Modelo poligonal
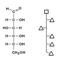
O modelo poligonal corresponde a uma representação gráfica de moléculas orgânicas usando “polígonos” para expressar grupos químicos. [1] A cadeia carbônica é representada como uma linha vertical, e os grupos inseridos são ligados através de linhas horizontais ou inclinadas, dependendo da quiralidade do carbono. Por exemplo, na forma aberta da glicose, os triângulos representam os grupos hidroxil, e o quadrado representa o grupo carbonila.

O objetivo principal do modelo poligonal é facilitar a visualização e representação de compostos orgânicos sem perda de informação. Nas vias metabólicas participam várias moléculas de estrutura relativamente complexa. As clássicas projeções de Fischer representam os intermediários em detalhe, e isso pode dificultar a memorização e uma visão mais geral da via metabólica, especialmente para iniciantes. A familiarização com o modelo poligonal leva em média menos de uma hora através de pouco treinamento, como representá-lo a partir de moléculas na projeção de Fischer. A utilização do modelo facilita a visão geral da via metabólica porque muitos detalhes gráficos são suprimidos. Possivelmente o modelo melhora a memorização devido ao fato dos grupos químicos serem condensados em simples formas geométricas. Essas formas podem ser relacionadas ao estado de oxidação do carbono. Por exemplo, metano, metanol formaldeído e ácido fórmico são representados, respectivamente, como pequeno círculo, triângulo, quadrado e círculo.


O modelo poligonal pode representar outros grupos encontrados em intermediários metabólicos, tendo sido apresentados em vários tópicos da Wikipédia, com glicólise, ciclo do ácido cítrico, via das pentoses e beta oxidação de ácidos graxos. Por exemplo, fosfato pode ser representado como círculos amarelos com um “P” no interior, tiol como triângulos amarelos e grupamentos amina como círculos azuis.
O modelo poligonal foi usado para ensino de bioquímica para alunos de biologia e enfermagem. Em geral, a metodologia foi bem aceita, às vezes facilitando o entendimento dos alunos, como mostraram testes aplicados nos mesmos. [1] O uso dessa ferramenta por estudantes do ensino médio iniciantes no estudo de química orgânica e por estudantes de graduação introduzidos ao metabolismo podem facilitar o processo de aprendizado. Para o professor, o uso rotineiro do modelo poligonal na sala de aula mostrando as mudanças nas estruturas dos intermediários das vias metabólicas facilita a discussão, já que o tempo para representação de cada molécula na lousa pode ser muito mais reduzido, comparando-se com a representação utilizando as projeções de Fischer.
Várias vias metabólicas (e processos) podem ser mostrados utilizando o modelo poligonal como representação, como a glicólise, ciclo do ácido cítrico, ciclo da ureia, transaminação, desaminação oxidativa, ciclo do glioxilato, via das pentoses, beta oxidação, síntese e degradação de corpos cetônicos e gliconeogênese ilustrando como essa linguagem é relativamente acessível e facilmente executada.
Diversas apresentações explicando e exemplificando o modelo poligonal estão disponíveis sob forma de animações tanto abrangendo química orgânica como as principais vias metabólicas. [2]
Referências
- Bonafe, C. F. S.; Bispo, J. A. C.; de Jesus, M. B. (2018). The Polygonal Model: A Simple Representation of Biomolecules as a Tool for Teaching Metabolism. Biochemistry and Molecular Biology Education. 46: 66-75. DOI - 10.1002/bmb.21093.
- «Metabolism Animation and Polygonal Model». YouTube. Consultado em 11 de dezembro de 2019