Polihidroxibutirato
Os poliidroxialcanoatos (poli-hidroxialcanoatos) (português brasileiro) ou polihidroxialcanoatos (português europeu), são mais conhecidos como PHA, o termo dado a família de poliésteres produzidos por microrganismos a partir de vários substratos de carbono. A partir dos diferentes fatores envolvidos nesse processo, como o metabolismo das bactérias e o tipo de substrato, é possível obter inúmeros tipos de polímeros e copolímeros. Sendo um dos principais destes o biopolímero, PHB.[1]
.png.webp)
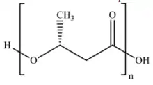
O poliidroxibutirato (poli-hidroxibutirato) (português brasileiro) ou polihidroxibutirato (português europeu), também conhecido como PHB (Poli-3-hidroxibutirato) é um termoplástico biodegradável sintetizado por fermentação submersa a partir de matérias-primas renováveis. É um termoplástico que possui propriedades físicas e mecânicas comparáveis às do PP isotático. É um material duro e quebradiço, escoa facilmente durante o processamento, não é solúvel em água e é pouco permeável a O2,H2O e CO2.
A primeira descrição sobre o polímero foi datada em 1923 quando o pesquisador francês Maurice Lemoigne[2] descreveu o seu monômero, o ácido 3-hidroxibutirico, e em seguida (1927) descreveu um material sólido que o pesquisador acreditava ser o polímero formado pelo ácido 3-hidroxibutirico. O PHB possui propriedades termoplásticas e por isso é utilizado em diversas áreas, como agricultura, apresentação de remédios e nos ramos de embalagens de alimentos, fármacos e produtos de higiene pessoal.
Histórico
O grupo de cientistas do Instituto de Pesquisas Tecnológicas (IPT), que iniciou as pesquisas nesta área em 1992. Com o progresso dos estudos foi descoberta uma nova espécie bacteriana capaz de transformar açúcar em plástico. Na qual alimenta-se diretamente de açúcar, transformando o excedente do seu metabolismo em um plástico biodegradável chamado PHB (polihidroxibutirato).
A vantagem desse material se deve ao fato de sua degradação ser mais rápida (entre 1 a 10 anos), comparada aos de polímeros de origem petroquímica que podem levar até centenas de anos para se degradar completamente.
Síntese
Sabe-se que o processo para obtenção do PHB é derivado da ação de bactérias a uma fonte de carbono para a síntese, normalmente constituída por açúcares como milho, celulose, batata e cana-de açúcar.

Esses carboidratos são bioquimicamente transformados em unidades de hidroxialcanoatos, polimerizadas e armazenadas na forma de inclusões insolúveis em água no citoplasma da célula do microrganismo. A capacidade de realizar este processo de polimerização é dependente da presença de uma enzima conhecida como PHA sintase. O polímero é acumulado dentro das células bacterianas em forma de grânulos, atingindo até cerca de 90% de sua massa em base seca. O produto da PHA sintase é um poliéster cristalino de alta massa molar.[3]
Propriedades
O PHB no estado sólido é um material semicristalino, apresentando uma fase cristalina e outra amorfa.
O PHB apresenta propriedades físico-químicas muito similares ao PP isotático, sendo um material duro e quebradiço, com fácil escoamento durante seu processamento, não solúvel em água, pouco permeável, capaz de cristalizar com cristalinidade na faixa de 60-90%, com temperatura de transição vítrea (Tg) de aproximadamente 5 °C, temperatura de fusão (Tm) de aproximadamente 175 °C,[4] tensão de cisalhamento de aproximadamente 43 Mpa, baixa estabilidade térmica (risco de diminuição de sua massa molecular com temperaturas acima dos 170 °C e ciclo de vida caracterizado por não gerar altos impactos ao meio ambiente.
O grau de cristalinidade em filmes de PHB cristalizados a partir do estado fundido pode variar entre 60 e 90%, devido ao fato de todos os seus carbonos serem assimétricos. Por esse fato, pode-se dizer que material é resistente aos raios UV.
Aplicações
Além de propriedades termoplásticas, que lhes permitem serem moldados ou transformados em filmes para aplicações diversas, são também biocompatíveis, com potencial para aplicações médico-veterinárias, como suturas, suportes de culturas de tecido para implantes e encapsulação de fármacos para liberação controlada. Na última, em estudos realizados foi utilizado para tratamento da doença de Chagas (encapsulando tionicotinamida).[3]
A principal desvantagem dos polímeros PHA é seu custo de produção elevado comparado aos polímeros provenientes do petróleo no mercado nacional, no entanto, algumas indústrias brasileiras produzem em escala industrial o PHB à partir da sacarose da cana de açúcar, e exportam a um preço menor comparado aos produzidos em países como a Alemanha.
PHB no Brasil
A abundância de substratos de baixo custo fornecidos pela indústria sucroalcooleira beneficiou a produção de PHB no país. O atrelamento da produção de PHB com a produção em usina sucroalcooleira junto com todas as suas vantagens (substrato de baixo custo, energia, solventes para extração, etc) permitiu que o custo de produção do PHB pela PHB Industrial seja o menor do mundo. Porém, esse preço ainda é superior aos preços dos polímeros sintéticos provenientes da indústria petroquímica, o que dificulta a ampla comercialização do PHB.[5]
A primeira produção em planta piloto do PHB no Brasil ocorreu de 1995 a 2000, utilizando a metodologia Coopersucar-IPT-ICB na usina de açúcar e álcool Usina da Pedra. O método desenvolvido consiste na produção do PHB através da fermentação da sacarose da cana-de-açúcar pela bactéria Ralstonia eutropha. Desde então, o PHB está sendo produzido com o nome comercial Biocycle, a partir da sacarose proveniente da cana-de-açúcar, pela PHB Industrial S.A.
Impacto ambiental
O polímero é biodegradável em aterros e sistemas aquáticos, as enzimas responsáveis pela degradação dos PHA's são excretadas por certo número de fungos e bactérias no meio-ambiente. Sob degradação, oligômeros e monômeros do PHB são produzidos, os quais são assimilados pelos microrganismos como nutrientes.[6] Além dos fatores ambientais, a microestrutura e propriedades podem afetar significativamente a taxa de degradação. Isto inclui fatores como composição, cristalinidade, aditivos e área superficial.
Além disso, quando consideramos o PHB como forma alternativa aos polímeros convencionais já utilizados em larga escola, é preciso considerar também a biodegradação do PHB nos processos industriais. Estudos mostram que, quando comparado ao PP no processo de injeção, alguns meios se mostraram mais favoráveis à degradação do que outros, mas ela ocorre na maioria dos casos, sempre no descarte do material. No pior dos casos, se a embalagem (de margarina ou shampoo, por exemplo) for descartada de modo incorreto (em qualquer lugar), ela se degradará em um período de até 90 dias, representando um problema ambiental bem menor do que à degradação do polímero sintético PP, que leva muitos anos para acontecer e ainda contribui para um maior volume nos lixos e aterros.[7]
Além disso, o PHB possui características termoplásticas semelhantes ao polímero PP, por exemplo, com uma alta regularidade de sua cadeia polimérica e uma elevada massa molecular, sendo que a produção de PHB consome somente 10% da energia não renovável utilizada no processo de produção do PP; durante quase todo o processo de produção do PHB, é utilizado fontes de energias renováveis.[7]
PHB como substituto Eco-Friendly para o PP
O PHB (Poli-3-hidroxibutirato) pode ser considerado um substituto para o PP (Polipropileno). Partindo de que a produção de embalagens de cosméticos de polipropileno são um problema ambiental, visto que segundo a ONU, em 2050 teremos mais plásticos do que peixes no oceano. Além disso, o setor de embalagens (altamente descartáveis) é responsável por metade do consumo mundial de Polipropileno. Além disso, estudos mostram que o PP faz parte do grupo de polímeros mais encontrados no Oceano Atlântico, além de colocar o PP no top 3 das massas de concentrações de polímeros mais encontrados no ambiente marinho avaliado.[8] Dessa forma, encontrar um substituto ambientalmente amigável é necessário.
O consumo desenfreado desse polímero[8] e a má gestão do mesmo por parte das ações governamentais, que não tem a clareza de onde o PP vai parar depois de ser utilizado, acabam gerando um grande volume de resíduos que acabam parando indevidamente em locais como os oceanos, prejudicando a vida marinha.[9]
O polímero biodegradável PHB possui características físico-químicas muito próxima dos termoplásticos, como o PP (Polipropileno) e, de acordo com estudos, ambos os polímeros tem um potencial de substituição completa muito acentuado.[6] Dentre as principais aplicações do PHB está o uso para embalagens de alimentos, produtos aquosos e artigos de descarte rápido. Produtos os quais, são muito próximos de embalagens de cosméticos, como o shampoo.
Outro exemplo bastante encontrado na sociedade atualmente de aplicação do uso do PP é nas embalagens para acondicionamento de alimentos, como a margarina.[10] Uma matéria publicada pelo Sistema Costa Norte de Comunicação,[11] em maio de 2021, mostra que uma embalagem de margarina foi encontrada na praia, cuja data de fabricação datava de 1996 e, portanto, permaneceu 25 anos no mar praticamente intacta. Em 2018, outro caso impactante ocorreu na praia de Santa Cruz, em Lisboa, onde a organização Oceanos sem Plásticos,[12] encontrou uma embalagem dos anos 80 na praia, que estava em um ótimo estado de conservação ainda (ou seja, a embalagem permaneceu no mar intacta por mais de 3 anos). Ainda, pode-se destacar o fato de que o PP utilizado nas embalagens plásticas encontradas no Mar Mediterrâneo - mesmo polímero utilizado nas embalagens de margarina ou nas embalagens de shampoo - ocupa uma porção de 16,5% do total de plásticos encontrados no oceano.[13]
Diante desse contexto, surge a necessidade de se analisar a viabilidade da substituição do PP utilizado nas embalagens de margarinas ou shampoos pelo polímero PHB, que têm maior índice de fluidez (43,74 g/10min para PHB e 13 g/10min para o PP), maior resistência à tração (32,03 MPa para o PHB e 25 MPa para o PP), maior módulo de elasticidade em tração (2,71 GPa para o PHB e 0,9 GPa para o PP), entre outras propriedades que se equiparam ou superam o PP em termos de usabilidade. Em situações futuras, tais características serão facilitadoras no processamento do material, aproximando-se em termos de propriedades do polímero sintético PP. Ainda, um ponto adicional que vale destacar, é que o PHB pode ser utilizado em processos de injeção para fabricação de embalagens de alimentos nos mesmos equipamentos onde se injetam embalagens de PP, desde que sejam ajustadas as condições de processo às características do mesmo (como por exemplo, o molde utilização na injeção do PHB).[7]
Ainda, no caso da margarina, por ser um produto gorduroso e sensível à contaminação organoléptica, a embalagem de PHB testada nesse produto produziu um resultado bastante positivo, não tendo diferenças significativas quanto comparadas à embalagem de PP do mesmo produto.[7]
Além dessas características, por conta da biodegradabilidade ser muito rápida em relação aos polímeros biodegradáveis, alguns deles podem ficar armazenados por no máximo um ano, assim o tempo médio de degradação do PHB é de 6 a 12 meses, enquanto os polímeros sintéticos como o PP levam um tempo de 40 a 50 anos, em alguns casos esse período pode até atingir 200 anos. Assim, é nítida a redução no período de degradação entre o polímero biodegradável PHB e o polímero sintético de PP. Vale ressaltar que na degradação do PHB ocorre a liberação de gás carbônico e água, sem a liberação de resíduos tóxicos.[14]
Mesmo com essas características, as quais podem facilitar a substituição do PP pelo PHB, um problema encontrado é a adaptação dos aditivos e pigmentos que são utilizados em polímeros convencionais, como o PP, que precisarão de adapatações para serem utilizados em polímeros biodegradáveis, como o PHB.[14]
Porém, temos alguns pontos a ponderar, principalmente quando é considerado o ambiente comercial no qual os polímeros se inserem. Apesar do custo do PHB ser relativamente mais alto (USD 4.00 Kg) do que o PP (USD 1.00 Kg), valor de referência em junho de 2021, isso é compensado quando comparamos seus custos de reciclagem. Dentre os gastos com reciclagem do Polipropileno temos: Transporte, Energia, Diversos Processos de recuperação. Enquanto isso, o PHB pode ser descartado em aterros sanitários sem impacto ao meio ambiente, tendo quase nenhum custo efetivo.
Além do mais, estudo realizado pela FSC[15] (Forest Stewardship Council) entre 9000 pessoas, dos 21 aos 64 anos de 11 países diferentes apontou que 60% das pessoas estão dispostas a pagar mais por um produto mais verde e aumentar seus eco-gastos no futuro.
Referências
- Machado, Miriam (14 de dezembro de 2009). «Estudo das Propriedades Mecânicas e Térmicas do Polímero Poli-3-Hidroxibutirato (PHB) e de Compósitos PHB/Pó de Madeira» (PDF). Consultado em 12 de julho de 2019
- Lemoigne, M. (1926) Produits de dehydration et de polymerisation de l’acide ß-oxobutyrique. Bull Soc Chim Biol 8, 770–782.
- Pradella, José Geraldo da Cruz; Taciro, Marilda Keico; Rocha, Rafael Costa Santos; Gomez, José Gregório Cabrera; Silva, Luiziana Ferreira da (2007). «Produção biotecnológica de poli-hidroxialcanoatos para a geração de polímeros biodegradáveis no Brasil». Química Nova. 30 (7): 1732–1743. ISSN 0100-4042. doi:10.1590/S0100-40422007000700040
- MACHADO, Miriam L. C. et al. Estudo das Propriedades Mecânicas e Térmicas do Polímero Poli-3-Hidroxibutirato (PHB) e de Compósitos PHB/Pó de Madeira. Polímeros: Ciência e Tecnologia, [s. l.], v. 20, ed. 1, p. 65-71, 2010.
- FONSECA, Camila Chuluck. Produção e utilização do biopolímero poli(hidroxibutirato) (PHB) em embalagens alimentícias. 2014. 64 f. Trabalho de Conclusão de Curso (Graduação em Engenharia Bioquímica) - Universidade de São Paulo, [S. l.], 2014.
- Brito, G.F. (30 de setembro de 2011). «Biopolímeros, Polímeros Biodegradáveis e Polímeros Verdes». ufcg.edu.br. Revista Eletrônica de Materiais e Processos
- Zwicker, Universidade Federal de Santa Catarina Sell, Ingeborg Bucci, Doris (20 de outubro de 2012). Avaliação de embalagens de PHB (poli (ácido 3-hidroxibutírico)) para alimentos. [S.l.]: Florianópolis, SC. OCLC 815914427
- Pabortsava, Katsiaryna; Lampitt, Richard S. (dezembro de 2020). «High concentrations of plastic hidden beneath the surface of the Atlantic Ocean». Nature Communications (em inglês) (1). 4073 páginas. ISSN 2041-1723. doi:10.1038/s41467-020-17932-9. Consultado em 29 de junho de 2021
- Institute, Grantham (19 de fevereiro de 2018). «Don't blame plastic, blame poor waste management». Climate & Environment at Imperial (em inglês). Consultado em 29 de junho de 2021
- «Is plastic food packaging dangerous?». CHOICE (em inglês). 24 de outubro de 2018. Consultado em 29 de junho de 2021
- «Embalagem de margarina é encontrada em praia após 25 anos no mar». Sistema Costa Norte de Comunicação. 20 de maio de 2021. Consultado em 19 de junho de 2021
- Timóteo, Joana (28 de novembro de 2018). «Embalagem com mais de 35 anos encontrada em Santa Cruz». TORRES VEDRAS WEB. Consultado em 29 de junho de 2021
- de Haan, William P.; Sanchez-Vidal, Anna; Canals, Miquel (março de 2019). «Floating microplastics and aggregate formation in the Western Mediterranean Sea». Marine Pollution Bulletin (em inglês): 523–535. doi:10.1016/j.marpolbul.2019.01.053. Consultado em 29 de junho de 2021
- Coutinho, B.C. et al. A importância e as vantagens do Polihidroxibutirato (Plástico Biodegradável). Holo, 2004.
- Pensamento Verde, Redação (25 de setembro de 2015). «60% das pessoas pagariam mais por produtos sustentáveis, diz estudo». Pensamento Verde. Consultado em 28 de junho de 2021