Reação SN1
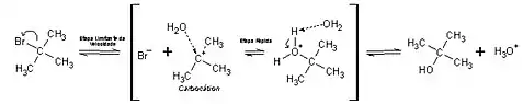
As reações de substituição nucleofílica unimolecular ou SN1 são reações em que ocorre a substituição de um grupo de saída por um nucleófilo, cuja lei cinética depende apenas da concentração do substrato orgânico, uma reação de primeira ordem. O mecanismo da reação envolve a formação de um intermediário carbocátion, ou seja, um átomo de carbono com carga positiva.[1]
Cinética da Reação SN1
A velocidade da reação depende apenas da concentração do haleto de alquila, considerado um processo de primeira ordem. A concentração do nucleófilo não aparece na equação de velocidade, que pode ser definida como a taxa de consumo do reagente ou formação do produto:

experimentalmente, a velocidade depende apenas da concentração do substrato orgânico, enquanto que a concentração do nucleófilo não aparece na lei cinética da reação:
;
este resultado demonstra que o nucleófilo não está presente na etapa limitante da velocidade, e para explicar esta observação, a etapa limitante é a quebra da ligação C-Br, resultando em um carbocátion intermediário.

A segunda etapa é a combinação do carbocátion com o nucleófilo, neste caso, a água.


O produto gerado é o ácido conjugado do terc-butanol. Ao transferir o próton para o meio, forma o terc-butanol (2-metil-2-propanol), que é o produto estável da reação

A primeira etapa da reação envolve uma energia maior do que a segunda, logo esta é a etapa determinante da velocidade, ou seja, a etapa lenta.[2]
O gráfico de energia da reação representa a variação de energia durante as três etapas. A primeira envolve a quebra de uma ligação covalente, com a formação de íons na solução. Embora a ligação C-Br seja da ordem de 60 kcal/mol, a energia de ativação é menor, pela estabilização das espécies carregadas pelo solvente, o que compensa parcialmente a variação energética.
A segunda etapa envolve a formação de uma ligação covalente e um menor rearranjo espacial dos átomos, por isso a energia de ativação desta etapa é menor, enquanto a terceira etapa é a transferência de H+ do terc-butanol para a água, ou seja, uma simples reação ácido-base, com um menor rearranjo estrutural, e por isso, uma pequena energia de ativação.
Fatores que afetam as reações SN1
O mecanismo SN1 passa por um carbocátion, uma espécie intermediária pouco estável, e fatores que estabilizam o carbocátion diminuem a energia de ativação da reação.
Substrato Orgânico

A natureza do substrato orgânico é o fator mais importante para o direcionamento das reações para o mecanismo SN1. Grupos que doam elétrons para o carbono positivo contribuem para a dispersão da carga positiva e contribui para a solvatação da molécula. Um destes fatores é o grau de substituição do carbono que acomoda a carga positiva: substratos terciários reagem mais rápido por SN1 do que substratos secundários e estes mais rápido do que substratos primários, enquanto derivados de metilo não reagem por SN1.
A presença de átomos de oxigênio e nitrogênio vizinhos ao grupo de saída estabilizam a carga positiva, transferindo densidade eletrônica por estruturas de ressonância, enquanto radicais aromáticos também estabilizam carbocátions benzílicos.
Solvente
A natureza do solvente é o um dos principais fatores que dirige a reação para o mecanismo SN1. Enquanto solventes de baixa constante dielétrica, como hexano, benzeno e éter etílico não separam os íons formados na dissociação, a água, ácido acético e metanol apresentam constante dielétrica maior que 25 e separam o carbocátion do grupo de saída, o que dirige a reação para a etapa seguinte, em que o carbocátion reage com o nucleófilo.
Rearranjos de carbocátion

Nas reações SN1, é formado um carbocátion intermediário e este pode sofrer rearranjo para se tornar-se mais estável. A estabilidade relativa dos carbocátions estão relacionadas com o número de grupos alquila ligados ao átomo de carbono trivalente carregado positivamente. Os carbocátions terciários são os mais estáveis e o carbocátions metila é o menos estável.[1]
Grupo de saída

A etapa lenta uma reação do tipo SN1 é a dissociação do haleto de alquila para a formação de um carbocátion, portanto a velocidade dessas reações é afetada pela energia de dissociação do grupo de saída e do carbono, bem com a estabilidade do carbocátion formado. Um dos parâmetros para avaliar a estabilidade relativa dos grupos de saída é a acidez do ácido conjugado. Quanto mais forte é o ácido, mais estável é a base conjugada. Sendo assim, o iodeto de alquila é o mais reativo, consequentemente o fluoreto de alquila é o menos reativo.[3]
Nucleófilo
O nucleófilo reage com o carbocátion que é formado na etapa de dissociação do haleto de alquila, etapa determinante da velocidade da reação, logo a concentração e a natureza do nucleófilo não têm efeito na velocidade de uma reação.
As reações SN1 em sua maioria, utiliza como nucleófilo o próprio solvente, essas reações são chamadas de solvólise.[3]
Estereoquímica das reações SN1

Reações ocorrem pela formação de um intermediário carbocátion, diferenciando das reações observadas para SN2. Os carbocátions tem uma estrutura trigonal plana, dessa forma pode reagir de qualquer uma das faces. Para moléculas aquirais, é formado apenas um produto, como por exemplo o cátion terc-butila, pois independente da face que sofre o ataque é formado único estereoisômero. Quando a molécula é opticamente ativa, ocorre uma mistura de enantiômeros na proporção 50:50 - mistura racêmica.[2]
Características da Reação SN1
Os efeitos do substrato, do grupo de saída, do nucleófilo e do solvente nas reações SN1, são, resumidamente:
- Substrato: Os melhores substratos produzem os carbocátions mais estáveis. Como resultado, as reações SN1 funcionam melhor para os haletos terciários, alílicos e benzílicos.
- Grupos de saída: Os melhores grupos de saída(ânions mais estáveis) aumentam a velocidade da reação, pois diminuem o nível de energia do estado de transição que leva à formação do carbocátion.
- Nucleófilo: O Nucleófilo não deve ser muito básico para evitar a competição com a reação de eliminação de HX(Haleto de alquila). Afora isso, não afeta a velocidade da reação.
- Solvente: Os solventes polares estabilizam o intermediário carbocátion pela solvatação e assim aumentam a velocidade da reação.[2]
Referências
- Solomons, T. W. Graham. (2012). Química orgánica : volume 1 10.ª ed. Rio de Janeiro: Grupo Gen - LTC. ISBN 9788521620334. OCLC 857059210
- McMurry, John. (2005). Química orgânica. São Paulo (SP): Cengage Learning. ISBN 9788522110155. OCLC 817262996
- Bruice, Paula Yurkanis, 1941- (2006). Química orgânica 4.ª ed. São Paulo: Pearson Education do Brasil. ISBN 9788576050049. OCLC 817194769