Glicose-6-fosfato isomerase
A glucose-6-fosfato isomerase (EC 5.3.1.9), alternativamente conhecida como fosfoglucose isomerase / fosfoglucoisomerase (abreviada na literatura em inglês como PGI, de phosphoglucoisomerase) ou fosfohexose isomerase (PHI, de phosphohexose isomerase), é uma enzima, presente em grande parte dos seres vivos; catalisa a reação reversível de glucose-6-fosfato a frutose-6-fosfato. No citoplasma, forma parte das via metabólica da glicólise e a gluconeogênese, e na matriz extracelular funciona como fator neurotrófico para certos tipos de neurônios. Em humanos é codificada pelo gene GPI no cromossomo 19.[1]
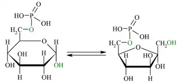
A reação é a seguinte:
![]() |
| Glucose-6-fosfato ⇌ Frutose-6-fosfato |
This article is issued from Wikipedia. The text is licensed under Creative Commons - Attribution - Sharealike. Additional terms may apply for the media files.
