Reação de Mannich
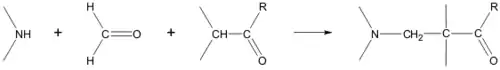
A reação de Mannich é uma reação que consiste na aminometilação de um carbono ativado (ácido) situado junto a um grupo funcional carbonilo empregando como reativos formaldeído (em geral um composto carbonílico não enolizável) e amoníaco ou uma amina primária ou secundária, e catálise ácida. O produto obtido é um composto β-aminocarbonílico, conhecido como base de Mannich.

Reação de Mannich
A reação recebe seu nome pelo químico alemão Carl Mannich.[1]
Muitas vezes, por aquecimento, apenas eliminando a amina da base de Mannich para obter a enona conjugada (carbonilo α,β-insaturado), algo de valor em síntese orgânica.
This article is issued from Wikipedia. The text is licensed under Creative Commons - Attribution - Sharealike. Additional terms may apply for the media files.