Oxatomida
Oxatomida, vendido sob o nome de marca Tinset entre outros, é um anti-histamínico de primeira geração da família das difenilmetilpiperazinas, o qual é comercializado na Europa, Japão e uma variedade de outros países.[1][2][3][4] Foi descoberta na Janssen Farmacêutica em 1975.[5] Oxatomida carece de quaisquer efeitos anticolinérgicos.[2] Em adição a seu antagonismo ao receptor H1, também possui atividade antiserotonérgica similarmente a hidroxizina.[2]
![]() | |
Oxatomida | |
| Nome IUPAC (sistemática) | |
| 1-{3-[4-(diphenylmethyl)piperazin-1-yl]propyl}-1,3-dihydro-2H-benzimidazol-2-one | |
| Identificadores | |
| CAS | 60607-34-3 |
| ATC | R06AE06 |
| PubChem | 4615 |
| DrugBank | 4454 |
| Informação química | |
| Fórmula molecular | C27H30N4O |
| Massa molar | 426,553 g/mol |
| SMILES | O=C2Nc1ccccc1N2CCCN5CCN(C(c3ccccc3)c4ccccc4)CC5 |
| Farmacocinética | |
| Biodisponibilidade | ? |
| Metabolismo | ? |
| Meia-vida | ? |
| Excreção | ? |
| Considerações terapêuticas | |
| Administração | ? |
| DL50 | ? |
Química
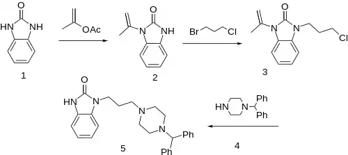
Síntese

Reação de 2-benzimidazolinona com acetato de isopropenila leva ao derivado de imidazolona protegido individualmente (2). Alquilação deste com 3-cloro-1-bromopropano fornece o derivado funcionalizado (3). Alquilação do derivado monobenzidrilo de piperazina (4) com 3 resulta oxatomida (5), após remoção hidrolítica do grupo protetor.
Referências
- J. Elks (14 de novembro de 2014). The Dictionary of Drugs: Chemical Data: Chemical Data, Structures and Bibliographies. [S.l.]: Springer. pp. 912–. ISBN 978-1-4757-2085-3
- Ohmori K, Ishii H, Nito M, Shuto K, Nakamizo N (maio de 1983). «[Pharmacological studies on oxatomide (KW-4354). (7) Antagonistic effects on chemical mediators]». Nippon Yakurigaku Zasshi. Folia Pharmacologica Japonica (em Japanese). 81 (5): 399–409. PMID 6138301. doi:10.1254/fpj.81.399
- Index Nominum 2000: International Drug Directory. [S.l.]: Taylor & Francis. 2000. pp. 768–. ISBN 978-3-88763-075-1
- Oxatomide - Drugs.com
- Harry Schwartz (agosto de 1989). Breakthrough: the discovery of modern medicines at Janssen. [S.l.]: Skyline Pub. Group. p. 149. ISBN 978-1-56019-100-1
- J. Vandenberk et al., DE 2714437; idem, Patente E.U.A. 4 250 176 (1977, 1981 ambos para Janssen).
