Filtro FIR
Um filtro FIR ou de resposta ao impulso finita é um tipo de filtro digital caracterizado por uma resposta ao impulso que se torna nula após um tempo finito, em contraste com os filtros IIR.[1][2][3]
Um filtro FIR digital genérico terá uma saída dada pela fórmula:
Onde é a ordem do filtro, o sinal de entrada, o sinal de saída e são os coeficientes do filtro.
A equação anterior também pode ser expressa por:
Estrutura
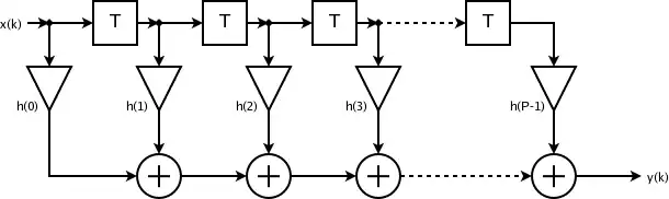
A estrutura básica de um filtro FIR é:

Na figura os termos h são os coeficientes e os T são os elementos de atraso.
Propriedades
Os filtros FIR apresentam algumas propriedades úteis que podem os tornar preferíveis aos filtros IIR. Os filtros FIR:
- São inerentemente estáveis.[1]
- Não usam realimentação. Em consequência os erros de arredondamento não se acumulam.
- Podem ter fase linear.[1]
- Podem ter fase mínima.
Ver também
Referências
- Jeszensky, Paul Jean Etienne (2004). Sistemas Telefonicos. Barueri: Editora Manole Ltda. p. 548
- Lathi, B. P. (2006). Sinais e Sistemas Lineares - 2ª ed. Porto Alegre: Bookman. p. 779
- Vahid, Frank (2009). Sistemas Digitais. Porto Alegre: Bookman. pp. 265–266
This article is issued from Wikipedia. The text is licensed under Creative Commons - Attribution - Sharealike. Additional terms may apply for the media files.