Filtro Butterworth
O filtro Butterworth é um tipo de projeto de filtros eletrônicos. Ele é desenvolvido de modo a ter uma resposta em frequência o mais plana o quanto for matematicamente possível na banda passante.

Os filtros Butterworth foram descritos primeiramente pelo engenheiro britânico Stephen Butterworth na sua publicação "On the Theory of Filter Amplifiers", Wireless Engineer (também chamada de Experimental Wireless and the Radio Engineer), vol. 7, 1930, pp. 536-541.
Visão Geral

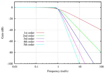
A resposta em frequência de um filtro Butterworth é muito plana (não possui ripple, ou ondulações) na banda passante, e se aproxima do zero na banda rejeitada. Quando visto em um gráfico logarítmico, esta resposta desce linearmente até o infinito negativo. Para um filtro de primeira ordem, a resposta varia em −6 dB por oitava (−20 dB por década). (Todos os filtros de primeira ordem, independentemente de seus nomes, são idênticos e possuem a mesma resposta em frequência.) Para um filtro Butterworth de segunda ordem, a resposta em frequência varia em −12 dB por oitava, em um filtro de terceira ordem a variação é de −18 dB, e assim por diante. Os filtros Butterworth possuem uma queda na sua magnitude como uma função linear com ω.

O Butterworth é o único filtro que mantém o mesmo formato para ordens mais elevadas (porém com uma inclinação mais íngreme na banda atenuada) enquanto outras variedades de filtros (Bessel, Chebyshev, elíptico) possuem formatos diferentes para ordens mais elevadas.
Comparado com um filtro Chebyshev do Tipo I/Tipo II ou com um filtro elíptico, o filtro Butterworth possui uma queda relativamente mais lenta, e portanto irá requerer uma ordem maior para implementar um especificação de banda rejeitada particular. Entretanto, o filtro Butterworth apresentará uma resposta em fase mais linear na banda passante do que os filtros Chebyshev do Tipo I/Tipo II ou elípticos.
Função de transferência
Como em todos os gêneros de filtros, o modelo típico é o filtro passa-baixas, que pode ser modificado para se tornar um filtro passa-altas, ou colocado em série com outros filtros para formar filtros passa-faixa ou rejeita-faixa, e versões de ordem mais elevadas destes.
A magnitude da resposta em frequência de um filtro passa-baixas de ordem n pode ser definida matematicamente como:
onde:
- G é o ganho do filtro
- H é a função de transferência
- j é o número imaginário
- n é a ordem do filtro
- ω é a frequência angular do sinal em radianos por segundo,
- é a frequência de corte (frequência com −3 dB de ganho).
Normalizando a expressão (fazendo a frequência de corte ), tem-se:
Roll Off de altas frequências
Desse modo, o roll off para altas frequências = 20n dB/década
Implementação do filtro

Dada uma função de transferência, o filtro Butterworth pode ser implementado utilizando a forma Cauer - 1: O elemento k é dado por:
Polinomiais Butterworth normalizados
|
![]() Grafico de magnitude para um exemplo de filtro Butterworth passa-baixas de segunda ordem |
Comparação com outros filtros lineares
As imagens abaixo mostram a resposta em frequência do filtro Butterworth junto com outros tipos de filtros comuns obtidos com o mesmo número de coeficientes:

Pode-se constatar nessas imagens que o filtro Butterworth é mais plano que os outros e não mostra ondulações (ripple).
