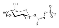
Glicosinolato
Também chamados de tioglicosídeos, são encontrados em inúmeras plantas de cultivo, responsáveis pelo sabor picante dos condimentos e de vegetais de ampla utilização pelo homem, tais como repolho, couve-flor, brócolis, nabo, couve de bruxelas. São reconhecidos até o momento mais de 70 diferentes glicosinolatos presentes em mais de três centenas de gêneros, principalmente entre os representantes da família Crucífera, gênero Brassic.[1]

Obtenção
São sintetizados a partir de aminoácidos. Os indolglicosinolatos são sintetizados a partir do triptofano, já os benzilglicosinolatos e o p-hidroxibenzilglicosinolato são sintetizados a partir da fenilalanina e tirosina, respectivamente.
São encontrados em vários alimentos: nabo (raiz e folha), repolho (folha, 16,4 mg/kg), brócolis (folha), couve-de-bruxelas (gema, 97,73 mg/kg), couve (folha), couve-flor (inflorescência, 89,14 mg/kg), mostarda (semente), alho (12,68 mg/kg), alface (3,92 mg/kg) abóbora(4,69 mg/kg) e espinafre (2,54 mg/kg).
São reconhecidos atualmente mais de 70 glicosinolatos diferentes encontráveis em aproximadamente três centenas de gêneros vegetais, principalmente entre espécimes da família Crucífera, gênero Brassica.[2]
Os glocosinolatos sofrem hidrólise, formando uma glicose e uma aglicona instável, que em pH neutro sofre um rearranjo formando o isotiocianato. Já em meio ácido (3 a 6) ou na presença de Fe++, forma nitrila, sulfato inorgânico e enxofre elementar.
Questões médicas
O mais preocupante, do ponto de vista toxicológico, é o bócio endêmico estar relacionado com o consumo destes compostos derivados da hidrólise dos glicosinolatos, existe uma relação também com a falta de iodo na dieta.
OZT ((S)-5-vinil oxazolidina-2-tiona): também denominado goitrina (goiter=bócio) é produto da hidrólise de glicosinolatos, testado em animais mostrou ser redutor da capacidade de absorção de iodo pela glândula tireóide, apresentando ação bociogênica. Pelo fato de atravessar a placenta, apresentando ser eficiente bociogênico fetal.
Tiocianatos (SCN-): composto que também inibe a absorção de iodo pela tireóide. Uma diminuição na dieta de iodo, associado ao consumo destas substâncias, levam a um quadro de bócio. Ao contrário do OZT, quando aumentado o nível de ingestão de iodo, o quadro se inverte.
Referências
- Do Nascimento, Isabela Belchior. «Toxinas naturalmente presentes em alimentos: Um risco potencial» (PDF). Universidade Estadual do Ceará – UECE - Faculdade de Educação de Crateús- FAEC, Rua José Furtado S/N, Prédio do
CAIC, 63700-000 Crateús-CE. Consultado em 10 de setembro de 2018 line feed character character in
|publicado=at position 112 (ajuda) - MÍDIO, A. F. Martins, D. I., Toxicologia de Alimentos, São Paulo: Livraria Varella, 2000.
- Toxinas naturalmente presentes em alimentos: Um risco potencial; Isabela Belchiol do Nascimento, Ana Lucia Rodrigues da Silva, Jaqueline Rabelo de Lima - www.annq.org
- Bones AM, Rossiter JT: The myrosinase-glucosinolate system - an innate defense system in plants, Physiologia plantarum 97 (1): pags. 194-208, May 1996 (em inglês)
- Abel S: Glucosinolates and Chemoprevention of Cancer (em inglês)
- Reintanz B et al.: Molecules, Morphology, and Dahlgren's Expanded Order Capparales (em inglês)
- Srinibas Das, Amrish Kumar Tyagi and Harjit Kaur: Cancer modulation by glucosinolates: A review (em inglês)
Ligações externas
- Glucosinolate metabolism pathways - MetaCyc (em inglês)
- Names and structures of 116 naturally occurring glycosinolates[ligação inativa] (em inglês)