-314.
- «Assumption-Free Estimation of Heritability from Genome-Wide Identity-by-Descent Sharing between Full Siblings». PLoS Genetics. 2. PMC 1413498
. PMID 16565746. doi:10.1371/journal.pgen.0020041 - «Longitudinal Twin Study of Early Literacy Development: Preschool and Kindergarten Phases» (PDF). Scientific Studies of Reading. 9. doi:10.1207/s1532799xssr0903_3
- «Genetics of intelligence». European Journal of Human Genetics. 14. PMID 16721405. doi:10.1038/Sj.Ejhg.5201588
- «Why are children in the same family so different from one another?». Behavioral and Brain Sciences. 10. doi:10.1017/S0140525X00055941revisited in: «Why are children in the same family so different from one another?». International Journal of Epidemiology. 40. PMC 3147063
. PMID 21807642. doi:10.1093/ije/dyq148 - «Heritability: uses and abuses». Genetica. 99. PMID 9463066. doi:10.1023/A:1018352202363
- «An Independent Analysis of the Danish Adoption Study of Schizophrenia: VI. The Relationship Between Psychiatric Disorders as Defined by DSM-III in the Relatives and Adoptees». Archives of General Psychiatry. 41. PMID 6732417. doi:10.1001/archpsyc.1984.01790170029004
- Kamin, Leon J.; Rose, Steven R.; Lewontin, Richard C. Not in Our Genes: Biology, Ideology and Human Nature. [S.l.: s.n.] ISBN 978-0-14-022605-8
- «Separated Twins: Data and Their Limits». Science. 215. Bibcode:1982Sci...215..959F. PMID 17821364. doi:10.1126/science.215.4535.959
- M. C. Neale and H. H. Maes. (1996). Methodology for genetics studies of twins and families. Journal.
- «The heritability of general cognitive ability: A within-family adoption design». Intelligence. 32. doi:10.1016/j.intell.2004.05.001
- «FADS2 Polymorphisms Modify the Effect of Breastfeeding on Child IQ». PLoS ONE. 5. Bibcode:2010PLoSO...511570S. PMC 2903485
. PMID 20644632. doi:10.1371/journal.pone.0011570 - e.g. «Capitalizing on Mendelian randomization to assess the effects of treatments». Journal of the Royal Society of Medicine. 100. PMC 1963388
. PMID 17766918. doi:10.1258/jrsm.100.9.432 - «Pulling back the curtain on heritability studies : Biosocial criminology in the postgenomic era». Criminology. 52. doi:10.1111/1745-9125.12036
- Ho, Mae-Wan (2013). «No Genes for Intelligence in the Fluid Genome». In: Lerner; Benson. Embodiment and Epigenesis: Theoretical and Methodological Issues in Understanding the Role of Biology within the Relational Developmental System – Part B: Ontogenetic Dimensions. Col: Advances in Child Development and Behavior. 45. [S.l.: s.n.] ISBN 9780123979469. doi:10.1016/b978-0-12-397946-9.00004-x
- «Twin Studies in Psychiatry and Psychology: Science or Pseudoscience?». Psychiatric Quarterly. 73. ISSN 0033-2720. doi:10.1023/a:1012896802713
- «Genes, behavior, and behavior genetics». Wiley Interdisciplinary Reviews: Cognitive Science. 8. ISSN 1939-5078. PMID 27906529. doi:10.1002/wcs.1405
- «Why twin studies really don't tell us much about human heritability». Behavioral and Brain Sciences. 22. ISSN 1469-1825. doi:10.1017/S0140525X99442207
- Loehlin, John C.; Nichols, Robert. Heredity, environment, & personality: a study of 850 sets of twins. [S.l.: s.n.] ISBN 978-0-292-73003-8. JSTOR 2826060
- «On models and muddles of heritability». Genetica. 99. PMID 9463078. doi:10.1023/A:1018358504373
- Schönemann, Peter H. (1995). Totems of the IQ Myth: General Ability (g) and its Heritabilities (h2, HR). 1995 Meetings of the American Association for the Advancement of Sciences.
- «The "Equal Environments Assumption" in MZ-DZ Twin Comparisons: an Untenable Premise of Psychiatric Genetics?». Acta Geneticae Medicae et Gemellologiae: Twin Research. 45. ISSN 0001-5660. doi:10.1017/S0001566000000945
- M. C. Neale, S. M. Boker, G. Xie and H. H. Maes. (2002). Mx: Statistical Modelling. Journal.
- «An investigation of the difference in measured intelligence between twins and single births». Annals of Human Genetics. 34. PMID 5529232. doi:10.1111/j.1469-1809.1970.tb00215.x
- Woollett, Anne; Clegg, Averil (1983). Twins: from conception to five years. London: Century. p. 127. ISBN 978-0-7126-0204-4. OCLC 12445470
- Corson, S. L.; Dickey, R. P.; Gocial, B.; Batzer, F. R.; Eisenberg, E.; Huppert, L.; Maislin, G. (1989). «Outcome in 242 in vitro fertilization-embryo replacement or gamete intrafallopian transfer-induced pregnancies». Fertility and Sterility. 51 (4): 644–650. PMID 2924931. doi:10.1016/S0015-0282(16)60614-3
- Derom, C.; Derom, R.; Vlietinck, R.; Berghe, H. V.; Thiery, M. (maio de 1987). «Increased Monozygotic Twinning Rate After Ovulation Induction». The Lancet. 329 (8544): 1236–1238. PMID 2884372. doi:10.1016/S0140-6736(87)92688-2
- Edwards, R. G.; Mettler, L.; Walters, D. E. (abril de 1986). «Identical twins and in vitro fertilization». Journal of In Vitro Fertilization and Embryo Transfer. 3 (2): 114–117. PMID 3701181. doi:10.1007/BF01139357
- Leigh, Gillian (1983). All About Twins: A Handbook for Parents. London: Routledge and Kegan Paul. ISBN 978-0-7100-9888-7
- Capron, Christiane; Vetta, Adrian R.; Duyme, Michel; Vetta, Atam (1999). «Misconceptions of biometrical IQists». Cahiers de Psychologie Cognitive/Current Psychology of Cognition. 18 (2): 115–160
- Fatal Flaws in the Twin Study Paradigm: A Reply to Hatemi and Verhulst, Doron Shultziner 2013
- Twin Studies of Political Behavior: Untenable Assumptions?, Jon Beckwith and Corey A. Morris 2008
- Critical Analysis: A Comparison of Critical Thinking Changes in Psychology and Philosophy Classes, Teaching of Psychology 2014 41: 28
- Association for Psychological Science: Why Science Is Not Necessarily Self-Correcting, John P. A. Ioannidis 2012
- How Black African and White British Women Perceive Depression and Help-Seeking: a Pilot Vignette Study, International Journal of Social Psychiatry March 2010
Leitura adicional
- Material didático, manual, software e scripts de exemplo gratuitos para pesquisas com gêmeos
- «Heritability of facet-level traits in a cross-cultural twin sample: support for a hierarchical model of personality». Journal of Personality and Social Psychology. 74. doi:10.1037/0022-3514.74.6.1556
- R. Plomin, JC DeFries, VS Knopik e JM Neiderhiser. (2012). Genética Comportamental. Worth Publishers. Londres
- Nancy L. Segal (2005) Indivisível por dois: vidas de gêmeos extraordinários. Nova York, Harvard University Press.
- Segal, Nancy L. Born Together—Reared Apart. [S.l.: s.n.] ISBN 978-0-674-05546-9. Resumo divulgativo (16 de maio de 2013) Segal, Nancy L. Born Together—Reared Apart. [S.l.: s.n.] ISBN 978-0-674-05546-9. Resumo divulgativo (16 de maio de 2013) Segal, Nancy L. Born Together—Reared Apart. [S.l.: s.n.] ISBN 978-0-674-05546-9. Resumo divulgativo (16 de maio de 2013)
- Am J Med Genet C Semin Med Genet. 15 de maio de 2009; 151C (2): 136-41. Não é realmente idêntico: diferenças epigenéticas em gêmeos monozigóticos e implicações para estudos de gêmeos em psiquiatria. Haque FN, Gottesman II, Wong AH.
- Schönemann, Peter (1997). «Models and muddles of heritability» (PDF). Genetica. 99 (2–3): 97–108. PMID 9463078. doi:10.1007/bf02259513. Arquivado do original (PDF) em 28 de fevereiro de 2008
- Schönemann, Peter; Schönemann, Roberta D. (1994). «Environmental versus genetic models for Osborne's personality data on identical and fraternal twins» (PDF). CPC. 13 (2): 141–167. Consultado em 6 de julho de 2013. Arquivado do original (PDF) em 22 de julho de 2012
- Kamin, L. J. (1974). The Science and Politics of I.Q. Potomac, MD: Lawrence Erlbaum Associates.
- Kempthorne, O (1997). «Heritability: uses and abuses». Genetica. 99 (2–3): 109–112. doi:10.1007/bf02259514
- Joseph, J. (2003). The Gene Illusion: Genetic Research in Psychiatry and Psychology Under the Microscope. PCCS Books.
Este livro foi revisado criticamente para a American Psychological Association. Hanson, DR (2005). 'A confusão da ilusão de gene: uma revisão da ilusão de gene: pesquisa genética em psiquiatria e psicologia sob o microscópio por Jay Joseph' [versão eletrônica]. PsycCritiques, 50, e14.
- «Misconceptions of biometrical IQists». Cahiers de Psychologie Cognitive/Current Psychology of Cognition. 18
- «Rethinking twins and environments: possible social sources for assumed genetic influences in twin research». J Health Soc Behav. 44. JSTOR 1519802. PMID 12866384. doi:10.2307/1519802
- E em resposta a este artigo, consulte:



