Reação eno
A reação eno (também conhecida como reação Alder-eno) é uma reação química entre um alqueno com um hidrogênio alílico (o eno) e um composto contendo uma ligação múltipla (o enófilo), de maneira a formar uma nova ligação σ com migração da ligação dupla eno e deslocamento do hidrogênio 1,5. O produto é um alqueno substituído com a ligação dupla deslocada para a posição alílica.[1]

Esta transformação é uma reação pericíclica de transferência de grupo,[2] e portanto, usualmente requer substratos altamente ativados e/ou temperaturas altas.[3] No entanto, a reação é compatível com uma grande variedade de grupos funcionais que podem ser anexado às porções moleculares eno e enófilo. Além disso, muitos reações eno catalisadas por Ácidos de Lewis úteis tem sido desenvolvidas as quais podem proporcionar altos rendimentos e seletividades a temperaturas significativamente mais baixas, tornando a reação eno uma ferramenta de formação C–C útil para a síntese de moléculas complexas e produtos naturais.
Componente eno
Enos são moléculas contendo ligações π que contém ao menos um átomo de hidrogénio ativo na posição alilica, propargílica ou α. Os possíveis componentes eno incluem ligações olefínicas, acetilênicas, alênicas, aromáticas, ciclopropílicas hétero- carbono.[4] Geralmente, o hidrogênio alílico dos componentes alênicos participam de reações eno, mas no caso dos alenil silanos, o átomo de hidrogênio alênico α ao substituto de silício é aquele transferido, proporcionando um silil-alquino. Fenol pode atuar como um componente eno, por exemplo, na reação com di-hidropirano, mas são necessárias altas temperaturas (150–170 °C). No entanto, os sistemas de anel pequeno e fundido são submetidos a reações de eno a temperaturas muito mais baixas. Além disso, os componentes eno que contém ligações C=O, C=N e C=S foram relatados, mas esses casos são raros.[4]
Enófilo
Enófilos são moléculas contendo ligações π as quais contém substituintes com remoção de elétrons que baixam significativamente o LUMO da ligação π. Possíveis enófilos contém ligações múltiplas carbono-carbono (olefinas, acetilenos, benzinas), ligações múltiplas carbono-hetero (C=O no caso de reações carbonilo-eno, C=N, C=S, C≡P), ligações múltiplas hetero-hetero (N=N, O=O, Si=Si, N=O, S=O), sistemas cumuleno (N=S=O, N=S=N, C=C=O, C=C=S, SO2) e sistemas π carregados (C=N+, C=S+, C≡O+, C≡N+).[4]
Mecanismo
Rota concertada e estados de transição
A principal interação fronteira-orbital que ocorre em uma reação eno é entre o HOMO do eno e o LUMO do enófilo (Figura 2).[5] O HOMO do eno resulta da combinação do orbital de ligação pi na porção molecular vinilo e o orbital da ligação C-H para o H alílico. As reações concertadas totalmente caracterizadas por carbono-eno, em geral, uma barreira de ativação alta, que foi aproximada em 33 kcal/mol no caso do propeno e eteno, conforme calculado teoricamente.[6] No entanto, se o enófilo torna-se mais polar (variando de etano a formaldeído), seu LUMO tem uma maior amplitude em C, rendendo uma melhor C–C se sobrepõem aquele pior das ligações H–O, determinando a reação a prosseguir de forma assíncrona. Isso se traduz em uma redução da barreira de ativação até 14.7 kcal/mol (M06-2X/def2-TZVPP), se S substitui O no enófilo. Por exame computacional tanto as barreiras de ativação como as tensões de ativação de diversas reações eno diferentes envolvendo propeno como o componente eno, Fernandez e colaboradores[6] encontraram que a barreira decresce nos enófilos na ordem: H2C=CH2 > H2C=NH > H2C=CH(COOCH3) > H2C=O > H2C=PH > H2C=S, ma medida que a reação torna-se mais e mais assíncrona e/ou a tensão de ativação decresce.

A natureza concertada do processo eno foi apoiada experimentalmente,[7] e a reação pode ser designada como [σ2s + π2s + π2s] na notação Woodward-Hoffmann.[5] O estado de transição inicial proposto pela reação eno térmica de propeno com formaldeído tem uma conformação de envelope, com um ângulo C–O–H de 155°, como calculado teoricamente.[8]
Schnabel e colaboradores[9] tem estudado uma reação carbonilo-eno intramolecular não catalisada, a qual foi usada para preparar o fragmento ciclopentano de jatrofa-5,12-dienos naturais e não naturais, membros da família de moduladores P-glicoproteína. Seus cálculos DFT, teoricamente, para a reação apresentada na Figura 3, propõe que a reação possa prosseguir através de um dos dois estados de transição concertados e do tipo envelope. O desenvolvimento de interações 1,3-transanulares no estado de transição desfavorecido fornece uma boa explicação para a seletividade deste processo.

O estudo de ácidos de Lewis promovem reações carbonilo-eno, tais como processos eno catalisados por alumínio (Figura 4), levou os pesquisadores a considerar uma conformação do tipo cadeira para o estado de transição de reações eno que procedem relativamente tardios estados de transição.[2] A vantagem de tal modelo é o fato de que para parâmetros estéricos, tais como 1,3-diaxial e 1,2-diequatorial, as repulsões são fáceis de visualizar, o que permite previsões precisas quanto à diastereosseletividade de muitas reações.[2]

Mecanismo radical
Quando um mecanismo concertado é geometricamente desfavorável, uma reação eno térmica pode ocorrer através de uma rota birradical passo a passo.[10] Outra possibilidade é um processo de radical livre, se iniciadores radicais estão presentes na mistura de reação. Por exemplo, a reação eno de ciclopenteno e cicloexeno com azodicarboxilato de dietilo pode ser catalisada por iniciadores livres de radicais. Como visto na Figura 5, a natureza passo a passo do processo é favorecida pela estabilidade dos radicais ciclopentenilo ou cicloexenilo, assim como a dificuldade de ciclopenteno e cicloexeno em adquirir a geometria ideal para um processo concertado.[11]

Regiosseleção
Assim como no caso de qualquer cicloadição, o sucesso de uma reação eno é amplamente determinado pela acessibilidade estérica do hidrogênio alílico do eno. Em geral átomos de hidrogênio de grupos metilo e metileno são subtraídos muito mais facilmente que hidrogênios de grupos metino. Em reações eno térmicas, a ordem de reatividade para o átomo H subtraído é primário> secundário> terciário, independentemente da estabilidade termodinâmica interna do produto olefina. Em reações promovidas por ácidos de Lewis, o par enófilo/ácido de Lewis empregado determina amplamente o caso relativo de subtração de subtração de hidrogênio metilo vs. metileno.[2]
A orientação da reação eno pode ser previsto a partir da estabilização relativa das cargas parciais desenvolvidas é um estado de transição não simétrico com formação inicial da ligação σ. O principal regioisômero virá do estado de transição no qual cargas transientes são melhor estabilizadas pela orientação do eno e enófilo.[4]
Indução assimétrica interna
Em termos da diaestereoseleçãp em relação aos centros quirais recentemente criados, uma preferência endo tem sido qualitativamente observada, mas efeitos estéricos podem facilmente modificar esta preferência (Figura 6).[2]

Reações eno intramoleculares
Reações eno intramoleculares beneficiam-se de entropias de ativação menos negativas que suas contrapartes intrermoleculares, por isso são geralmente mais fáceis, ocorrendo até mesmo no caso de enófilos simples, como alquenos e alquinos desativados.[12] As altas regio- e estereosseletividades que podem ser obtidas nestas reações podem oferecem um controle considerável na síntese de intrincados sistemas de anéis.
Considerando a posição de fixação da ligação conectando o ene e o enófilo, Oppolzer[2] tem classificado ambas as reações eno térmicas e intramoleculares catalisadas por ácidos de Lewis como tipos I, II e III, e Snider[3] tem adicionado uma reação tipo IV (Figura 7). Nestas reações, a sobreposição orbital entre o eno e o enófilo é amplamente controlado pela abordagem da geometria de componentes.[4]

Reações eno catalisadas por ácidos de Lewis
Vantagens e fundamentação
Reações eno térmicas tem várias desvantagens, como a necessidade de temperaturas muito altas e a possibilidade de reações laterais, como a polimerização de olefinas catalisada por prótons ou as reações de isomerização. Uma vez que os enófilos são deficiente em elétrons, foi fundamentado que sua complexação com ácidos de Lewis deve acelerar a reação de eno, como ocorre com a reação mostrada na Figura 8.

Haletos alquilalumínio são bem conhecidos como coletores de prótons e seu uso como ácidos de Lewis catalisadores nas reações eno expandiu consideravelmente o alcance dessas reações e permitiu seu estudo e desenvolvimento em condições significativamente mais suaves.[3]
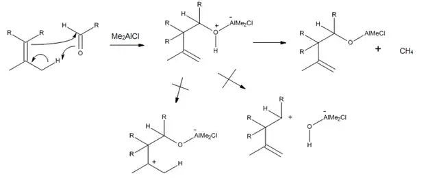
Dado que um ácido de Lewis pode formar complexo diretamente com um oxigênio carbonilo, vários catalisadores de trialquilalumínio foram desenvolvidos para enófilos que contêm uma ligação C=O. Em particular, foi descoberto que Me2AlCl é um catalisador muito útil para as reações eno de aldeídos e cetonas α,β-insaturados, assim como de outros aldeídos alifáticos e aromáticos. A razão por trás do sucesso desse catalisador é o fato que o complexo aduto eno- Me2AlCl pode posteriormente reagir para permitir metano e alcóxido de alumínio, os quais podem prevenir rearranjos catalisados por próton e solvólise (Figura 9).[3]

No caso de reações carbonilo-eno direcionadas, altos níveis de regio- e estereosselevidade tem sido observadas em adição de um ácido de Lewis, a qual pode ser explicado através estados de transição da forma cadeira. Notavelmente, algumas dessas reações (Figura 10) podem funcionar a temperaturas muito baixas e ainda oferecer rendimentos muito bons de um único regioisômero.[2]

Condições de reação
Enquanto a nucleofilicidade do grupo alquilo não levar a reações secundárias, quantidades catalíticas de ácido de Lewis são suficientes para muitas reações eno com enófilos reativos. Não obstante, a quantidade de ácido de Lewis pode variar amplamente, uma vez que depende em grande parte da basicidade relativa do enófilo e o aduto eno. Em termos da escolha do solvente para as reações, as taxas mais altas geralmente são obtidas usando halocarbonos como solventes; solventes polares tais como éteres não são adequados, pois eles se complexariam com o ácido de Lewis, tornando o catalisador inativo.[3]
Reatividade dos enos
Embora os efeitos estéricos ainda sejam importantes na determinação do resultado de uma reação eno catalisada por ácido de Lewis, efeitos eletrônicos também são significativos, pois em tal reação, haverá uma carga positiva considerável desenvolvida no carbono central do eno. Como resultado, os alquenos com pelo menos um carbono vinílico dissubstituído são muito mais reativos do que aqueles mono ou 1,2 dissubstituídos.[3]
Mecanismo
Como visto na Figura 11, reações eno catalisadas por ácido de Lewis pode prosseguir através de um mecanismo concertado que tenha um estado de transição polar, ou através de um mecanismo gradual com um intermediário zwitteriônico. O eno, enófilo e escolha de catalisador podem todos influenciar qual rota é o processo de menor energia. Em geral, o complexo eno ou enófilo-ácido de Lewis mais reativo é mais provável que seja a reação gradual.[3]

Ácidos de Lewis quirais para a catálise assimétrica de reações carbonilo-eno
Complexos dialcoxititânio quirais e a síntese de laulimalida
Uma direção atual no estudo de reações eno catalisadas por ácido de Lewis é o desenvolvimento de catalisadores assimétricos para formação de ligações C–C. Mikami[13] relatou o uso de um complexo de titânio quiral (Figura 12) em reações eno assimétricas envolvendo ésteres glioxilato proquirais.O catalisador é preparado in situ de (i-PrO)2TiX2 e binaftol oticamente puro, sendo a troca do ligando alcoxi facilitada pelo uso de peneiras moleculares. O método proporciona ésteres α-hidroxi de altas purezas enantioméricas, compostos que representam uma classe de importância biológica e sintética (Figura 12).[13]

Uma vez que tanto (R)- como (S)-BINOL são comercialmente disponíveis em forma oticamente pura, este processo assimétrico permite a síntese de ambos os enantiômeros de ésteres α-hidroxi e seus derivados. No entanto, esse método só é aplicável a olefinas 1,1-dissubstituídas, devido a moderada acidez de Lewis do complexo titânio-BINOL.[13]
Como mostrado na Figura 13, Corey e colaboradores[14] propuseram um estado de transição inicial para esta reação, com o objetivo de explicar a alta enantiosseletividade observada (assumindo que a reação é exotérmica como calculada a partir de energias de ligação padrão). Mesmo que a estrutura do catalisador ativo não seja conhecida, o modelo de Corey propõe o seguinte: o aldeído é ativado pela complexação com o catalisador quiral (R)-BINOL-TiX2 via o par de elétrons solitários de formilo sin para o hidrogênio do formilo para formar uma estrutura de Ti pentacoordenada. Ligação de hidrogênio CH—O ocorre ao mais favorável estereoeletronicamente par solitário do oxigênio do ligando BINOL. Em tal estrutura, a face de topo (re) do grupo formilo é muito mais acessível a um ataque de nucleófilo, como a face inferior (si) está protegido pelos vizinha porção molecular naftol, dando assim a configuração observada do produto.

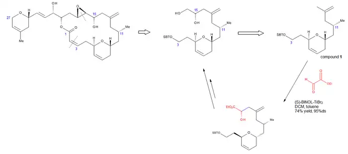
A síntese total formal de laulimalida [15] (Figura 14) ilustra a robustez da reação desenvolvida por Mikami. Laulimalida é um produto natural marinho, um metabólito de várias esponjas que pode encontrar um potencial uso como agente antitumoral, devido à sua capacidade de estabilizar microtúbulos. Um dos passos fundamentais da estratégia utilizada para a síntese do fragmento C3-C16 foi uma reação eno quiralmente catalisada que instalou o estereocentro C15. Tratamento do grupo alilo terminal do composto 1 com glioxilato de etila na presença de (S)-BINOL-TiBr2 catalítico forneceu o álcool requerido em rendimento de 74% e >95% e.d.. Este método eliminou a necessidade de um grupo de proteção ou qualquer outra funcionalidade no final da molécula. Em adição, realizando esta reação, Pitts et al. conseguiram evitar as condições rigorosas e baixos rendimentos associados com a instalação de unidades exo-metileno posteriormente na síntese.[15]

Complexos C2-simétricos Cu(II) quirais e a síntese de (+)-azaspiracida-1
Evans e colaboradores[16] criaram um novo tipo de catalisadores C2-simétrico Cu(II) enantiosseletivos aos quais substratos podem quelar através de dois grupos carbonilo. Os catalisadores foram encontrados fornecendo altos níveis de indução assimétrica em vários processos, incluindo uma reação eno de glioxilato de etila com diferentes olefinas inativadas. Figura 15 apresenta os três catalisadores que eles encontraram como sendo os mais efetivos em fornecer ésteres alfa-hidroxi gama-delta-insaturados em altos rendimentos e enantiosseletividades excelentes. O que é especial sobre o composto 2 é que é estável e pode ser armazenado indefinidamente, tornando-se conveniente de ser usado. A reação tem um vasto escopo, como mostrado na Figura 16, devido a alta acidez de Lewis dos catalisadores, que pode ativar até mesmo olefinas nucleofílicas fracas, tais como 1-hexeno e cicloexeno.


No caso dos catalisadores 1 e 2, tem sido proposto que indução assimétrica pelos catalisadores resulta da formação de um complexo catalisador-glioxylato quadrado e planar (Figura 17), na qual a face Re do aldeído é bloqueado pelos substituintes tert-butilo, permitindo assim que as olefinas em introdução ataquem somente a face Si.[17] Este modelo não considera, no entanto, a indução observada quando o catalisador 3 foi empregado. A visão atual[18] é que a geometria do centro metálico torna-se tetraédrica, de modo que a face estericamente protegida da porção molecular aldeído é a face Re.

Inicialmente, o valor do método desenvolvido por Evans e colaboradores comprovaram convertendo com sucesso o éster alfa-hidroxi resultante no correspondente éster metílico, ácido livre, amida de Weinreb e éster alfa-azido, sem qualquer racemização, como mostrado em Figura 18.[16] Vale ressaltar que o deslocamento de azida do álcool que resulta da reação eno carbonilo fornece uma rota sintética fácil para a síntese de aminoácidos ortogonalmente protegidos.

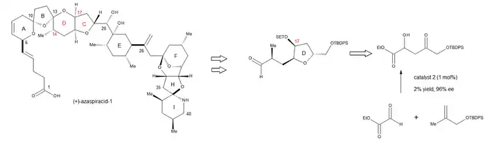
A utilidade sintética dos catalisadores C2-simétricos Cu(II) quirais foi verdadeiramente revelado na formação do estereocentro C17 do fragmento de anel CD da (+)-azaspiracida-1, uma toxina muito potente (citotóxica à células de mamíferos) produzido em pequenas quantidades por múltiplas espécies de mariscos, incluindo mexilhões, ostras, vieiras, amêijoas e berbigões.[19] Como mostrado na Figura 19, a reação que estabelece o estereocentro C17 é catalisada por 1 mol % de complexo Cu(II) 2 (Figura 15), e os autores notaram que pode ser conduzida em uma escala de 20 g e ainda resultar em rendimentos muito bons e excelentes enantiosseletividades. Além disso, o produto pode ser facilmente convertido na correspondente amida de Weinreb, sem qualquer perda de seletividade, permitindo a introdução fácil do grupo metilo de C14. Assim, este novo processo catalítico enantiosseletivo desenvolvido por Evans e colaboradores pode ser facilmente integrado em projetos complexos de síntese, especialmente no início de sínteses, quando altos rendimentos e enantiosseletividades são de extrema importância.

Referências
- Alder, K.; Pascher, F; Schmitz, A. (1943). «Über die Anlagerung von Maleinsäure-anhydrid und Azodicarbonsäure-ester an einfach ungesättigte Koh an einfach ungesättigte Kohlenwasserstoffe. Zur Kenntnis von Substitutionsvorgängen in der Allyl-Stellung». Ber. Dtsch. Chem. Ges. 76. 27 páginas. doi:10.1002/cber.19430760105
- Mikami, K.; Shimizu, M. (1992). «Asymmetric ene reactions in organic synthesis». Chem. Rev. 92 (5). 1021 páginas. doi:10.1021/cr00013a014
- Snider, B. B. (1980). «Lewis-acid catalyzed ene reactions». Acc. Chem. Res. 13 (11). 426 páginas. doi:10.1021/ar50155a007
- Paderes, G. D.; Jorgensen, W. L. (1992). «Computer-assisted mechanistic evaluation of organic reactions. 20. Ene and retro-ene chemistry». J. Org. Chem. 57 (6). 1904 páginas. doi:10.1021/jo00032a054 e referências nele contidas.
- Inagaki, S.; Fujimoto, H; Fukui, K. J. (1976). «Orbital interaction in three systems». J. Am. Chem. Soc. 41 (16). 4693 páginas. doi:10.1021/ja00432a001
- Fernandez, I.; Bickelhaupt, F. M. (2012). «Alder-ene reaction: Aromaticity and activation-strain analysis». Journal of Computational Chemistry. 33 (5): 509–16. PMID 22144106. doi:10.1002/jcc.22877
- Stephenson, L. M.; Mattern, D. L. (1976). «Stereochemistry of an ene reaction of dimethyl azodicarboxylate». J. Org. Chem. 41 (22). 3614 páginas. doi:10.1021/jo00884a030
- Loncharich, R. J.; Houk, K. N. (1987). «Transition structures of ene reactions of ethylene and formaldehyde with propene». J. Am. Chem. Soc. 109 (23). 6947 páginas. doi:10.1021/ja00257a008
- Schnabel, Christoph; Sterz, Katja; MüLler, Henrik; Rehbein, Julia; Wiese, Michael; Hiersemann, Martin (2011). «Total Synthesis of Natural and Non-Natural Δ5,6Δ12,13-Jatrophane Diterpenes and Their Evaluation as MDR Modulators». The Journal of Organic Chemistry. 76 (2). 512 páginas. PMID 21192665. doi:10.1021/jo1019738
- Hoffmann, H. M. R. (1969). «The Ene Reaction». Angew. Chem. Int. Ed. 8 (8). 556 páginas. doi:10.1002/anie.196905561
- Thaler, W. A.; Franzus, B. J. (1964). «The Reaction of Ethyl Azodicarboxylate with Monoolefins». J. Org. Chem. 29 (8). 2226 páginas. doi:10.1021/jo01031a029
- Oppolzer, W.; Snieckus, V. (1978). «Intramolecular Ene Reactions in Organic Synthesis». Angew. Chem. Int. Ed. Engl. 17 (7). 476 páginas. doi:10.1002/anie.197804761
- Mikami, K.; Terada, M.; Takeshi, N. (1990). «Catalytic asymmetric glyoxylate-ene reaction: A practical access to .alpha.-hydroxy esters in high enantiomeric purities». J. Am. Chem. Soc. 112 (10). 3949 páginas. doi:10.1021/ja00166a035
- Corey, E.J.; Barnes-Seeman, D.; Lee, T. W.; Goodman, S. N. (1997). «A transition-state model for the mikami enantioselective ene reaction». Tetrahedron Letters. 37 (37). 6513 páginas. doi:10.1016/S0040-4039(97)01517-7
- Pitts, M. R.; Mulzer, J. (2002). «A chirally catalysed ene reaction in a novel formal total synthesis of the antitumor agent laulimalide». Tetrahedron Letters. 43 (47). 8471 páginas. doi:10.1016/S0040-4039(02)02086-5
- Evans, D.A.; Tregay, S. W.; Burgey C. S.; Paras, N. A.; Vojkovsky, T. (2000). «C2-Symmetric Copper(II) Complexes as Chiral Lewis Acids. Catalytic Enantioselective Carbonyl−Ene Reactions with Glyoxylate and Pyruvate Esters». J. Am. Chem. Soc. 122 (33). 7936 páginas. doi:10.1021/ja000913t
- Johnson, J. S.; Evans, D. A. (2000). «Chiral bis(oxazoline) copper(II) complexes: Versatile catalysts for enantioselective cycloaddition, Aldol, Michael, and carbonyl ene reactions». Acc. Chem. Res. 33 (6): 325–35. PMID 10891050. doi:10.1021/ar960062n
- Johannsen, Mogens; Joergensen, Karl Anker (1995). «Asymmetric hetero Diels-Alder reactions and ene reactions catalyzed by chiral copper(II) complexes». The Journal of Organic Chemistry. 60 (18). 5757 páginas. doi:10.1021/jo00123a007
-
Evans, D. A.; Kaerno, L.; Dunn, T. B.; Beauchemin, A.; Raymer, B.; Mulder, J. A.; Olhava, E. J.; Juhl, M.; Kagechika, K.; Favor D. A. (2008). «Total synthesis of (+)-azaspiracid-1. An exhibition of the intricacies of complex molecule synthesis». J. Am. Chem. Soc. 130 (48): 16295–309. PMC 3408805
. PMID 19006391. doi:10.1021/ja804659n
Ver também
- Reação de Diels-Alder
- Certos isotoluenos isomerizam por um mecanismo eno.