Norma de reação
A norma de reação de um dado genótipo corresponde a um gráfico de respostas fenotípicas ao longo de um gradiente ambiental. [1] A norma de reação pode ser análoga a um espelho curvo que reflete os efeitos ambientais em fenótipos [2]

Variação fenotípica
A variação fenotípica nas populações é considerada, desde o início dos estudos evolutivos, a matéria prima sobre a qual seleção natural atua [3]. Desse modo a variação, o combustível que alimenta a mudança evolutiva, origina os níveis do genótipo e fenótipo. Geneticamente organismos idênticos criados sob condições diferentes podem exibir características completamente distintas. Até recentemente, os tipos e fontes de tal variação fenotípica tem recebido pouca consideração na teoria da evolução. Mas um conhecimento dos mecanismos e padrões de desenvolvimento subjacente a variação fenotípica é crucial para a compreensão de importantes fenômenos evolutivos. Desse modo nas ultimas décadas alguns biólogos estão prevendo o aumento da focalização dessa variação levando a um renascimento do fenótipo. [2]
A plasticidade fenotípica é a habilidade de único genótipo expressar formas alternativas de morfologia, estado fisiológico ou comportamental em relação às características variáveis do ambiente. A consequência da plasticidade fenotípica é o polifenismo.
O polifenismo é a situação em que um genótipo produz dois fenótipos discretos ou mais, em resposta a um sinal do ambiente. Borboletas proporcionam um exemplo visual marcante de polifenismo encontrado em outros organismos, assim como rotíferos, gafanhotos, e cracas. Uma alternância de fenótipos é normalmente associada a uma alternância sazonal para comportamento cripto ou modelos para mimetismo. Por exemplo, lagartas mola de Nemora arizonaria na primavera se alimentam de flores de carvalho (catkins) com baixa quantidade de tanino e imitam esses catkins; no verão essas lagartas se alimentam das folhas do carvalho que contém elevada quantidade de tanino e imitam esses galhos. Logo, a variação entre as duas formas é determinada pela concentração de tanino no alimento.[4]
Assim pode se dizer que esse polifenismo, consequente da plasticidade fenotípica, pode ser visualizado por meio de normas de reação.
Interação genótipo e ambiente e a evolução das normas de reação
A norma de reação se constitui numa matriz gráfica, normalmente representada por uma linha ou curva, que descreve o padrão de expressão fenotípica de um único genótipo numa gama de diferentes condições ambientais, no qual organismos se desenvolvem e vivem. Dessa forma a norma de reação é uma importante ferramenta principalmente nas áreas de genética, ecologia e evolução. Inclusive, é importante ressaltar que a norma de reação abarca todas as possibilidades de respostas plásticas, incluindo plasticidade zero (ou seja, a possibilidade de existir um fenótipo fixo, independente de alterações do ambiente.
Para cada variável genótipo e para cada característica fenotípica e ambiental, uma norma de reação diferente pode existir, em outras palavras, uma enorme complexidade pode existir nas interelações entre fatores genéticos e ambientais na determinação de traços. Segundo Simon (2010)[5], por meio da norma de reação o estudo fica mais detalhado, sendo possível analisar atributos como magnitude e padrão da resposta plástica, através da inclinação ou forma da norma de reação. Outro aspecto importante que pode ser analisado pela norma de reação é a ocorrência de canalização diante de uma faixa ampla de variação ambiental. A canalização é uma característica do sistema de desenvolvimento mantida pela seleção natural que limita a variação final do fenótipo diante de variações ambientais, garantindo um fenótipo ótimo [4] [5] É importante destacar que a norma de reação pode ser inflexível quando uma característica uma vez determinada não será alterada mais tarde na vida do organismo, ou a norma de reação pode ser flexível, na qual a característica pode ser alterada mais de uma vez na vida de um organismo. A maioria dos traços da história de vida tal como taxa de crescimento ou na maturidade é descrita por uma norma de reação irreversível. A história da vida tenta descrever o crescimento, reprodução e sobrevivência incluindo idade da maturidade sexual e taxas de natalidade.
Para um melhor entendimento do uso da norma de reação como ferramenta da plasticidade fenotípica, segue abaixo um exemplo hipotético: Primeiramente, imagine duas raças de bovinos, que correspondem a genótipos A e B. Essa criação de gado, está em um ambiente pobre em nutrientes ,mas aqueles com genótipo A sempre produzem mais gordura do leite (curva vermelha estreita) do que aqueles com o genótipo B (curva mais ampla-curva azul). A gama de fenótipos dentro de cada raça é relativamente constante ao longo de uma vasta gama de ambientes em “escala livre”. Um estudo convencional da herdabilidade da produção de gordura do leite realizado neste ambiente concluirá que os genes têm uma forte influência sobre a produção de gordura do leite, isto é, a diferença entre as raças é "quase genética", como no gráfico 2. Por outro lado, quando as mesmas duas raças são movidas para um ambiente com alimentação rica em nutrientes , ambas as raças mostram uma acentuada melhoria na produção de gordura láctea média. Além disso, o gado com genótipo B agora normalmente produzem leite mais rico do que aqueles com genótipo A (média de curva azul levemente superior), o inverso da situação anterior. Ambas as raças mostram também uma vasta gama de produção de gordura do leite (curvas amplas em azul e vermelho), dependendo das condições exatas ambientais, nesse, os nutrientes dos alimentos para animais. Desse modo, o estudo da herdabilidade neste ambiente vai concluir que os genes têm influência relativamente baixa sobre a produção de gordura do leite (baixa herdabilidade), que é principalmente uma conseqüência da variação ambiental. Assim, a importância relativa dos "genes" e "ambiente" não é um valor unitário, e podem variar muito dependendo dos ambientes em que os genes são expressos. Dentre os estudos de herdabilidade realizadas em um único ambiente não pode estimar com precisão a norma de reação, e muitas vezes não podem prever a resposta fenotípica em um ambiente diferente.

É interessante observar que a forma da curva pode ser essencialmente plana em diferentes ambientes (situação 1), de tal modo que o fenótipo esperado de qualquer dado genotipo é altamente previsível, independente do ambiente. Neste modelo, a distribuição mais estreita é a característica menos variavel. Isto é o que tipicamente dito quando um traço é "genético". No primeiro exemplo do genótipo, o genótipo A sempre tem um valor maior do que traço do genótipo B, e este valor é bastante constante nos ambientes analisados. Alternativamente, as normas de reação para a dois genótipos podem ter pistas paralelas (situação 2), de tal modo que as classificações relativas dos valores das características dos genótipos de A e B são sempre a mesma (A é superior a B), mas o valor absoluto do traço é dependente do ambiente . No segundo exemplo, B tem o maior valor de traço em qualquer ambiente, mas o valor da característica de B em ambiente pobre em nutrientes excede ao de A no ambiente rico em nutrientes. A hereditariedade da característica seria cerca de 1,0 em qualquer ambiente, mas isto não prever o comportamento em outros possíveis meios.[6]
Histórico
A cristalização do conceito atual de norma de reação e sua relevância aos estudos evolutivos é maximizado à medida que se conhece o desenvolvimento dos estudos sobre a plasticidade fenotípica e das próprias normas de reação.
Weissman, em 1885, visualizou o organismo como algo separável conceitualmente em duas partes: Uma a linhagem germinativa, associada com a transmissão genética e a outra a soma interagindo com o ambiente. A dicotomia de Weissman ainda se encaixa perfeitamente na estrutura expositiva de microevolução.
Woltereck, nesse mesmo ano, cunhou o termo norma de reação. Para descrever o fenômeno ele observou pela primeira vez mudanças no corpo e na forma de gerações sucessivas de Daphinias durante o curso de uma estação. "O reconhecimento de que algum traço quantitativo, só pode ser completamente caracterizado através ..de um grande número curvas de fenótipo ...assim pode se denotar como..a norma de reação de um traço quantitativo analisado...A norma de reação completa com todos as suas inumeráveis relações específicas [ambientais].... e é herdada. Assim os biótipos de Daphnia podem ter se originado através de mudanças hereditárias em sua norma de reação". (Woltereck, 1909, pp. 135-136).
Entre 1930 e 1970, muitos biólogos evolutivos comentaram o significado da norma de reação, mas muitos não faziam ideia, dos elementos proeminentes em suas teorias.
Wright afirmou que “A adaptalidade individual não só é de melhor importância como fator de evolução no amortecimento dos efeitos de seleção...mas é por si só, talvez, o principal objetivo da seleção. Wright viu a plasticidade fenotipíca como um agente que desacoplou o fenótipo do genótipo: Se o organismo foi adaptativamente plástico, ele poderia produzir fenótipos superiores num intervalo dentro de determinadas condições ambientais e tornar a mudança genética menos necessária.
Schmalhausen (1949, pp 7-8) observou que parte da plasticidade não é adaptativa: “...todo genótipo é caracterizado por sua própria norma de reação, a qual inclui modificações adaptativas do organismo para diferentes ambientes. Schmalhausen sugeriu ainda o surgimento de morphoses como novas normas de reações. Normalmente tais morphoses são extremamente instáveis.
Dobzhansky (1951, pp 21-22) propôs que as normas de reação forneceram mudanças essenciais durante a evolução, segundo ele o que conta na evolução são os fenótipos... Os genes agem através dos padrões de desenvolvimento, os quais o organismo mostra em cada ambiente. E assim o que muda na evolução é a norma de reação do organismo em relação ao ambiente.
Waddington (1953, 1957) sugeriu que a plasticidade fenotípica estende-se a uma gama ecológica de uma espécie, expondo-o a pressões de seleção, o que seria de outra forma o encontro e criação de uma oportunidade de assimilação genética. Assim, em contraste a ideia de Wright, que reduz a plasticidade a quantidade de mudança genética na evolução, Waddington viu a norma de reação como a criação de uma oportunidade para a mudança genética.
As duas visões não são mutuamente exclusivas, pois elas se aplicam a diferentes escalas de tempo e a diferentes situações ecológicas. O conceito de Wright se aplica a plasticidade adaptativa evocada na gama normal de ambientes que a população tem historicamente encontrado. O conceito de Waddington se aplica a situações novas, em que a plasticidade permite o organismo sobreviver, mas possui o caráter de Schmalhausen, de morfhoses instável que ainda não tinha atingido uma base histórica.

Mayr em 1963 disse que as normas de reação mereciam mais atenção “... O genótipo não é um molde no qual os caracteres são o elenco, e sim a norma de reação interage com o ambiente na produção de fenótipos... assim como a modificação fenotípica, estabilidade fenotípica e estabilidade comportamental merecem uma atenção muito maior pelos evolucionistas do que eles têm recebido até agora. Até recentemente o lugar dado às normas de reação no pensamento evolutivo foi principalmente cerimonial. Notáveis exceções foram Schmalhausen (1949), Bradshaw (1965), e Levins (1968). Esses biólogos colocaram plasticidade fenotípica e norma de reação como o centro de seu pensamento e tem influenciado fortemente a direção da pesquisa atual.
Como Bradshaw observou: a plasticidade de um carácter pode ser: (a) específica para esse carácter (b) específicas em relação as condições ambientais particulares (c) específica numa direção (d) sob o controle da genética não necessariamente relacionado a heteregozidade e (e) capaz de ser radicalmente alterada por seleção.
História da vida

Indução por predador
Normas de reação para a história da vida aparecem na literatura em defesas induzidas por predadores. Alterações na fecundidade e mortalidade podem ser consequentes do custo de produção de uma metamorfose alternativa. Mas ao mesmo tempo essas alterações podem ser mudanças adaptativas. Tal situação pode ser ilustrada pelo desenvolvimento de capacetes ou elmos e espinhos em Daphnia durante o verão. Essa alteração na morfologia reduz a eficiência dos predadores desses pequenos invertebrados.
Indução por parasita

Parasitas normalmente encurtam a vida útil de seus hospedeiros, e muitos parasitas, especialmente trematódeos, castram seus hospedeiros. Desse modo a infecção por um parasita torna a sobrevivência do hospedeiro e os períodos de fecundidade alterados para pior. Uma resposta adaptativa seria a amadurecer e começar a reprodução, se ainda juvenil; ou, se adulto, aumentar o esforço de reprodução,. Assim aumenta-se as chances de sucesso na reprodução antes da castração ou da morte. A reação do caracol Biomphalaria glabrata para um trematódeo parasita é aparentemente adaptativa quando exposto a parasitas, o caracol aumenta a reprodução no início da vida. A infecção não é necessária. É suficiente para expor os caracóis à água em que os parasitas foram deixados, fazendo a demonstração experimental da reação.
A interação gene-ambiente
Experimento de Clausen

A complexidade da interação entre genótipo e ambiente foi demonstrada num experimento clássico de botânica na década de 1950 por J. Clausen. D.D. Keck e W. M. Heisey, do Carnegie Institute em Washington.
O experimento consistiu no cultivo de sete clones da planta Achillea (mil folhas) em três altitudes diferentes na Califórnia: Stanford ao nível do mar, Mather a 1400 m e Timberline a 3000 m, a partir do nível do mar. As plantas de cada umas das sete colunas têm genótipos idênticos (são clones) e as três linhas horizontais representavam as altitudes diferentes em que cresceram. Uma simples inspeção mostra em cada coluna que o mesmo genótipo condicionou fenótipos diferentes dependendo da altitude, ou seja, o mesmo genótipo reagiu de maneira diferente às variáveis ambientais. Mas as reações não são as mesmas para os genótipos distintos. Em outras palavras, cada genótipo determina uma “norma de reação” diferente. Por exemplo, o primeiro clone (3971-4) cresceu bem nas altitudes de Stanford e Timberline, mas cresceu mal na altura intermediária de Mather. Já o quarto clone (24) cresce muito melhor em Mather do que nas outras duas altitudes. Assim, claramente, o fenótipo de cada clone depende do ambiente onde cresce. Além disso, é impossível se concluir claramente sobre o efeito da altitude no crescimento, uma vez que algumas das plantas cresceram melhor com a altitude, enquanto outras cresceram melhor próximas ao nível do mar.[7]
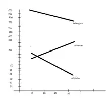
Variação nos olhos de Drosophila melanogaster
.jpg.webp)

A figura mostra a norma de reação para três diferentes genótipos relacionados ao tamanho do olho (número de facetas que compõe o olho composto) de Drosophila melanogaster. O eixo horizontal do gráfico mostra a temperatura na qual as moscas se desenvolveram. O eixo vertical mostra a variação no tamanho do olho. Os três genótipos analisados foram: tipo-selvagem, ultrabar e infrabar (genótipos anormais para o tamanho do olho). As normas de reação ficam caracterizadas quando observamos que para o tipo-selvagem o tamanho do olho decresce, quando a temperatura aumenta, o mesmo acontecendo para as moscas de genótipo ultrabar, porém mais acentuadamente. Já as moscas infrabar, tendem a aumentar o tamanho do olho com o aumento da temperatura. Assim as diferenças ambientais, no caso a variação da temperatura, as quais as moscas foram submetidas, interagiram com cada um dos três genótipos estudados de maneiras diferentes, levando a uma variação no fenótipo, no caso o tamanho do olho. É importante observar que as retas das infrabar e ultrabar se cruzam numa determinada temperatura, o que significa que dois genótipos distintos podem resultar num mesmo fenótipo (número de facetas) dependendo do ambiente (temperatura).
Utilização na agroindústria
Côrrea, B. B. M., et. al. No ano de 2009 realizaram a pesquisa “Caracterização da interação genótipo-ambiente e comparação entre modelos para ajuste do ganho pós-demana de bovinos Devon via normas de reação” cujo objetivo foi verificar a presença de interação genótipo-ambiente e comparar modelos para o ajuste do ganho pós demanda da raça Devon via normas de reação obtidas por regressão alatória. O estudo conclui que existe interação genótipo-ambiente na população de bovinos Devon no Rio Grande do Sul. Na população avaliada, o modelo que melhor se ajustou aos dados foi o de normas de reação com variância residual homogênea. A maior herdabilidade observada para os modelos de normas de reação indicaM que o uso desses modelos em programas de avaliação genética pode aumentar o progresso genético na população estudada. No entanto, estudos adicionais são necessários para verificar a viabilidade da implementação prática das normas de reação no processo de estimativa de valores genéticos para ambientes específicos e as consequências da seleção considerando a sensibilidade ambiental a médio e longo prazo.[8]
Conservação e melhoramento genético
Outro estudo fazendo uso de normas de reação foi realizado por Telles, C. P. M., com o título “Divergência entre subpopulações de cagaiteira (Eugenia dysenterica) em resposta a padrões edáficos e distribuição espacial” esta pesquisa visou contribuir para o melhoramento genético da espécie e para programas de conservação, uma vez que a domesticação e a utilização de espécies nativas em sistemas de produção muitas vezes são inviabilizadas pela falta de conhecimento prévio sobre a variabilidade genética. Desse modo o trabalho avaliou a diferenciação, com base em fatores genéticos e fenotípicos entre dez subpopulações de Eugenia dysenterica DC. nativas do Estado de Goiás. Os testes de Mantel sugeriram que o principal fator determinando a divergência genética é a distribuição geográfica das subpopulações, em um modelo no qual existe um balanço entre deriva genética atuando dentro das subpopulações e fluxo gênico em curtas distâncias ligando as subpopulações. A variação fenotípica, por sua vez, é melhor explicada pelos padrões edáficos e pela distribuição espacial. Com o presente estudo pode-se concluir que os fenótipos das árvores de cagaiteira são influenciados pelo tipo de solo onde a população se encontra, independentemente da sua distribuição espacial e da divergência genética, o que sugere um processo adaptativo ou uma resposta por norma de reação às variações ambientais nessas subpopulações. [9]

A norma de reação atualmente
Normas de reação descrevem a plasticidade fenotípica contínua, pois eles são um mapeamento do genótipo para o fenótipo como uma função do ambiente. Normas de reação podem ser reversível ou irreversível, muitos traços da história da vida tem normas de reação irreversíveis. Cada norma de reação é uma inescapável resposta física modificada para um maior ou menor grau por fatores genéticos; assim todos as normas de reação são misturas de adaptações e restrições. Normas de reação podem ser parte da defesa do organismo contra predadores e parasitas e adaptação a diferentes dietas de espécies. Mecanismos de desenvolvimento geram grande parte da variação vista dentro de populações. Genética e demografia não são suficientes para explicar a evolução; elas devem ser combinados com descrições de normas de reação, de plasticidade fenotípica e de desenvolvimento antes das fontes de variação serem completamente entendidas. Estudos como ressurgidos nos últimos quinze anos a respeito da plasticidade fenotípica e normas de reação devem ser adequadamente reconhecidos e serem fonte de inspiração para novos cientistas.[2]
Referências
- GIANOLI, E. (2004) Plasticidad fenotipica adaptativa en plantas. En: H.M. Cabrera, editor. Fisiologia ecológica em plantas. Editorial de la Universidad Católiva de Valparaíso, Chile. p. 13-25.
- STEARNS. C. S. (1989), The Evolutionary Significance of Phenotypic Plasticity. Vol. 39, No. 7 Published by: University of California, pp. 436-445.
- DARWIN, C. (1859)The origin of species by means of natural selection
- FUTUYMA, D. J. Evolution (2009) Sinauer Associates, Inc., 23 Plumtree Road, Sunderland, MA01375
- SIMON, M. N. (2010) Plasticidade fenotípica em relação a temperatura de larvas de Rhinella (Anura: Bufonidae)da caatinga e da floresta atlântica
- http://www.mun.ca/biology/scarr/6390_Norm_of_Reaction.html acesso em 10 de junho de 2012, às 18h
- http://cienciahoje.uol.com.br/colunas/deriva-genetica/bebes-a-la-carte acesso em 09 de junho de 2012 às 18h
- CORRÊA, B.B.M. (2009) Caracterização da interação genótipo-ambiente e comparação entre modelos para ajuste do ganho pós-demama de bovinos Devon via normas de reação, R. Bras. Zootec., v.38, n.8, p.1468-1477
- TELLES, C. P. M. (2001)“Divergência entre subpopulações de cagaiteira (Eugenia dysenterica DC) em resposta a padrões edáficos e distribuição espacial” Pesq. agropec. bras., Brasília, v. 36, n. 11, p. 1387-1394.