Reação de Barton
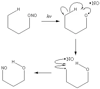
A reação de Barton envolve a fotólise de um nitrito para formar um δ-nitroso álcool. Foi nomeada pelo químico inglês Sir Derek Harold Richard Barton.[1] O mecanismo se acredita envolver uma ruptura homolítica RO–NO, seguida por abstração do δ-hidrogênio e recombinação do radical livre.[2]

Uma reação relacionada é a reação de Hofmann-Löffler envolvendo haloaminas.
Referências
- D. H. R. Barton, J. M. Beaton, L. E. Geller, and M. M. Pechet (1961). «A New Photochemical Reaction». Journal of the American Chemical Society. 83 (19): 4076 - 4083. doi:10.1021/ja01480a030
- IUPAC Goldbook
Literatura recomendada
- D. H. R. Barton, J. M. Beaton, L. E. Geller and M. M. Pechet, J. Am. Chem. Soc. 82, 2640(1960); 83, 4076 (1961).
- L. Nussbaum and C. H. Robinson, Tetrahedron, 17, 35 (1962);
- P. Gray, ibid. 18, 879 (1962)
- M.Akhtar and M. M. chet, J. Am. Chem. Soc. 86, 265 (1964);
- J. M. Erikson and D. L. Forbes in C.Djerassi, Steroid Reactions (Holden-Day, Francisco, 1963), pp 341, 343, 358, 364;
- T. Jen and M.E. Wolff, J. Org. Chem. 28, 1573 (1963)
- K. Heusler and J. KaIvoda, Angew. Chem. (Internatl.Ed. in Engl.) 3, 525 (1964);
- M. A. Khtar, D. H. R. Barton and P. G. Sammes, J. Am. Chem. Soc.86, 3394 (1964);
- R. A. Sneen and N. P. Matheny, ibid. 86, 5503 (1964).
Ligações externas
This article is issued from Wikipedia. The text is licensed under Creative Commons - Attribution - Sharealike. Additional terms may apply for the media files.