Reação de eliminação
Na química, reação de eliminação se refere à saída de átomos ou grupos de uma molécula orgânica, resultando em ligação dupla ou tripla. Em muitos casos, as reações de eliminação concorrem com as reações de substituição nucleofílica. De acordo com as condições em que a reação ocorre, pode se dar através de diferentes mecanismos.[2]

Eliminação bimolecular - E2
O termo eliminação bimolecular (E2) se refere à presença de duas moléculas no estado de transição, o que geralmente resulta em uma lei cinética dependente da concentração de ambos os reagentes. Estes reagentes são o substrato orgânico e uma base forte, que abstrai o próton e promove um rearranjo molecular, resultando na saída do grupo de saída. Como a reação depende do encontro entre estas duas espécies, a velocidade da reação depende deste choque, e o aumento na concentração de cada um dos reagentes aumenta a velocidade da reação, assim a lei cinética da reação E2 é:
Nessa reação, a base ataca um próton do carbono beta , sendo que, ao mesmo tempo, é removido o halogênio contido na molécula, isso faz com que a reação não possua nenhum intermediário. Um exemplo desse tipo de reação pode ser visto abaixo:[2]

Após remover o próton, os elétrons que o hidrogênio compartilhava com o carbono se rearranjam, movendo-se na direção do carbono alfa. Ao fazerem esse rearranjo o halogênio sai levado com ele os elétrons ligantes. Essa reação é denominada desidroalogenação, e seu mecanismo, que possui um estado de transição, pode ser visto abaixo:[2]

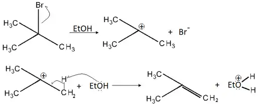
E1
É denominada dessa maneira, pois "E" significa eliminação enquanto "1" indica que essa é uma reação unimolecular, ou seja, sua velocidade depende apenas do substrato.[2]
Essa reação envolve duas etapas sendo que, primeiramente, é formado um carbocátion que, em seguida, tem o próton do carbono beta removido, gerando, assim, uma ligação múltipla. Um exemplo desse tipo de reação pode ser visto abaixo:[3][2]

O mecanismo para essa reação pode ser visto abaixo:

Reação de Eliminação X Substituição
Segundo Solomons (2012), "todos os nucleófilos são bases em potencial e todas as bases são nucleófilos em potencial". Portanto, é esperado que as reações de Eliminação e de Substituição concorram entre si.
- Sn2 X E2:
Existem diferentes maneiras de se favorecer cada uma dessas reações. Pode-se dizer que variação de fatores como: impedimento estérico, temperatura, tamanho do nucleófilo ou base podem influenciar na prevalência de um dos produtos. (SOLOMONS,2012)
- A reação de substituição é favorecida quando se utiliza uma base forte e sem impedimento em um Substrato Primário, já que a base pode se aproximar com facilidade do carbono contendo o grupo abandonador; (SOLOMONS,2012)
- Em um Substrato Secundário a base forte irá favorecer a eliminação, já que o impedimento estérico faz com que seja mais difícil a aproximação do carbono; (SOLOMONS,2012)
- Com a utilização de um Substrato Terciário o impedimento estérico é muito maior, o que faz com que reações Sn2 não ocorram. O aumento da temperatura favorece a reação de eliminação. A única reação de substituição viável, nesse caso, é a Sn1.[3]
- Sn1 X E1:
Essas duas reações respondem de maneira semelhante quando afetadas as reatividades, isso porque as duas reações tem um intermediário em comum. A E1 é favorecida pela utilização de substratos que possam formar carbocátions estáveis, pela utilização de bases fracas e pela utilização de solventes polares. (SOLOMONS,2012)
Em baixas temperaturas a Sn1 é favorecida sobre a reação E1.[3]
E x Sn
A tabela abaixo é um resumo geral que compara as reações de substituição nucleofílica com as reações de eliminação:[3]
| H 3C-X
Metila |
R-CH2-X
Primário |
Substrato
Secundário |
Substrato
Terciário |
|---|---|---|---|
| Apenas reações
Sn2 são possíveis |
Sn2 é favorecido se a base
for forte e sem impedimento |
Sn2 prevalece com
bases fracas |
As reações Sn2 não são possíveis |
| E2 é favorecido se a base
for impedida |
E2 prevalece com
bases fortes |
Bases fortes favorecem E2 | |
| Em solvólise pode ocorre Sn1 x E1,
sendo que baixas temperaturas favorecem a Sn1. |
Referências
- Coleman, G. H.; Johnstone, H. F. (1925). «Cyclohexene». Organic Syntheses. 5 (33). doi:10.15227/orgsyn.005.0033
- BRUICE, Paula Yurkanis. Química Orgânica. 4. ed. São Paulo: Pearson Prentice Hall, 2006.
- SOLOMONS, T.W. Graham; FRYHLE, Craig B.. Química Orgânica. 10. ed. Rio de Janeiro: Ltc, 2012.