Multipolaridade
A ideia de multipolaridade é apresentada dentro da teoria de polaridade nas relações internacionais, a qual indica formas pelas quais o poder é distribuído dentro do sistema internacional. Ele descreve a natureza do sistema internacional em um determinado período de tempo. Geralmente, distinguem-se três tipos de sistemas: unipolaridade, bipolaridade e multipolaridade para três ou mais centros de poder. O tipo de sistema é completamente dependente da distribuição de poder e influência dos estados em uma região ou globalmente. [1]
Os estudiosos das relações internacionais veem amplamente o sistema internacional pós-Guerra Fria como unipolar devido à superioridade americana em poder comercial e gastos militares, bem como o papel do dólar americano como moeda de reserva dominante do mundo e a influência dos EUA nas organizações internacionais dominantes. [2]
Os estudiosos discordam sobre as fontes e a estabilidade da unipolaridade dos EUA. Estudiosos de relações internacionais realistas argumentam que a unipolaridade está enraizada na superioridade do poder material dos EUA desde o fim da Guerra Fria . O estudioso liberal de relações internacionais John Ikenberry atribui a hegemonia dos EUA em parte ao que ele diz serem compromissos e autocontenção que os Estados Unidos estabeleceram por meio da criação de instituições internacionais (como as Nações Unidas, o Fundo Monetário Internacional, o Banco Mundial e a Organização Mundial do Comércio). A estudiosa construtivista Martha Finnemore argumenta que a legitimação e a institucionalização são componentes-chave da unipolaridade. [3]
Os estudiosos divergem quanto à probabilidade de a bipolaridade ou a unipolaridade produzir os resultados mais estáveis e pacíficos. Kenneth Waltz e John Mearsheimer estão entre aqueles que argumentam que a bipolaridade tende a gerar relativamente mais estabilidade, enquanto John Ikenberry e William Wohlforth estão entre aqueles que defendem o impacto estabilizador da unipolaridade. Alguns estudiosos, como Karl Deutsch e J. David Singer, argumentaram que a multipolaridade era a estrutura mais estável. [4]
Unipolaridade
A unipolaridade é uma condição na qual um estado sob a condição de anarquia internacional goza de preponderância de poder e não enfrenta nenhum estado concorrente. Um estado unipolar não é o mesmo que um império ou uma hegemonia que pode controlar o comportamento de todos os outros estados. [5]
Os estudiosos têm debatido a durabilidade e a tranquilidade da unipolaridade. William Wohlforth argumenta que a unipolaridade é durável e pacífica porque reduz a probabilidade de rivalidade hegemônica (porque nenhum estado é poderoso o suficiente para desafiar o unipolo, o centro de poder único) e reduz a saliência e os riscos da política de equilíbrio de poder entre os principais estados, reduzindo assim a probabilidade que tentativas de equilíbrio de poder causam grandes guerras. Wohlforth constrói seu argumento na teoria da estabilidade hegemônica e na rejeição da teoria do equilíbrio de poder. Sem um grande poder para deter seu aventureirismo, os Estados Unidos se enfraquecerão ao usar mal seu poder internacionalmente. A “ampla latitude” de “escolhas políticas” permitirá que os EUA ajam caprichosamente com base em “pressão política interna e ambição nacional”. [5]
De acordo com Carla Norrlöf, a unipolaridade dos EUA é estável e sustentável devido a uma combinação de três fatores: 1. O status do dólar americano como moeda de reserva dominante no mundo , 2. O poder comercial americano e 3. A preponderância militar americana. Os Estados Unidos se beneficiam desproporcionalmente de seu status de hegemonia. Outros estados não desafiam a hegemonia dos EUA porque muitos deles se beneficiam da ordem liderada pelos EUA, e há problemas significativos de coordenação na criação de uma ordem mundial alternativa. [5]
Nuno P. Monteiro defende que a unipolaridade é suscetível de conflito, tanto entre o unipolo e outros estados, como exclusivamente entre outros estados. Monteiro substancia isso ao observar que “os Estados Unidos estão em guerra há treze dos vinte e dois anos desde o fim da Guerra Fria. Dito de outra forma, as duas primeiras décadas de unipolaridade, que representam menos de 10% da história dos EUA , representam mais de 25% do tempo total do país em guerra.” Kenneth Waltz que a unipolaridade é “a menos durável das configurações internacionais”. Em segundo lugar, mesmo que os Estados Unidos ajam com benevolência, os Estados ainda tentarão equilibrar-se contra isso porque a assimetria de poder o exige: em um sistema de auto-ajuda, os Estados não se preocupam com as intenções de outros Estados como se preocupam com as capacidades de outros Estados. “O poder desequilibrado deixa os estados mais fracos inquietos e dá a eles motivos para fortalecer suas posições”, diz Waltz. [5]
Em um estudo de 2009, Martha Finnemore argumenta que a unipolaridade, ao contrário de algumas expectativas, não deu liberdade aos Estados Unidos para fazer o que querem e que a unipolaridade provou ser bastante frustrante para os Estados Unidos. As razões para isso é que a unipolaridade não implica apenas uma superioridade material do unipolo, mas também uma estrutura social pela qual o unipolo (centro único de poder) mantém seu status por meio de legitimação e institucionalização. Ao tentar obter legitimidade dos outros atores do sistema internacional, o unipolo necessariamente dá a esses atores um grau de poder. O unipolo também obtém legitimidade e evita desafios ao seu poder através da criação de instituições, mas essas instituições também implicam uma difusão de poder para fora do unipolo. [5]
Em um estudo de 2021, Yuan-kang Wang argumenta a partir da experiência da China Ming (1368-1644) e da China Qing (1644-1912) que a durabilidade da unipolaridade depende da capacidade do centro de poder em sustentar sua vantagem de poder e potencial desafiantes a aumentar seu poder sem provocar uma reação militar do centro de poder. [5]
Preponderância norte-americana
Numerosos pensadores previram a primazia dos EUA no século 20 em diante, incluindo William Gladstone, Michel Chevalier, K'ang Yu-wei, Georges Vacher de Lapouge, HG Wells em seu "Antecipations" (1900) e William Thomas Stead. O institucionalista liberal John Ikenberry argumenta em uma série de escritos influentes que os Estados Unidos propositalmente estabeleceram uma ordem internacional após o fim da 2ª Guerra Mundial que sustentou a primazia dos EUA. Em sua opinião, as previsões realistas de equilíbrio de poder não deram frutos porque os Estados Unidos se envolveram em contenção estratégica após a Segunda Guerra Mundial, convencendo assim os estados mais fracos de que estavam mais interessados na cooperação do que na dominação. [6] [7]
A contenção estratégica dos EUA permitiu que os países mais fracos participassem da formação da ordem mundial do pós-guerra, o que limitava as oportunidades para os Estados Unidos explorarem as vantagens totais do poder. A Ikenberry observa que, embora os Estados Unidos pudessem ter se engajado unilateralmente na projeção de poder irrestrita, decidiram, em vez disso, “bloquear” sua vantagem muito depois do zênite, estabelecendo uma ordem institucional duradoura, dando voz aos países mais fracos, reduzindo a incerteza do grande poder e mitigando a dilema de segurança. A base liberal da hegemonia dos EUA – um sistema político democrático transparente – tornou mais fácil para outros países aceitarem a ordem do pós-guerra, explica Ikenberry. “A hegemonia americana é relutante, aberta e altamente institucionalizada – ou em uma palavra, liberal” e “exceto uma guerra em larga escala ou uma crise econômica global, a ordem hegemônica americana parece ser imune a possíveis desafiantes hegemônicos”. [8]
Michael Beckley argumenta que a primazia americana é amplamente subestimada porque os índices de poder frequentemente não levam em conta o PIB per capita nos EUA em relação a outros estados supostamente poderosos, como China e Índia. [9] Em 2011, Barrry Posen argumentou que a unipolaridade estava em declínio e que o mundo estava mudando para a multipolaridade. Em 2019, John Mearsheimer argumentou que o sistema internacional estava mudando da unipolaridade para a multipolaridade. [10]
Bipolaridade ou Equilíbrio de Poder
A bipolaridade é uma distribuição de poder em que dois estados têm uma preponderância de poder. Na bipolaridade, as esferas de influência e os sistemas de aliança frequentemente se desenvolveram em torno de cada pólo. Por exemplo, na Guerra Fria, a maioria dos estados ocidentais e capitalistas cairia sob a influência dos EUA, enquanto a maioria dos estados comunistas cairia sob a influência da URSS. A influente Teoria da Política Internacional de Kenneth Waltz argumentou que a bipolaridade tendia à maior estabilidade porque as duas grandes potências se envolveriam em rápido ajuste mútuo, o que impediria uma escalada inadvertida e reduziria a chance de assimetrias de poder se formarem. Dale Copeland desafiou Waltz sobre isso, argumentando que a bipolaridade cria um risco de guerra quando ocorre uma assimetria ou divergência de poder. Exemplos de bipolaridade incluem Grã-Bretanha e França no século 18 desde o fim da Guerra da Sucessão Espanhola até a Guerra dos Sete Anos (1754-1763), e os Estados Unidos e a União Soviética durante a Guerra Fria (1947-1991) .De acordo com Sullivan e Donnelly, um período "policêntrico" surgiu entre 1963-1988 em contraste com o período bipolar de 1945-1962. [11] [12] [13] [14]
Multipolaridade
A multipolaridade é uma distribuição de poder em que mais de dois estados-nação têm quantidades quase iguais de poder. O "Concerto da Europa'", um período que vai desde as Guerras Napoleônicas até a Guerra da Criméia, foi um exemplo de multipolaridade pacífica (as grandes potências da Europa se reuniam regularmente para discutir questões internacionais e domésticas), assim como o período entre as duas guerras mundiais. Exemplos de multipolaridade em tempo de guerra incluem a Primeira Guerra Mundial, a Segunda Guerra Mundial, a Guerra dos Trinta Anos, o período dos Reinos Combatentes, os Três Reinos, divisão tripartida entre dinastia Song, Dinastia Liao, Dinastia Jin, Dinastia Yuan. [15]
Teóricos realistas clássicos, como Hans Morgenthau e EH Carr , sustentam que os sistemas multipolares são mais estáveis do que os sistemas bipolares, pois grandes potências podem ganhar poder por meio de alianças e pequenas guerras que não desafiam diretamente outras potências; em sistemas bipolares, argumentam os realistas clássicos, isso não é possível. [15]
Os neorrealistas sustentam que os sistemas multipolares são particularmente instáveis e propensos a conflitos, pois há maior complexidade no gerenciamento de sistemas de alianças e maior chance de julgar mal as intenções de outros estados. Thomas Christensen e Jack Snyder argumentam que a multipolaridade tende à instabilidade e à escalada de conflitos devido ao "chain-gang" (aliados são atraídos para guerras imprudentes provocadas por parceiros da aliança) e "buck-passing" (estados que não experimentam um impacto imediato ameaça próxima não se equilibra contra o poder ameaçador na esperança de que outros carreguem o custo de se equilibrar contra a ameaça). [16][17]</ref>
A multipolaridade não garante o multilateralismo e pode representar um desafio ao multilateralismo. De acordo com Kemal Dervis, um declínio na unipolaridade cria uma crise no multilateralismo; é possível reviver o multilateralismo em um sistema multipolar, mas este está mais ameaçado e a estrutura para fazê-lo não está totalmente desenvolvida. Na multipolaridade, as potências maiores podem negociar acordos "megarregionais" mais facilmente do que as menores. Quando existem várias grandes potências concorrentes, isso pode levar os estados menores a serem deixados de fora desses acordos. Embora as ordens multipolares formem hegemonias regionais em torno de "pólos" ou grandes potências, isso pode enfraquecer as interdependências econômicas dentro das regiões, pelo menos nas regiões sem grande potência. Além disso, como os sistemas multipolares podem tender a hegemonias regionais ou ordens limitadas, os acordos são formados dentro dessas ordens limitadas e não globalmente. No entanto, Mearsheimer prevê a persistência de uma ordem internacional tênue dentro da multipolaridade, que constitui alguns acordos multilaterais. [18] [19] [20][21]
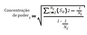
Medindo a concentração de potência
O "Correlates of War" (projeto de pesquisa da Universidade de Michigan) usa uma fórmula de concentração sistêmica de poder para calcular a polaridade de um determinado sistema de grande poder. [22] A fórmula foi desenvolvida por J. David Singer et al. em 1972: [22]

- t = o momento em que a concentração de recursos (ou seja, poder) está sendo calculada
- i = o estado em que a proporção de controle sobre a potência do sistema está sendo medida
- N t = o número de estados no grande sistema de potência no tempo t
- S = a proporção de poder possuído. Assim, S it = a proporção de poder possuída pelo estado i no tempo t [22]
A expressão, abaixo, representa a soma dos quadrados da proporção de poder possuída por todos os estados no grande sistema de poder [22]:
Quanto mais próxima a concentração resultante estiver de zero, mais uniformemente a potência será dividida. Quanto mais próximo de 1, mais concentrada é a potência. Existe uma correlação geral, mas não estrita, entre concentração e polaridade. É raro encontrar um resultado acima de 0,5, mas um resultado entre 0,4 e 0,5 geralmente indica um sistema unipolar, enquanto um resultado entre 0,2 e 0,4 geralmente indica um sistema bipolar ou multipolar. A concentração pode ser traçada ao longo do tempo, para que as flutuações e tendências na concentração possam ser observadas. [22]
Ver também
- Armadilha de Tucídides
- BRICS
- Equilíbrio de poder (relações internacionais)
- Hegemonia regional
- Movimento não alinhado
- Pax americana
- Pax britannica
- Poder (relações internacionais)
- Polaridade nas relações internacionais
- Polícia global
- Pós-hegemonia
- Sistemas monetário internacional
- Teoria da pressão lateral
Referências
- Jiang, Shiwei. "Is Bipolarity a sound recipe for world order–as compared to other historically known alternatives. In ICD Annual Conference on Cultural Diplomacy in the USA Options on the Table," Soft Power, Intercultural Dialogue & the Future of US Foreign Policy. 2013" (PDF).
- Norrlof, Carla (2010). America's Global Advantage: US Hegemony and International Cooperation. Cambridge: Cambridge University Press. doi:10.1017/cbo9780511676406. ISBN 978-0-521-76543-5. Brooks, Stephen G.; Wohlforth, William C. (2016). America Abroad: The United States' Global Role in the 21st Century. Oxford University Press. ISBN 978-0-19-046425-7. kenberry, G. John (Winter 1998–1999). "Institutions, Strategic Restraint, and the Persistence of American Postwar Order". International Security. 23 (3): 43–78. doi:10.1162/isec.23.3.43. JSTOR 2539338. S2CID 57566810.
- Martha Finnemore (2009). "Legitimacy, Hypocrisy, and the Social Structure of Unipolarity: Why Being a Unipole Isn't All It's Cracked Up to Be". World Politics. 61 (1): 58–85. doi:10.1353/wp.0.0027. ISSN 1086-3338.
- Waltz, Kenneth Neal (1979). Theory of International Politics. McGraw-Hill. pp. 170–171. ISBN 978-0-07-554852-2. Mearsheimer, John (2001). The Tragedy of Great Power Politics. W.W. Norton. pp. 44–45. Wohlforth, William (1999). "The Stability of a Unipolar World". International Security. 24 (1): 5–41. doi:10.1162/016228899560031. S2CID 57568539. Ikenberry, G. John (2001). After Victory: Institutions, Strategic Restraint, and the Rebuilding of Order After Major Wars. Princeton University Press. ISBN 978-0-691-05091-1. Deutsch, Karl W.; Singer, J. David (1964). "Multipolar Power Systems and International Stability". World Politics. 16 (3): 390–406. doi:10.2307/2009578. ISSN 0043-8871. JSTOR 2009578.
- Ver:
- Monteiro, Nuno P. (2012). "Unrest Assured: Why Unipolarity Is Not Peaceful". International Security. 36 (3): 9–40. doi:10.1162/ISEC_a_00064. ISSN 0162-2889. S2CID 57558611.
- Jervis, Robert (2009). "Unipolarity: A Structural Perspective". World Politics. 61 (1): 188–231, p. 190. doi:10.1353/wp.0.0031. unipolarity implies the existence of many juridically equal nation-states, something that an empire denies.
- Nexon, Daniel and Thomas Wright (2007). "What's at Stake in the American Empire Debate". American Political Science Review. 101 (2): 253–271, p. 253. CiteSeerX 10.1.1.136.2578. doi:10.1017/s0003055407070220. S2CID 17910808. in empires, inter-societal divide-and-rule practices replace interstate balance-of-power dynamics
- Waltz, Kenneth (Summer 2000). "Structural Realism after the Cold War" (PDF). International Security. 25 (1): 5–41. doi:10.1162/016228800560372. S2CID 57560180. Retrieved 13 December 2012.
- Monteiro, Nuno (Winter 2011–2012). "Polarity and Power: U.S. Hegemony and China's Challenge". International Security. 36 (3). doi:10.1162/ISEC_a_00064. S2CID 57558611. "Structural Realism After the Cold War," International Security, 25/1, (2000): p 27.
- Wang, Yuan-kang (2021). "The Durability of a Unipolar System: Lessons from East Asian History". Security Studies. 29 (5): 832–863. doi:10.1080/09636412.2020.1859127. ISSN 0963-6412. S2CID 231808778.
- Cited in Hans Kohn, “The US and Western Europe: A New Era of Understanding,” Orbis, 6/1, (1962): p 17. Michel Chevalier, ‘La Guerre et la Crise Européenne’, Revue des Deux Mondes, (1 June 1866), p. 784–785. K'ang Yu-wei, (1885): The One World Philosophy, (tr. Thompson, Lawrence G., London, 1958, pp. 79-85). Georges Vacher de Lapouge, L`Aryen: Son Role Social, (Nantes, 1899: chapter "L`Avenir des Aryens," pp. XXXI-XXXII).
- Anticipations by H. G. Wells. [S.l.: s.n.]
- Ikenberry, G. John (Winter 1998–1999). "Institutions, Strategic Restraint, and the Persistence of American Postwar Order". International Security. 23 (3): 43–78. doi:10.1162/isec.23.3.43. JSTOR 2539338. S2CID 57566810. Ikenberry, G. John (2001). After Victory: Institutions, Strategic Restraint, and the Rebuilding of Order After Major Wars. Princeton University Press. ISBN 978-0-691-05091-1.
- Beckley, Michael (2018). "The Power of Nations: Measuring What Matters". International Security. 43 (2): 7–44. doi:10.1162/isec_a_00328. ISSN 0162-2889.
- Posen, Barry R. (2011), Ikenberry, G. John; Mastanduno, Michael; Wohlforth, William C. (eds.), "From unipolarity to multipolarity: transition in sight?", International Relations Theory and the Consequences of Unipolarity, Cambridge University Press, pp. 317–341, ISBN 978-1-107-01170-0 Mearsheimer, John J. (2019). "Bound to Fail: The Rise and Fall of the Liberal International Order". International Security. 43 (4): 7–50. doi:10.1162/isec_a_00342. ISSN 0162-2889.
- Waltz, Kenneth N. (1964). «The Stability of a Bipolar World». Daedalus (3): 881–909. ISSN 0011-5266. Consultado em 29 de abril de 2022
- Waltz, Kenneth Neal (1979). Theory of International Politics (em inglês). [S.l.]: McGraw-Hill
- Copeland, Dale C. (1 de março de 1996). «Neorealism and the myth of bipolar stability: Toward a new dynamic realist theory of major war». Security Studies (3): 29–89. ISSN 0963-6412. doi:10.1080/09636419608429276. Consultado em 29 de abril de 2022
- Sullivan, M.; Donnelly, Jack; True, Jacqui (10 de maio de 2001). Theories of International Relations: Transition vs Persistence (em inglês). [S.l.]: Springer
- Haass, Richard; Kupchan, Charles A. (2021-04-29). "The New Concert of Powers". Foreign Affairs. - New York. ISSN 0015-7120. Retrieved 2021-10-25. Sullivan, Michael P. (2001). Theories of International Relations : Transition vs Persistence. S. Burchill. Palgrave Macmillan. p. 128. ISBN 1-281-36762-1. OCLC 815569732. "A dangerous history of multipolarity". www.lowyinstitute.org. Retrieved 2021-10-25. Schweller, Randall L. (1993). "Tripolarity and the Second World War". International Studies Quarterly. 37 (1): 73–103. doi:10.2307/2600832. ISSN 0020-8833. JSTOR 2600832 Midlarsky, Manus I.; Hopf, Ted (1993). "Polarity and International Stability". The American Political Science Review. 87 (1): 171–180. doi:10.2307/2938964. ISSN 0003-0554. JSTOR 2938964. "China Debates the Future Security Environment". nuke.fas.org. Retrieved 2021-10-25.
- Jervis, Robert (1978). "Cooperation Under the Security Dilemma". World Politics. 30 (2): 167–214. doi:10.2307/2009958. hdl:2027/uc1.31158011478350. ISSN 0043-8871. JSTOR 2009958.
- Christensen, Thomas J.; Snyder, Jack (1990). "Chain Gangs and Passed Bucks: Predicting Alliance Patterns in Multipolarity". International Organization. 44 (2): 137–168. doi:10.1017/S0020818300035232. ISSN 0020-8183. JSTOR 2706792.
- Derviş, Kemal (23 de julho de 2018). «Can multilateralism survive?». Brookings (em inglês). Consultado em 29 de abril de 2022
- Hoekman, Bernard (1 de junho de 2014). «Sustaining multilateral trade cooperation in a multipolar world economy». The Review of International Organizations (em inglês) (2): 241–260. ISSN 1559-744X. doi:10.1007/s11558-014-9187-3. Consultado em 29 de abril de 2022
- Hoekman, Bernard (2014-06-01). "Sustaining multilateral trade cooperation in a multipolar world economy". The Review of International Organizations. 9 (2): 241–260. doi:10.1007/s11558-014-9187-3. hdl:1814/28962. ISSN 1559-744X. S2CID 154578416.
- Mearsheimer, John J. (2019-04-01). "Bound to Fail: The Rise and Fall of the Liberal International Order". International Security. 43 (4): 7–50. doi:10.1162/isec_a_00342. ISSN 0162-2889. S2CID 139105003.
- Mansfield, Edward D. (March 1993). "Concentration, Polarity, and the Distribution of Power". International Studies Quarterly. 37 (1): 105–128. doi:10.2307/2600833. JSTOR 2600833.