Oxidação de álcool
A oxidação de álcoois é uma reação orgânica em que a função álcool é transformada em funções orgânicas em que o carbono aumenta o número de oxidação. Os álcoois primários (R-CH2-OH) podem ser oxidados a aldeídos (R-CHO) ou ácidos carboxílicos (R-CO2H), enquanto a oxidação de álcoois secundários (R1R2CH-OH) normalmente forma cetonas (R1R2C=O ), e álcoois terciários (R1R2R3C-OH) não sofrem oxidação.[1]
A oxidação indireta de álcoois primários em ácidos carboxílicos ocorre normalmente através do aldeído correspondente, que é transformado através de um hidrato de aldeído (R-CH(OH)2) por reação com água. A oxidação de um álcool primário no nível de aldeído é possível executando a reação na ausência de água, de modo que nenhum hidrato de aldeído possa ser formado.

Oxidação a aldeídos
A oxidação de álcoois em aldeídos é oxidação parcial; os aldeídos são posteriormente oxidados em ácidos carboxílicos. As condições necessárias para fazer aldeídos são calor e destilação. Na formação de aldeído, a temperatura da reação deve ser mantida acima do ponto de ebulição do aldeído e abaixo do ponto de ebulição do álcool.
Os reagentes úteis para a transformação de álcoois primários em aldeídos também são normalmente adequados para a oxidação de álcoois secundários em cetonas. Esses incluem:

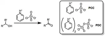
- Reagentes à base de cromo, como o reagente Collins (CrO3 · Piridina), PDC ou PCC.
- Espécies de sulfônio conhecidas como "DMSO ativado" que podem resultar da reação do DMSO com eletrófilos, como cloreto de oxalil (oxidação de Swern), uma carbodiimida (oxidação de Pfitzner-Moffatt) ou o complexo SO3 · Piridina (oxidação de Parikh-Doering).
- Compostos de iodo hipervalentes, como o periodinano de Dess-Martin ou o ácido 2-iodoxibenzóico.
- TPAP catalítico na presença de excesso de NMO (oxidação de Ley).
- TEMPO catalítico na presença de excesso de hipoclorito de sódio (NaOCl) (oxidação catalisada por oxoamônio).
- Complexo de cobre ativo redox catalítico na presença de oxigênio à temperatura ambiente. [2]
Os álcoois alílicos e benzílicos podem ser oxidados na presença de outros álcoois usando certos oxidantes seletivos, como o dióxido de manganês (MnO2).
Oxidação a cetonas
Reagentes úteis para a oxidação de álcoois secundários em cetonas, mas normalmente ineficientes para oxidação de álcoois primários em aldeídos, incluem trióxido de cromo (CrO3) em uma mistura de ácido sulfúrico e acetona (oxidação de Jones) e certas cetonas, como ciclo-hexanona, na presença de isopropóxido de alumínio (oxidação de Oppenauer). Outro método é a oxidação catalisada por oxoamônio. Além disso, foi relatado hipoclorito de sódio (ou alvejante doméstico) em acetona para conversão eficiente de álcoois secundários na presença de álcoois primários (oxidação de Stevens).
Oxidação em ácidos carboxílicos
A oxidação direta de álcoois primários em ácidos carboxílicos pode ser realizada usando
- Permanganato de potássio (KMnO4);
- Oxidação de Jones;
- PDC em DMF;
- Oxidação de Heyns;
- Tetróxido de rutênio (RuO4);
- ou TEMPO.
Oxidação de dióis
Os álcoois que possuem dois grupos hidroxi localizados em carbonos adjacentes - 1,2-dióis - sofrem quebra oxidativa em uma ligação carbono-carbono com alguns oxidantes como periodato de sódio (NaIO4) ou tetraacetato de chumbo (Pb (OAc) 4), resultando em na geração de dois grupos carbonila. A reação também é conhecida como clivagem de glicol.
- March, Jerry (1985), Advanced Organic Chemistry: Reactions, Mechanisms, and Structure (3rd ed.), New York: Wiley, ISBN 0-471-85472-7
- Stevens, Robert; Chapman, Kevin T.; Weller, Harold N. (1980). "Convenient and inexpensive procedure for oxidation of secondary alcohols to ketones". Journal of Organic Chemistry. 45 (10): 2030–2032. doi:10.1021/jo01298a066