
{{free media}}A baryon is a composite subatomic particle bound together by the strong interaction, whereas leptons are not. The most familiar baryons are the protons and neutrons that make up most of the mass of the visible matter in the universe. Electrons (the other major component of the atom) are leptons. Each baryon has a corresponding antiparticle (antibaryon).
Baryonic matter is matter composed mostly of baryons (by mass), which includes atoms of any sort (and thus includes nearly all matter that may be encountered or experienced in everyday life).
Hyperons

A hyperon is any baryonic form of matter that may exist in a stable form within the core of some neutron stars.[2]
"The impact of exotic compositions on the structure of isolated neutron stars has been studied in the past for stars composed of hyperons [1–9], Delta baryon resonances [10–14], meson condensates [15–21], quarks or even color superconducting quark matter [22–26]. Such degrees of freedom are usually associated with a softening of the equation of state (EoS), impacting the maximum mass and stability of stars [27, 28]."[3]
"When hyperons are taken into account in relativistic mean field models, especial attention must be given to the hyperon-hyperon interaction modeling due to their internal strangeness degree of freedom. This is done through the introduction of φ and σ∗ mesons, which mediate the interaction among these particles by describing repulsion and attraction features, respectively [29]. The competition between softness and stiffness of the EoS due to the presence of hyperons has been widely discussed in the literature under the name of hyperon puzzle [2–4, 7, 8, 30– 36]."[3]
"The MBF model reproduces both nuclear matter prop- erties at saturation and the observational properties of neutron stars with hyperons [2] and magnetic hybrid stars [55, 131].""[3]
Here's a theoretical definition:
Def. any hadron that can decompose into another hadron or baryons is called a hyperon.
Baryons
A baryon is a composite subatomic particle bound together by the strong interaction, whereas leptons are not. The most familiar baryons are the protons and neutrons that make up most of the mass of the visible matter in the universe. Electrons (the other major component of the atom) are leptons. Each baryon has a corresponding antiparticle (antibaryon).
Baryonic matter is matter composed mostly of baryons (by mass), which includes atoms of any sort (and thus includes nearly all matter that may be encountered or experienced in everyday life).
Def. a composite subatomic particle bound together by the strong interaction is called a baryon.
Antiheliums


{{fairuse}}The Alpha Magnetic Spectrometer device AMS-02, recently mounted on the International Space Station uses a Ring-imaging Cherenkov (RICH) detector in combination with other devices to analyze cosmic rays.
"[A]ntihelium-3 and -4 events [were] possibly detected by AMS-02. [...] spallation from primary hydrogen and helium nuclei onto the ISM predicts a [antihelium-3] typically one to two orders of magnitude below the sensitivity of AMS-02 after 5 years, and a flux roughly 5 orders of magnitude below the AMS-02 sensitivity."[4]
These "events [may] originate from antimatter-dominated regions in the form of anticlouds or antistars. In the case of anticlouds, we show how the isotopic ratio of antihelium nuclei might suggest that [Big Bang nucleosynthesis] BBN has happened in an inhomogeneous manner, resulting in antiregions with a antibaryon-to-photon ratio ≃ 10−3η. [The] anticlouds [must] be almost free of normal matter. [Part] of the unidentified sources in the 3FGL catalog can originate from anticlouds or antistars."[4]
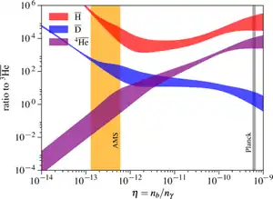
The image on the left displays possible overlap of projected occurrences of anti-hydrogen, anti-deuterium, and anti-helium possibly originating from anticlouds or antistars related to AMS sensitivities.[4]
Antideuterons
"Antideuterons are among the most promising galactic CR-related targets for dark matter (DM) indirect detection. Production models [2] show that antideuterons coming from DM annihilation can magnify even of 2 or 3 orders of magnitude the ultra rare antideuterons signal from standard cosmi sources. The discovery of a substantial amount of antideuterons in cosmic rays could be therefore an important indirect evidence for Dark Matter annihilation in space. Thanks to its long expected exposure time (10–20 years), its wide acceptance and its isotopic distinction power, AMS-02 has some potential for this discovery."[5]
Antineutrons
Def. the "antiparticle corresponding to a neutron"[6] is called an antineutron.
"According to the so-called CRAND (Cosmic Ray Albedo Neutron Decay) process (Walt & Farley 1978; Albert et al. 1998), a small fraction of neutrons escapes the atmosphere and decays within the magnetosphere into protons, which become trapped if they are generated with a suitable pitch angle. Such a mechanism is expected to produce antineutrons (through pair production reactions such as ) which subsequently decay to produce antiprotons [...]."[7]
"From the GeV to the PeV scale, the expected neutron flux is very low and not too different from the antiproton flux, as the same cosmic-ray collisions with the interstellar medium which can produce antiprotons can also produce neutrons and antineutrons."[8]
"Neutrons [with the neutron mass mn = 939.565379(21) MeV/c2 [2], or antineutrons] from the Sun need to be above about 20 MeV to survive until the Earth and their spectrum steeply falls down at higher energies, such that they are detectable up to several hundred MeV."[8]
"As a neutron-antineutron final state is essentially equivalent to a proton-antiproton decay (both come from hadronization of a quark-antiquark pair), it comes out that WIMP searches may also be carried on by focusing on the energy spectrum of cosmic neutrons."[8]
"The baryonic decay
D+
s is observed, and the corresponding branching fraction is measured to be (1.21 ± 0.10 ± 0.05) × 10−3, where the first uncertainty is statistical and second systematic."[9]
Nucleons
Def. one "of the subatomic particles of the atomic nucleus, i.e. a proton or a neutron[10]"[11] is called a nucleon.
"The detection of GW170817 and its electromagnetic counterparts [AT2017gfo] allows us to constrain the equation of state of dense matter [...] Very stiff equations of state are ruled out by the upper limit on the average tidal deformability, , imposed by the detected gravitational wave signal."[12]
"By using several microscopic nucleonic equations of state, we first confirm the existence of a monotonic relation between R1.5 (the radius of the 1.5 M⊙ configuration) and [average tidal deformability] ."[12]
"In the twin-stars scenario, the low-mass objects are made of nucleons and have large radii and large Λ, while the most massive stars are hybrid stars with a very large quark content and small radii and Λ."[12]
The "twin-stars configuration features a very large difference between the radii of the two components: (R1, R2) = (10.7, 13.0) km, which allows one to achieve concurrently a very small radius R1 and a sufficiently large ."[12]
"While the standard interpretation of the GW170817 event in the one-family scenario is perfectly compatible with the merging of two nucleonic [neutron stars] NSs governed by a microscopic nuclear EOS respecting the MTOV > 2 M⊙ limit, [...] the lower limit on the tidal deformability obtained by Radice et al. (2018) is not incompatible with R1.5 being even significantly smaller than 12 km if one assumes that the population of compact stars is not made of only one family. [When] allowing for the existence of disconnected branches in the mass–radius relation, either within the two-families scenario or within the twin-stars scenario, one can explain the existence of very compact stars and at the same time one can fulfill the request of having a not too small average tidal deformability, as suggested by the analysis of AT2017gfo."[12]
In "both scenarios, the source of GW170817 is a mixed binary system: a [hadronic star] HS and a [quark star] QS within the two-families scenario (Drago & Pagliara 2018) and a hybrid star and a nucleonic star within the twin-stars scenario (Paschalidis et al. 2018). It is interesting to note that within the two-families scenario, a system with the chirp mass of the source of GW170817 cannot be composed of two HSs: such a system would have too small an average tidal deformability, and moreover it would lead to a prompt collapse (Drago & Pagliara 2018)."[12]
Neutrons

The neutron is a subatomic hadron particle which has the symbol n or n0
, no net electric charge and a mass slightly larger than that of a proton.
Outside the nucleus, free neutrons are unstable and have a mean lifetime of 885.7±0.8 s (about 14 minutes, 46 seconds); therefore the half-life for this process (which differs from the mean lifetime by a factor of ln(2) = 0.693) is 613.9±0.8 s (about 10 minutes, 11 seconds).[13] Free neutrons decay by emission of an electron and an electron antineutrino to become a proton, a process known as beta decay:[14]
- n0
=> p+
+ e−
+ ν
e
Because free neutrons are unstable, they can be obtained only from nuclear disintegrations, nuclear reactions, and high-energy reactions (such as in cosmic radiation showers or accelerator collisions).
The neutron has a negatively charged exterior, a positively charged middle, and a negative core.[15]
Def. a "subatomic particle forming part of the nucleus of an atom and having no charge"[16] is called a neutron.
"Due to the very low energy of the colliding protons in the Sun, only states with no angular momentum (s-waves) contribute significantly. One can consider it as a head-on collision, so that angular momentum plays no role. Consequently, the total angular momentum is the sum of the spins, and the spins alone control the reaction. Because of Pauli's exclusion principle, the incoming protons must have opposite spins. On the other hand, in the only bound state of deuterium, the spins of the neutron and proton are aligned. Hence a spin flip must take place [...] The strength of the nuclear force which holds the neutron and the proton together depends on the spin of the particles. The force between an aligned proton and neutron is sufficient to give a bound state, but the interaction between two protons does not yield a bound state under any circumstances. Deuterium has only one bound state."[17]
The "force acting between the protons and the neutrons [is] the strong force".[17]
"A potential of 36 MeV is needed to get just one energy state."[17]
The width of a bound proton and neutron is "2.02 x 10-13 cm".[17]
"Another possibility [regarding neutron stars, called "baryon matter",] is that in the absence of gravity high-density baryonic matter is bound by purely strong forces. [...] nongravitationally bound bulk hadronic matter is consistent with nuclear physics data [...] and low-energy strong interaction data [...] The effective field theory approach has many successes in nuclear physics [...] suggesting that bulk hadronic matter is just as likely to be a correct description of matter at high densities as conventional, unbound hadronic matter."[18]
"The idea behind baryon matter is that a macroscopic state may exist in which a smaller effective baryon mass inside some region makes the state energetically favored over free particles. [...] This state will appear in the limit of large baryon number as an electrically neutral coherent bound state of neutrons, protons, and electrons in β-decay equilibrium."[18]
The Neutron Monitor aboard Ulysses was used to measure cosmic rays as well as neutrons.
Around EeV (1018 eV) energies, there may be associated ultra high energy neutrons "observed in anisotropic clustering ... because of the relativistic neutrons boosted lifetime."[19] “[A]t En = 1020 eV, [these neutrons] are flying a Mpc, with their directional arrival (or late decayed proton arrival) ... more on-line toward the source.”[19] From “neutron (and anti-neutron) life-lengths (while being marginal or meaningless at tens of Mpcs)", the growth of their half-lives with energy may naturally explain an associated, showering neutrino halo.[19]
Fairly large fluxes of neutrons have been observed during solar flares such as that of November 12, 1960, with a flux of 30-70 neutrons per cm-2 s-1.[20]
At right is the result of an all Moon survey by the Lunar Prospector using an onboard neutron spectrometer (NS). Cosmic rays impacting the lunar surface generate neutrons which in turn lose much of their energy in collisions with hydrogen atoms trapped within the Moon's surface.[21] Some of these thermal neutrons collide with the helium atoms within the NS to yield an energy signature which is detected and counted.[21] The NS aboard the Lunar Prospector has a surface resolution of 150 km.[21]
Colors
The neutron detection temperature, also called the neutron energy, indicates a free neutron's kinetic energy, usually given in electron volts. The term temperature is used, since hot, thermal and cold neutrons are moderated in a medium with a certain temperature. The neutron energy distribution is then adopted to the Maxwellian distribution known for thermal motion. Qualitatively, the higher the temperature, the higher the kinetic energy is of the free neutron. Kinetic energy, speed and wavelength of the neutron are related through the De Broglie relation.
Moderated and other, non-thermal neutron energy distributions or ranges are
- Fast neutrons with kinetic energies greater than 1 eV, 0.1 MeV or approximately 1 MeV, depending on the definition.
- Slow neutrons a kinetic energy less than or equal to 0.4 eV.
- Epithermal neutrons an energy from 1 eV to 10 keV.
- Hot neutrons an energy of about 0.2 eV.
- Thermal neutrons an energy of about 0.025 eV.[22] This is the most probable energy, while the average energy is 0.038 eV.
- Cold neutrons an energy from 5 × 10−5 eV to 0.025 eV.
- Very cold neutrons an energy from 3 × 10−7 eV to 5 × 10−5 eV.
- Ultra cold neutrons ... an energy less than 3 × 10−7 eV.
- Continuum region neutrons an energy from 0.01 MeV to 25 MeV.
- Resonance region neutrons an energy from 1 eV to 0.01 MeV.
- Low energy region neutrons an energy less than 1 eV.
Sources
| Z → | 0 | 1 | 2 | ||||||||||||
|---|---|---|---|---|---|---|---|---|---|---|---|---|---|---|---|
| n ↓ | n | H | He | 3 | 4 | ||||||||||
| 0 | 1H | Li | Be | 5 | 6 | ||||||||||
| 1 | 1n | 2H | 3He | 4Li | 5Be | B | C | 7 | |||||||
| 2 | 2n | 3H | 4He | 5Li | 6Be | 7B | 8C | N | 8 | ||||||
| 3 | 4H | 5He | 6Li | 7Be | 8B | 9C | 10N | O | 9 | ||||||
| 4 | 4n | 5H | 6He | 7Li | 8Be | 9B | 10C | 11N | 12O | F | 10 | ||||
| 5 | 6H | 7He | 8Li | 9Be | 10B | 11C | 12N | 13O | 14F | Ne | 11 | ||||
| 6 | 7H | 8He | 9Li | 10Be | 11B | 12C | 13N | 14O | 15F | 16Ne | Na | 12 | |||
| 7 | 9He | 10Li | 11Be | 12B | 13C | 14N | 15O | 16F | 17Ne | 18Na | Mg | 13 | |||
| 8 | 10He | 11Li | 12Be | 13B | 14C | 15N | 16O | 17F | 18Ne | 19Na | 20Mg | Al | 14 | ||
| 9 | 12Li | 13Be | 14B | 15C | 16N | 17O | 18F | 19Ne | 20Na | 21Mg | 22Al | Si | |||
| 10 | 14Be | 15B | 16C | 17N | 18O | 19F | 20Ne | 21Na | 22Mg | 23Al | 24Si | ||||
| 11 | 16B | 17C | 18N | 19O | 20F | 21Ne | 22Na | 23Mg | 24Al | 25Si | |||||
| 12 | 18C | 19N | 20O | 21F | 22Ne | 23Na | 24Mg | 25Al | 26Si | ||||||
| 13 | 20N | 21O | 22F | 23Ne | 24Na | 25Mg | 26Al |
27Si | |||||||
| 14 | 22O | 23F | 24Ne | 25Na | 26Mg | 27Al | 28Si | ||||||||
Neutrons are produced when alpha particles impinge upon any of several low atomic weight isotopes including isotopes of lithium, beryllium, carbon and oxygen.
Gamma radiation with an energy exceeding the neutron binding energy of a nucleus can eject a neutron. Two examples and their decay products:
- 9Be + >1.7 Mev photon → 1 neutron + 2 4He
Traditional particle accelerators with hydrogen (H), deuterium (D), or tritium (T) ion sources may be used to produce neutrons using targets of deuterium, tritium, lithium, beryllium, and other low-Z materials. Typically these accelerators operate with voltages in the > 1 MeV range.
Neutrons (so-called photoneutrons) are produced when photons above the nuclear binding energy of a substance are incident on that substance, causing it to undergo giant dipole resonance after which it either emits a neutron ([photodisintegration) or undergoes fission (photofission). The number of neutrons released by each fission event is dependent on the substance. Typically photons begin to produce neutrons on interaction with normal matter at energies of about 7 to 40 MeV, which means that megavoltage photon radiotherapy facilities may produce neutron radiation as well, and require special shielding for it. In addition, electrons of energy over about 50 MeV may induce giant dipole resonance in nuclides by a mechanism which is the inverse of internal conversion, and thus produce neutrons by a mechanism similar to that of photoneutrons.[23]
A spallation source is a high-flux source in which protons that have been accelerated to high energies hit a target material, prompting the emission of neutrons.
Nuclear fusion, the combining of the heavy isotopes of hydrogen, also has the potential to produce large quantities of neutrons.
Neutron emission is a type of radioactive decay of atoms containing excess neutrons, in which a neutron is simply ejected from the nucleus. Two examples of isotopes which emit neutrons are beryllium-13 (mean life 2.7x10-21 sec) and helium-5 (7x10-22 sec).
Neutron emission usually happens from nuclei that are in an excited state, such as the excited O-17* produced from the beta decay of N-17. The neutron emission process itself is controlled by the nuclear force and therefore is extremely fast, sometimes referred to as "nearly instantaneous." The ejection of the neutron may be as a product of the movement of many nucleons, but it is ultimately mediated by the repulsive action of the nuclear force that exists at extremely short-range distances between nucleons. The life time of an ejected neutron inside the nucleus before it is emitted is usually comparable to the flight time of a typical neutron before it leaves the small nuclear "potential well," or about 10-23 seconds.[24] A synonym for such neutron emission is "prompt neutron" production, of the type that is best known to occur simultaneously with induced nuclear fission. Many heavy isotopes, most notably californium-252, also emit prompt neutrons among the products of a similar spontaneous radioactive decay process, spontaneous fission.
Most neutron emission outside prompt neutron production associated with fission (either induced or spontaneous), is from neutron-heavy isotopes produced as fission products. These neutrons are sometimes emitted with a delay, giving them the term delayed neutrons, but the actual delay in their production is a delay waiting for the beta decay of fission products to produce the excited-state nuclear precursors that immediately undergo prompt neutron emission. Thus, the delay in neutron emission is not from the neutron-production process, but rather its precursor beta decay which is controlled by the weak force, and thus requires a far longer time. The beta decay half lives for the precursors to delayed neutron-emitter radioisotopes, are typically fractions of a second to tens of seconds.
Antihydrogens
The "Lyman-α line—the 1S–2P transition at a wavelength of 121.6 nanometres [...] has long been used by astronomers studying the intergalactic medium and testing cosmological models via the so-called 'Lyman-α forest'3 of absorption lines at different redshifts."[25]
The "Lyman-α transition [has been observed] in the antihydrogen atom, the antimatter counterpart of hydrogen. Using narrow-line-width, nanosecond-pulsed laser radiation, the 1S–2P transition was excited in magnetically trapped antihydrogen. The transition frequency at a field of 1.033 tesla was determined to be 2,466,051.7 ± 0.12 gigahertz (1σ uncertainty) and agrees with the prediction for hydrogen to a precision of 5 × 10−8. Comparisons of the properties of antihydrogen with those of its well-studied matter equivalent allow precision tests of fundamental symmetries between matter and antimatter."[25]
Antiprotons

{{fairuse}}
{{fairuse}}Def. the "antiparticle of the proton, having a negative electric charge"[26] is called an antiproton.
The antiproton p is the antiparticle of the proton. Antiprotons are stable, but they are typically short-lived since any collision with a proton will cause both particles to be annihilated in a burst of energy.
Antiprotons have been detected in cosmic rays for over 25 years, first by balloon-borne experiments and more recently by satellite-based detectors. The standard picture for their presence in cosmic rays is that they are produced in collisions of cosmic ray protons with nuclei in the interstellar medium, via the reaction, where A represents a nucleus:
- p + A → p + p + p + A
The secondary antiprotons (p) then propagate through the galaxy, confined by the galactic magnetic fields. Their energy spectrum is modified by collisions with other atoms in the interstellar medium. The antiproton cosmic ray energy spectrum is now measured reliably and is consistent with this standard picture of antiproton production by cosmic ray collisions.[27]
In the graph on the right is the interstellar antiproton spectrum including antiproton data from Buffington et al. (1981), Bogomolov et al. (1981), and Golden et al. (1984) with the upper limit of Tan and Ng's (1983) "non-uniform galactic disk" model (top curve) and the exact numerical modulation solution at 1 AU after Ryan et al. (1972) (bottom curve).[28]
"Various researchers have conducted balloon flights to measure antiprotons (p) which originate outside the heliosphere, the region in which the solar wind and the interplanetary magnetic field hold sway over medium-energy cosmic rays. In 1979 Golden et al. (1984) measured antiproton-proton (p/p) ratios in the interval between 4.4 and 13.4 GeV. Bogomolov et al. (1980) reported data in the range of 2-5 GeV. And most recently, Buffington et al. (1981) claimed an astonishly high measurement at about 200 MeV."[28]
In the graph on the left is the primary, interstellar, antiproton spectrum as reconstructed using adiabatic deceleration in the solar wind, from Stecker et al. (1985), the spectrum at 1 AU (lower curve), data from Buffington et al. (Bu, 1981), Bogomolov et al. (Bo, 1981), and Golden et al. (G, 1984), and the exact numerical spectrum at 1 AU (dashed lower curve).[28]
"The steepness of the high-energy end of the interstellar spectrum and the consequent excess around 1 GeV are the result of an exponential spectrum rather than the more typical power-law spectrum found in most secondary production and propagation models."[28]
"Raising the portion of the interstellar spectrum below about 600 MeV, a common way of trying to fit the 200 MeV data, will not significantly affect the low-energy side of the near-Earth spectrum, since 200 MeV particles at 1 AU originate at much higher energies (> 1 GeV) and are cooled down by adiabatic deceleration in the solar wind. [The] shape of the low-energy side of a galactic proton spectrum at Earth is virtually independent of the shape of the interstellar spectrum (Fisk, 1979)."[28]
Antiproton radiation belts

{{fairuse}}"The PAMELA collaboration has recently reported the cosmic-ray (CR) antiproton spectrum and antiproton-to-proton ratio measurements in the kinetic energy range 60 MeV–180 GeV (Adriani et al. 2009a, 2010a). [...] The results agree with models of purely secondary production where antiprotons are produced through interactions of CRs with the interstellar medium."[7]
"Antiprotons are also created in pair production processes in reactions of energetic CRs with Earth's exosphere. Some of the antiparticles produced in the innermost region of the magnetosphere are captured by the geomagnetic field allowing the formation of an antiproton radiation belt around the Earth. The particles accumulate until they are removed due to annihilation or ionization losses. The trapped particles are characterized by a narrow pitch angle20 distribution centered around 90 deg and drift along geomagnetic field lines belonging to the same McIlwain L-shell21 where they were produced. Due to magnetospheric transport processes, the antiproton population is expected to be distributed over a wide range of radial distances."[7]
The CRAND "source is expected to provide the main contribution to the energy spectrum of stably trapped antiprotons and the resulting flux is predicted to be up to several orders of magnitude higher than the antiproton flux from direct pair production in the exosphere (Fuki 2005; Selesnick et al. 2007)."[7]
"The magnetospheric antiproton flux is expected to exceed significantly the galactic CR antiproton flux at energies below a few GeV. [...] A measurement by the Maria-2 instrument (Voronov et al. 1990) on board the Salyut-7 and Mir orbital stations allowed an upper limit on the trapped antiproton-to-proton ratio of 5 × 10−3 to be established below 150 MeV."[7]
"A clean sample of antiprotons was identified using information combined from several PAMELA subdetectors. Antiprotons are measured in the presence of a considerably larger flux of protons. It is therefore important that particle trajectories are well reconstructed by the tracking system, allowing reliable charge sign separation and a precise estimate of rigidity (Adriani et al. 2009a). Strict conditions were placed on the number of position measurements along a track and on the χ2 associated with the track fit procedure, in order to reject protons which were wrongly reconstructed as negatively charged particles due to scattering and to minimize uncertainties on the rigidity measurement."[7]
"Measured antiproton distributions were corrected by means of simulations to take into account losses due to ionization and multiple scattering inside the apparatus and, mainly, due to inelastic interactions (annihilation) in the dome. The correction factor decreases with increasing energy, ranging from 14% to 9%. Selection efficiencies were determined using flight data, which naturally include detector performances. Test beam and simulation data were used to support and cross-check these measurements. The total systematic error on the measured spectrum includes uncertainties on efficiency estimation, gathering power, livetime, contamination, ionization, and interaction losses."[7]
"Fluxes in radiation belts present significant anisotropy since particles gyrate around field lines while moving along them, bouncing back and forth between mirror points. This results in a well-defined pitch-angle distribution. A dependence on the local magnetic azimuthal angle is observed as consequence of the east–west effect. Positively (negatively) charged particles arriving from the east (west) originate from guiding centers located at lower altitudes than PAMELA and thus their flux is significantly reduced by the atmospheric absorption, while the opposite is valid for particles from western (eastern) directions. The resulting asymmetry is more evident for higher rigidity particles since it scales with the particle gyroradius which ranges from ~50 km for a 60 MeV (anti)proton, up to ~250 km for a 750 MeV (anti)proton."[7]
"During about 850 days of data acquisition (from 2006 July to 2008 December), 28 trapped antiprotons were identified within the kinetic energy range 60–750 MeV. Events with geomagnetic McIlwain coordinates (McIlwain 1961) in the range 1.1 < L < 1.3 and B < 0.216 G were selected, corresponding to the SAA. The fractional livetime spent by PAMELA in this region amounts to the 1.7% (~4.6 × 109 s)."[7]
"All the identified antiprotons, characterized by a pitch angle near 90 deg, were found to spiral around field lines, bounce between mirror points, and also perform a slow longitudinal drift around the Earth, for a total path length amounting to several Earth radii."[7]
In the graph on the right are the geomagnetically "trapped antiproton spectrum measured by PAMELA in the SAA region (red full circles). The error bars indicate statistical uncertainties. Trapped antiproton predictions by Selesnick et al. (2007) for the PAMELA satellite orbit (solid line), and by Gusev et al. (2008) at L = 1.2 (dotted line), are [included]. For comparison, the mean atmospheric under-cutoff antiproton spectrum outside the SAA region (blue open circles) and the galactic CR antiproton spectrum (black squares) measured by PAMELA (Adriani et al. 2010a) are also shown."[7]
Canal rays


An anode ray (also positive ray or canal ray) is a beam of positive ions that is created in certain types of gas-discharge tubes and first observed in Crookes tubes during experiments by the Eugen Goldstein, in 1886.[29]
An anode ray ion source typically is an anode coated with the halide salt of an alkali metal or alkaline earth metal.[30][31]
Protons


The proton is a subatomic particle with the symbol p or p+
and a positive electric charge of 1 elementary charge. One or more protons are present in the nucleus of each atom, along with neutrons. The number of protons in each atom is its atomic number.
Nucleon spin structure describes the partonic structure of proton intrinsic angular momentum (spin). The key question is how the nucleon's spin, whose magnitude is 1/2ħ, is carried by its [suggested] constituent partons (quarks and gluons). In the late 1980s, the European Muon Collaboration (EMC) conducted experiments that suggested the spin carried by quarks is not sufficient to account for the total spin of [protons]. This finding astonished particle physicists at that time, and the problem of where the missing spin lies is sometimes referred to as the "proton spin crisis".
Experimental research on these topics has been continued by the Spin Muon Collaboration (SMC) and the COMPASS experiment at CERN, experiments E154 and E155 at [SLAC National Accelerator Laboratory] SLAC, HERMES at DESY, experiments at [Thomas Jefferson National Accelerator Facility] JLab and RHIC, and others. Global analysis of data from all major experiments confirmed the original EMC discovery and showed that the quark spin [may] contribute about 30% to the total spin of the nucleon.
New measurements performed by European scientists reveal that the radius of the proton is 4 percent smaller than previously estimated.[32]
About 89% of cosmic rays are simple protons or hydrogen nuclei.
The free proton is stable and is found naturally in a number of situations. Free protons exist in plasmas in which temperatures are too high to allow them to combine with electrons. Free protons of high energy and velocity make up 90% of cosmic rays, which propagate for interstellar distances.
"Proton astronomy [since protons are also most cosmic rays] should be possible; it may also provide indirect information on inter-galactic magnetic fields."[33]
Kosmos 60 measured the gamma-ray background flux density to be 1.7×104 quanta/(m2·s). As was seen by Ranger 3 and Lunas 10 & 12, the spectrum fell sharply up to 1.5 MeV and was flat for higher energies. Several peaks were observed in the spectra which were attributed to the inelastic interaction of cosmic protons with the materials in the satellite body.
A "new type of neutron star model (Q stars) [is such that] high-density, electrically neutral baryonic matter is a coherent classical solution to an effective field theory of strong forces and is bound in the absence of gravity. [...] allows massive compact objects, [...] and has no macroscopic minimum mass."[18]
"Compact objects in astronomy are usually analyzed in terms of theoretical characteristics of neutron stars or black holes that are based upon calculations of equations of state for matter at very high densities. At such high densities, the effects of strong forces cannot be neglected. There are several conventional approaches to describing nuclear forces, all of which find that for a baryon number greater than ~250, a nucleus will become energetically unbound. High-density hadronic matter is not stable in these theories until there are enough baryons for gravitational binding to form a neutron star, typically with a minimum mass ≳ 0.1 M⊙ and maximum mass ≲ 3 M⊙."[18]
Def. a "positively charged [subatomic] particle forming part of the nucleus of an atom and determining the atomic number of an element"[34] is called a proton.
"Times for accumulation of chemically significant dosages on icy surfaces of Centaur, Kuiper Belt, and Oort Cloud objects from plasma and energetic ions depend on irradiation position within or outside the heliosphere. Principal irradiation components include solar wind plasma ions, pickup ions from solar UV ionization of interstellar neutral gas, energetic ions accelerated by solar and interplanetary shocks, including the putative solar wind termination shock, and galactic cosmic ray ions from the Local Interstellar Medium (LISM)."[35]
Flux spectra have been derived "from spacecraft data and models for eV to GeV protons at 40 AU, a termination shock position at 85 AU, and in the LISM."[35]
"The ‘bubble’ of solar wind plasma and frozen-in magnetic fields expanding out from the solar corona, within a few radii of the Sun, to boundaries with the local interstellar gas and plasma near about 100 AU is called the heliosphere. Dependent on points of origin at the Sun, and on time phase during the eleven year cycle of solar activity, the solar wind plasma expands radially outward at speeds of 300–800 km/s. Neutral atoms flowing into the heliosphere from the Very Local Interstellar Medium (VLISM) can be ionized by solar UV, and by charge exchange with solar wind ions, then picked up by magnetic fields in the outward plasma flow. Due to inverse-square fall-off of solar wind ion density with distance from the Sun, these interstellar pickup ions increasingly contribute to the plasma pressure and become the dominant component beyond the orbit of Saturn (Burlaga et al., 1996; Whang et al., 1996). Further out near 90–100 AU (Stone, 2001; Stone and Cummings, 2001; Whang and Burlaga, 2002) the outflowing plasma is expected to encounter the solar wind termination shock where flow speeds abruptly transition to sub-sonic values ∼100 km/s. The shock position is dependent in part on the plasma and neutral gas density in the Local Interstellar Medium (LISM) and could move into the giant planet region, or even nearer to the Earth’s orbit, if the Sun passed through a region of much higher LISM density (Zank and Frisch, 1999; Frisch, 2000). Further out at 120 AU or more should be the heliopause, the contact boundary between the diverted solar wind plasma flows and the in-flowing interstellar plasma. The intervening region between the termination shock and the heliopause is called the heliosheath. In this latter region the previously radial flow of the solar wind is diverted into a direction downstream from the ∼26 km/s flow of the interstellar gas to form a huge teardrop-shaped structure called the heliotail which extends hundreds to perhaps thousands of AU from the Sun into the VLISM."[35]
"Within the heliosphere the interplanetary environment of solar wind plasma, solar (SEP) and interplanetary energetic particles, and galactic cosmic rays (GCR) has long been surveyed in-situ beyond Neptune’s orbit at 30 AU, since 1983 and 1990 by the Pioneer 10 and 11 spacecraft, and since 1987 and 1989 by Voyager 1 and 2. Of these, the Pioneers are no longer transmitting data and the Voyagers are now respectively at 89 and 71 AU, far beyond the 48 AU semi-major axis (a) cutoff of the Classical KBO population but within the range of aphelia 48 < Q < 103 AU for known Centaurs (perihelia at 5 < q < 35 AU) and Scattered KBOs (q > 35 AU). Voyager 1 is expected to cross the termination shock, later followed by Voyager 2, within the next several years and possibly to exit the heliosphere across the heliopause within its remaining ∼17 + years of operational lifetime. Both spacecraft will have been silent for millennia before reaching the Oort Cloud region at 104 to 105 AU. Within the next quarter century NASA may launch an interstellar probe (e.g., Mewaldt et al., 2001a) moving outward at 10 AU/year with the ultimate goal of surveying the VLISM environment out to several hundred AU. Until then, the next mission to the outer solar system is planned to be New Horizons (Stern and Spencer, 2003), which will fly by the Pluto/Charon system in 2015 and thereafter attempt several flybys of accessible KBOs. Enroute to Pluto this mission may attempt at least one Centaur flyby after swinging by Jupiter in 2007."[35]
"The initial solar wind conditions at the inner boundary at 1 AU are radial outward speed V = 441 km/s, solar wind proton density N = 7.0/cc and temperature T = 9.8 × 104 K, and interplanetary magnetic field = 7.0 × 10−5 Gauss. The interstellar hydrogen atoms at the solar wind termination shock are taken to have speed 20 km/s and temperature 1 × 104 K, while H0 density, and the energy partition ratio for ions, are varied to give good fits to radial speed and temperature profiles measured by the operational plasma spectrometer on Voyager 2. Good fits are obtained for a neutral density of 0.09/cc and a partition ratio of 0.05, which means that five percent of the total energy from the pickup process goes into solar wind protons. For the LISM plasma ions, which are not included in the Wang and Richardson model, we compute convecting maxwellian (Vasyliunas, 1971) distributions for the LISM parameters T ∼ 7000 K, u ∼ 26 km/s, and N ∼ 0.1/cc of interstellar protons as derived from Wood and Linsky (1997)."[35]
"For the present work we define ‘cosmic ray’ protons as being those with energies above 0.1 MeV from sources within and outside the heliosphere. Sources include solar energetic particle (SEP) events, acceleration by interplanetary shocks and the solar wind termination shock, and inward diffusion through the heliosheath of galactic cosmic rays thought mostly to be accelerated by interstellar shocks from supernova explosions. Protons and heavier ions accelerated at the termination shock, after pickup from photo-ionization of interstellar gas neutrals, are called anomalous cosmic rays (ACR)."[35]
"Near solar minimum the ACR ions, including protons, are dominant components of radiation dosage outward from ∼40 AU to the outer heliosphere, while these ions largely disappear at solar maximum. There is a 22-year cycle in the polarity of the solar dipole magnetic field, which is frozen into the solar wind plasma within several radii of the Sun and thereby carried outward into the heliosphere. Due to sign-dependent transport effects, the ACR ions accelerated at the termination shock have larger fluxes, and more positive radial gradients, at 40 to 85 AU near the Ecliptic when the solar dipole moment is directed southward (qA < 0 polarity) than when it is northward (qA > 0 polarity)."[35]
"For protons the primary radiation dosage process is deposition of energy within the volume of material as a function of depth. This deposition occurs either by electronic ionization of target atoms or by direct collisions with nuclei within the atoms. Nuclear collisions are purely elastic, as for billiard balls, up to some threshold energy for inelastic collisions, which can also excite or break up the struck nucleus with increasing effect at higher energies."[35]
"For the 85-AU termination shock location the times at 0.1-μm depth drop to 107 to 108 years, while in the LISM the electronic time scale even at 1 cm is below the 109-year limit. Flux and dosage rates increase by orders of magnitude in this depth range from 40 AU out into the LISM. From 40 AU to the termination shock this trend reflects the positive radial intensity gradient for ACR protons diffusing inward from the shock acceleration source."[35]
"Oort Cloud comets, and possibly Scattered KBOs with aphelia near the heliosheath and VLISM, are maximally irradiated, while Classical KBOs near 40 AU are minimally irradiated. Radial intensity gradients ≾ +10%/AU of ACR ions might account for spatial variations in color within this latter population, e.g., redder objects with increasing perihelia in the 32 < q < 45 AU range as reported by Doressoundiram et al. (2002) and at this conference by Doressoundiram (2003)."[35]
"Proton astronomy should be possible; it may also provide indirect information on inter-galactic magnetic fields."[36]
Proton astronomy per se often consists of directly or indirectly detecting the protons and deconvoluting a spatial, temporal, and spectral distribution.
“[A]t the high end of the proton energy spectrum (above ≈ 1018 eV) [the Larmor radius] deflection becomes small enough that proton astronomy becomes possible.”[37]
"The third largest solar proton event in the past thirty years took place during July 14-16, 2000, and had a significant impact on the earth's atmosphere."[38]
Emissions

Credit: original: National Nuclear Data Center, stitched: Neokortex, cropped: Limulus.
The free proton is stable and is found naturally in a number of situations. Free protons exist in plasmas in which temperatures are too high to allow them to combine with electrons. Free protons of high energy and velocity make up 90% of cosmic rays, which propagate in vacuum for interstellar distances. Free protons are emitted directly from atomic nuclei in some rare types of radioactive decay, and also result from the decay of free neutrons, which are unstable. In all such cases, protons must lose sufficient velocity and (kinetic energy) to allow them to become associated with electrons, since this is a relatively low-energy interaction. However, in such an association, the character of the bound proton is not changed, and it remains a proton.
At right is a graph or block diagram that shows the boundaries for nuclear particle stability. The boundaries are conceptualized as drip lines. The nuclear landscape is understood by plotting boxes, each of which represents a unique nuclear species, on a graph with the number of neutrons increasing on the abscissa and number of protons increasing along the ordinate, which is commonly referred to as the table of nuclides, being to nuclear physics what the more commonly known periodic table of the elements is to chemistry. However, an arbitrary combination of protons and neutrons does not necessarily yield a stable nucleus, and ultimately when continuing to add more of the same type of nucleons to a given nucleus, the newly formed nucleus will essentially undergo immediate decay where a nucleon of the same isospin quantum number (proton or neutron) is emitted; colloquially the nucleon has 'leaked' or 'dripped' out of the target nucleus, hence giving rise to the term "drip line". The nucleons drip out of such unstable nuclei for the same reason that water drips from a leaking faucet: the droplet, or nucleon in this case, sees a lower potential which is great enough to overcome surface tension in the case of water droplets, and the strong nuclear force in the case of proton emission or alpha decay. As nucleons are quantized, then only integer values are plotted on the table of isotopes, indicating that the drip line is not linear but instead looks like a step function up close.
The general location of the proton drip line is well established. For all elements occurring naturally on earth and having an odd number of protons, at least one species with a proton separation energy less than zero has been experimentally observed. Up to germanium the location of the drip line for many elements with an even number of protons is known, but none past that point are listed in the evaluated nuclear data. There are a few exceptional cases where, due to nuclear pairing, there are some particle-bound species outside the drip line, such as 8B and 178Au. One may also note that nearing the magic numbers, the drip line is less understood. A compilation of the known first unbound nuclei beyond the proton drip line is given below, with the number of protons, Z and the corresponding isotopes, taken from the National Nuclear Data Center.[39]
Meteors
"Chlorine-36 is produced in rocks at the surface of the earth by cosmic-ray spallation, mainly of K and Ca, and by activation of 35Cl by cosmic-ray neutrons (PHILLIPS et al., 1986; FABRYKA-MARTIN, 1988). Cosmogenic 36Cl significantly above subsurface concentrations is produced only to depths of a few meters below the earth’s surface (FABRYKA-MARTIN, 1988; LAL, 1987), and its buildup has been shown to be a regular function of time (PHILLIPS et al., 1986). Zreda et al. (1990, 1991) have determined 36Cl production rates (normalized to sea level and 90” N latitude) of 4,160 ± 310 atoms 36Cl (mol K)-1 yr-1 and 3,050 ± 210 atoms 36Cl (mol Ca)-1 yr-1, and a thermal neutron capture rate of (3.07 ± 0.24)*105 neutrons (kg rock)-1 yr-1. Meteor Crater is an excellent subject for cosmogenic nuclide accumulation dating because we can identify and sample one geological unit (the Kaibab Formation) that was virtually completely shielded from cosmic rays by 10 m of Moenkopi Sandstone prior to the impact (RODDY, 1978). Boulders of Kaibab Formation were nearly instantaneously exposed to cosmic radiation when they were ejected from the crater by the impact. The date of the impact can be determined by measuring the amount of cosmogenic 36Cl that has accumulated, provided that the boulder surfaces are not strongly eroded. Erosion rates in the range of millimeters per thousand years will have little effect on cosmogenic 36Cl dates, but loss of slabs of decimeter or greater thickness would reduce the apparent age."[40]
Gamma rays
In gamma-ray astronomy, "when cosmic rays [such as protons] interact with ordinary matter ... pair-production gamma rays at 511 keV" [are produced that are included in] the gamma ray background.[41]
"Nuclear reaction analysis (NRA) is a nuclear method in materials science to obtain concentration vs. depth distributions for certain target chemical elements in a solid thin film."[42]
"If irradiated with select projectile nuclei [or protons] at kinetic energies Ekin these target elements can undergo a nuclear reaction under resonance conditions for a sharply defined resonance energy. The reaction product is usually a nucleus in an excited state which immediately decays, emitting ionizing radiation such as protons or gamma rays."[42]
"To obtain depth information the initial kinetic energy of the projectile nucleus (which has to exceed the resonance energy) and its stopping power (energy loss per distance traveled) in the sample has to be known. To contribute to the nuclear reaction the projectile nuclei have to slow down in the sample to reach the resonance energy. Thus each initial kinetic energy corresponds to a depth in the sample where the reaction occurs (the higher the energy, the deeper the reaction)."[42]
"A commonly used reaction is
with a resonance at 6.385 MeV."[42]
"The energetic emitted γ ray is characteristic of the reaction and the number that are detected at any incident energy is proportional to the concentration at the respective depth of [nitrogen] in the sample. The N concentration profile is then obtained by scanning the proton incident or transmitted beam energy."[42]
"NRA can also be used non-resonantly. For example, deuterium can easily be profiled with a 3He beam [or 3He with a deuterium beam] without changing the incident energy by using the
- 3He + D = α + p+ + 18.353 MeV
reaction. The energy of the fast proton detected depends on the depth of the deuterium [or 3He] atom in the sample."[42]
Reds

"The flare was observed by [the commencement of an enormous bright flare was observed at 03:37 UT on 1991 June 4 (K. Yamaguchi, M. Ire, & M. Miyashita 1991, private communication5; Sakurai et al. 1992) with] a 14 cm aperture Hα monochromatic heliograph of the National Astronomical Observatory [Mitaka, Tokyo 181, Japan]."[43]
Visual photographs of Comet West showing red emission from the comet's tail have been taken in early March 1976 at the Munich Public Observatory shown at right.
"Seven percent of a normal solar mass contains nearly 2 X 1051 iron atoms. The total number of admixed protons is of the order of 4 X 1050. Almost all of these are converted to neutrons by the 12C(p,γ)13N(e+ν)13C and 13C(α,n)16O reactions. Since significant synthesis of heavy elements requires the production of 10-102 neutrons per iron nucleus (Clayton et al. 1961; Seeger, Fowler, and Clayton 1965; Seeger and Fowler 1966), it may be seen that significant s-process production of heavy elements [such as lithium] would occur only if the metal content of the star is less than solar by two orders of magnitude."[44]
"A ratio Rb/Sr ≃ 0.05 [may be derived] for the s-processed material from the He-burning shell ... [involving] the branch in the s-process path at 85Kr [that] may be used to determine the neutron density at the time of s-processing. The derived ratio is consistent with predicted neutron densities for operation of the s-process during the interpulse intervals in low-mass asymptotic giant branch (AGB) stars but clearly inconsistent with much higher neutron densities predicted for the running of the s-process in the He-shell thermal pulses of intermediate mass AGB stars and probably also of low-mass AGB stars."[45]
"The absence of 96Zr sets an upper limit on the neutron density at the s-process site which is higher than and, therefore, consistent with the limit set by the Rb abundances in related stars."[45]
Fissions
In nuclear physics and nuclear chemistry, nuclear fission is either a nuclear reaction or a radioactive decay process in which the nucleus of an particle splits into smaller parts (lighter nuclei). The fission process often produces free neutrons and photons (in the form of gamma rays), and releases a very large amount of energy, even by the energetic standards of radioactive decay.
The two nuclei produced are most often of comparable but slightly different sizes, typically with a mass ratio of products of about 3 to 2, for common fissile isotopes.[46][47] Most fissions are binary fissions (producing two charged fragments), but occasionally (2 to 4 times per 1000 events), three positively charged fragments are produced, in a ternary fission. The smallest of these fragments in ternary processes ranges in size from a proton to an argon nucleus.
Earth
Proton influx has effects on the Earth long before protons impinge on the planet's solid or liquid surface.
The Van Allen radiation belt is split into two distinct belts, with energetic electrons forming the outer belt and a combination of protons and electrons forming the inner belts. In addition, the radiation belts contain lesser amounts of other nuclei, such as alpha particles.
The trapped particle population of the outer belt is varied, containing electrons and various ions. Most of the ions are in the form of energetic protons, but a certain percentage are alpha particles and O+ oxygen ions, similar to those in the ionosphere but much more energetic.
While protons form one radiation belt, trapped electrons present two distinct structures, the inner and outer belt. The inner electron Van Allen Belt extends typically from an altitude of 1.2 to 3 Earth radii (L values of 1 to 3).[48] In certain cases when solar activity is stronger or in geographical areas such as the South Atlantic Anomaly (SAA), the inner boundary may go down to roughly 200 kilometers[49] above the Earth's surface. The inner belt contains high concentrations of electrons in the range of hundreds of keV and energetic protons with energies exceeding 100 MeV, trapped by the strong (relative to the outer belts) magnetic fields in the region.[50]
It is believed that proton energies exceeding 50 MeV in the lower belts at lower altitudes are the result of the beta decay of neutrons created by cosmic ray collisions with nuclei of the upper atmosphere. The source of lower energy protons is believed to be proton diffusion due to changes in the magnetic field during geomagnetic storms.[51]
Due to the slight offset of the belts from Earth's geometric center, the inner Van Allen belt makes its closest approach to the surface at the South Atlantic Anomaly.[52][53]
The proton belts contain protons with kinetic energies ranging from about 100 keV (which can penetrate 0.6 microns of lead) to over 400 MeV (which can penetrate 143 mm of lead).[54]
The PAMELA experiment detected orders of magnitude higher levels of antiprotons than are expected from normal particle decays while passing through the SAA. This suggests the van Allen belts confine a significant flux of antiprotons produced by the interaction of the Earth's upper atmosphere with cosmic rays.[7] The energy of the antiprotons has been measured in the range from 60 - 750 MeV.
When cosmic-ray protons enter the Earth’s atmosphere they collide with molecules, mainly oxygen and nitrogen, to produce a cascade of billions of lighter particles, a so-called air shower.
An air shower is an extensive (many kilometres wide) cascade of ionized particles and electromagnetic radiation produced in the atmosphere when a primary cosmic-ray proton (i.e. one of extraterrestrial origin) enters the atmosphere.
During solar proton events, ionization can reach unusually high levels in the D-region over high and polar latitudes. Such very rare events are known as Polar Cap Absorption (or PCA) events, because the increased ionization significantly enhances the absorption of radio signals passing through the region. In fact, absorption levels can increase by many tens of dB during intense events, which is enough to absorb most (if not all) transpolar HF radio signal transmissions. Such events typically last less than 24 to 48 hours.
Associated with solar flares is a release of high-energy protons. These particles can hit the Earth within 15 minutes to 2 hours of the solar flare. The protons spiral around and down the magnetic field lines of the Earth and penetrate into the atmosphere near the magnetic poles increasing the ionization of the D and E layers. PCA's typically last anywhere from about an hour to several days, with an average of around 24 to 36 hours.
Moon
The Apollo Lunar Surface Experiments Packages (ALSEP) determined that more than 95% of the particles in the solar wind are electrons and protons, in approximately equal numbers.[55][56]
"Because the Solar Wind Spectrometer made continuous measurements, it was possible to measure how the Earth's magnetic field affects arriving solar wind particles. For about two-thirds of each orbit, the Moon is outside of the Earth's magnetic field. At these times, a typical proton density was 10 to 20 per cubic centimeter, with most protons having velocities between 400 and 650 kilometers per second. For about five days of each month, the Moon is inside the Earth's geomagnetic tail, and typically no solar wind particles were detectable. For the remainder of each lunar orbit, the Moon is in a transitional region known as the magnetosheath, where the Earth's magnetic field affects the solar wind but does not completely exclude it. In this region, the particle flux is reduced, with typical proton velocities of 250 to 450 kilometers per second. During the lunar night, the spectrometer was shielded from the solar wind by the Moon and no solar wind particles were measured."[55]
In February 2009, the ESA SARA LENA instrument aboard India's Chandrayaan-1 detected hydrogen ENAs sputtered from the lunar surface by solar wind protons. Predictions had been that all impacting protons would be absorbed by the lunar regolith but for an as yet unknown reason, 20% of them are bounced back as low energy hydrogen ENAs. It is hypothesized that the absorbed protons may produce water and hydroxyls in interactions with the regolith.[57][58]
Mars

Several neutron detectors and spectrometers have been and are currently being used to measure surface properties associated with neutron emission. The Dynamic Albedo of Neutrons (DAN) spectrometer is aboard the Curiosity rover.
"The Dynamic Albedo of Neutrons (DAN) is an active/passive neutron spectrometer that measures the abundance and depth distribution of H- and OH-bearing materials (e.g., adsorbed water, hydrated minerals) in a shallow layer (~1 m) of Mars' subsurface along the path of the MSL rover. In active mode, DAN measures the time decay curve (the "dynamic albedo") of the neutron flux from the subsurface induced by its pulsing 14 MeV neutron source."[59] "The science objectives of the DAN instrument are as follows: 1) Detect and provide a quantitative estimation of the hydrogen in the subsurface throughout the surface mission; 2) Investigate the upper <0.5 m of the subsurface and determine the possible layering structure of hydrogen-bearing materials in the subsurface; 3) Track the variability of hydrogen content in the upper soil layer (~1 m) during the mission by periodic analysis; and 4) Track the variability of neutron radiation background (neutrons with energy < 100 keV) during the mission by periodic analysis."[59]
Both the neutron spectrometer, from Los Alamos National Laboratories in New Mexico, and the High Energy Neutron Detector (HEND), from the the Russian Aviation and Space Agency, are operating aboard the Odyssey spacecraft in orbit around Mars since 2001.
Neutron stars
Neutron stars are an entity of theoretical astrophysics. There does not appear to be any direct way using neutron astronomy to successfully detect neutron stars.
A "new type of neutron star model (Q stars) [is such that] high-density, electrically neutral baryonic matter is a coherent classical solution to an effective field theory of strong forces and is bound in the absence of gravity. [...] allows massive compact objects, [...] and has no macroscopic minimum mass."[18]
"Compact objects in astronomy are usually analyzed in terms of theoretical characteristics of neutron stars or black holes that are based upon calculations of equations of state for matter at very high densities. At such high densities, the effects of strong forces cannot be neglected. There are several conventional approaches to describing nuclear forces, all of which find that for a baryon number greater than ~250, a nucleus will become energetically unbound. High-density hadronic matter is not stable in these theories until there are enough baryons for gravitational binding to form a neutron star, typically with a minimum mass ≳ 0.1 M⊙ and maximum mass ≲ 3 M⊙."[18]
Bonner Ball Neutron Detectors

"Bonner Ball Neutron Detector (BBND) [shown at right with its cap off] measures neutron radiation (low-energy, uncharged particles) which can deeply penetrate the body and damage blood forming organs. Neutron radiation is estimated to be 20 percent of the total radiation on the International Space Station (ISS). This study characterizes the neutron radiation environment to develop safety measures to protect future ISS crews."[60]
Six BBND detectors were distributed around the International Space Station (ISS) to allow data collection at selected points.
"The six BBND detectors provided data indicating how much radiation was absorbed at various times, allowing a model of real-time exposure to be calculated, as opposed to earlier models of passive neutron detectors which were only capable of providing a total amount of radiation received over a span of time. Neutron radiation information obtained from the Bonner Ball Neutron Detector (BBND) can be used to develop safety measures to protect crewmembers during both long-duration missions on the ISS and during interplanetary exploration."[60]
"The Bonner Ball Neutron Detector (BBND) developed by Japan Aerospace and Exploration Agency (JAXA) was used inside the International Space Station (ISS) to measure the neutron energy spectrum. It consisted of several neutron moderators enabling the device to discriminate neutron energies up to 15 MeV (15 mega electron volts). This BBND characterized the neutron radiation on ISS during Expeditions 2 and 3."[60]
The Bonner Ball Neutron Detector "BBND ... determined that galactic cosmic rays were the major cause of secondary neutrons measured inside ISS. The neutron energy spectrum was measured from March 23, 2001 through November 14, 2001 in the U.S. Laboratory Module of the ISS. The time frame enabled neutron measurements to be made during a time of increased solar activity (solar maximum) as well as observe the results of a solar flare on November 4, 2001."[60]
"BBND results show the overall neutron environment at the ISS orbital altitude is influenced by highly energetic galactic cosmic rays, except in the South Atlantic Anomaly (SAA) region where protons trapped in the Earth's magnetic field cause a more severe neutron environment. However, the number of particles measured per second per square cm per MeV obtained by BBND is consistently lower than that of the precursor investigations. The average dose-equivalent rate observed through the investigation was 3.9 micro Sv/hour or about 10 times the rate of radiological exposure to the average US citizen. In general, radiation damage to the human body is indicated by the amount of energy deposited in living tissue, modified by the type of radiation causing the damage; this is measured in units of Sieverts (Sv). The background radiation dose received by an average person in the United States is approximately 3.5 milliSv/year. Conversely, an exposure of 1 Sv can result in radiation poisoning and a dose of five Sv will result in death in 50 percent of exposed individuals. The average dose-equivalent rate observed through the BBND investigation is 3.9 micro Sv/hour, or about ten times the average US surface rate. The highest rate, 96 microSv/hour was observed in the SAA region."[60]
"The November 4, 2001 solar flare and the associated geomagnetic activity caused the most severe radiation environment inside the ISS during the BBND experiment. The increase of neutron dose-equivalent due to those events was evaluated to be 0.19mSv, which is less than 1 percent of the measured neutron dose-equivalent measured over the entire 8-month period."[60]
Neutron spectrometers

The neutron spectrometer on the MESSENGER spacecraft determines the hydrogen mineral composition to a depth of 40 cm by detecting low-energy neutrons that result from the collision of cosmic rays and the minerals.[61][62]
"During large solar flares, the region near Mercury may be strongly illuminated with solar neutrons."[63]
PAMELA

The Payload for Antimatter Matter Exploration and Light-nuclei Astrophysics (PAMELA) is an operational cosmic ray research module attached to the Resurs-DK1 commercial Earth observation satellite. PAMELA is the first satellite-based experiment dedicated to the detection of cosmic rays, with a particular focus on their antimatter component, in the form of positrons and antiprotons. Other objectives include long-term monitoring of the solar modulation of cosmic rays, measurements of energetic particles from the Sun, high-energy particles in Earth's magnetosphere and Jovian electrons.
The instrument is built around a permanent magnet spectrometer with a silicon microstrip tracker that provides rigidity and dE/dx information. At its bottom is a silicon-tungsten imaging calorimeter, a neutron detector and a shower tail scintillator to perform lepton/hadron discrimination. A Time of Flight (ToF), made of three layers of plastic scintillators, is used to measure the beta and charge of the particle. An anticounter system made of scintillators surrounding the apparatus is used to reject false triggers and albedo particles during off-line analysis.[64]
Relativistic Proton Spectrometer

"The Relativistic Proton Spectrometer (RPS) [measures] inner radiation belt protons with energies from 50 MeV-2 GeV. Such protons are known to pose a number of hazards to humans and spacecraft, including total ionizing dose, displacement damage, single event effects, and nuclear activation. The objectives of the investigation are to: (1) support the development of a new AP9/AE9 standard radiation model for spacecraft design; (2) to develop and test the model for RBSP data in general and RPS specifically; and, (3) to provide standardized worst-case specifications for dose rate, internal and deep dielectric chargins, and surface charging."[65]
Solar neutron telescopes

A "new detector to observe solar neutrons [has been in operation] since 1990 October 17 [...] at the Mount Norikura Cosmic Ray Laboratory (CRL) of [the] Institute for cosmic Ray Research, the University of Tokyo."[43]
"The solar neutron telescope [image at right] consists of 10 blocks of scintillator [...] and several lead plates which are used to place kinetic energies Tn of incoming particles into three bands (50-360 MeV, 280-500 MeV, and ≥ 390 MeV)."[43] The telescope is inclined to the direction of the Sun by 15°.[43] The plane area of the detector is 1.0 m2 and protected by lead plates (Pb) to eliminate gamma-ray and muon background from the side of the detector.[43] The anti-coincident counter (A) is used to reject the muons and gamma rays, coming from the side of the detector and the top scintillators.[43] (P) and (G) are used to identify the proton events and gamma rays.[43] The central scintillator blocks are optically separated into 10 units.[43]
"The horizontal scintillator just above the 10 vertical scintillators distinguishes neutral particles (neutrons) from the charged particles (mainly muons, protons and electrons)."[43]
See also
- Hadron radiation astronomy
- Neutron radiation astronomy
- Proton radiation astronomy
References
- ↑ Karen C. Fox (May 31, 2012). Science Nugget: Catching Solar Particles Infiltrating Earth's Atmosphere. Greenbelt, Maryland: NASA Goddard Space Flight Center. Retrieved 2012-08-17.
- ↑ Schaffner-Bielich, Jürgen; et al. (2002), "Phase Transition to Hyperon Matter in Neutron Stars", Physical Review Letters, 89 (17), arXiv:astro-ph/0005490, Bibcode:2002PhRvL..89q1101S, doi:10.1103/PhysRevLett.89.171101, 171101.
- 1 2 3 R.O. Gomes; P. Char; S. Schramm (4 June 2019). "Constraining strangeness in dense matter with GW170817". The Astrophysical Journal 877 (2): 1-13. https://arxiv.org/pdf/1806.04763. Retrieved 11 July 2019.
- 1 2 3 Vivian Poulin; Pierre Salati; Ilias Cholis; Marc Kamionkowski; Joseph Silk (28 January 2019). "Where do the AMS-02 antihelium events come from?". Physical Review D 99 (2-15): 023016. doi:10.1103/PhysRevD.99.023016. https://journals.aps.org/prd/abstract/10.1103/PhysRevD.99.023016. Retrieved 13 July 2019.
- ↑ F. Dimiccoli (7 January 2016). "A multivariate approach to cosmic deuterons and antideuterons analysis with AMS-02". IL NUOVO CIMENTO 39 C: 242. doi:10.1393/ncc/i2016-16242-9. http://inspirehep.net/record/1485883/files/fulltext.pdf. Retrieved 13 July 2019.
- ↑ Jamie7687 (6 August 2005). "antineutron". San Francisco, California: Wikimedia Foundation, Inc. Retrieved 9 July 2019.
- 1 2 3 4 5 6 7 8 9 10 11 12 O. Adriani; G. C. Barbarino; G. A. Bazilevskaya; R. Bellotti; M. Boezio; E. A. Bogomolov; M. Bongi; V. Bonvicini et al. (27 July 2011). "The Discovery of Geomagnetically Trapped Cosmic-ray Antiprotons". The Astrophysical Journal Letters 737 (2): L29. doi:10.1088/2041-8205/737/2/L29. https://iopscience.iop.org/article/10.1088/2041-8205/737/2/L29/meta. Retrieved 13 July 2019.
- 1 2 3 Diego Casadei (9 January 2017). Neutron astronomy. pp. 1-22. https://arxiv.org/pdf/1701.02788.pdf. Retrieved 13 July 2019.
- ↑ M. Ablikim (BESIII Collaboration) (15 February 2019). "Observation of
D+
s and confirmation of its large branching fraction". Physical Review D 99: 031101(R). doi:10.1103/PhysRevD.99.031101. https://link.aps.org/pdf/10.1103/PhysRevD.99.031101. Retrieved 13 July 2019. - ↑ Rob~enwiktionary (10 January 2004). "nucleon". San Francisco, California: Wikimedia Foundation, Inc. Retrieved 12 July 2019.
- ↑ Vahagn Petrosyan (17 July 2009). "nucleon". San Francisco, California: Wikimedia Foundation, Inc. Retrieved 12 July 2019.
- 1 2 3 4 5 6 G. F. Burgio; A. Drago; G. Pagliara; H.-J. Schulze; J.-B. Wei (21 June 2018). "Are Small Radii of Compact Stars Ruled out by GW170817/AT2017gfo?". The Astrophysical Journal 860 (2): 139. doi:10.3847/1538-4357/aac6ee. https://iopscience.iop.org/article/10.3847/1538-4357/aac6ee/meta. Retrieved 12 July 2019.
- ↑ K. Nakamura et al. (Particle Data Group), JP G 37, 075021 (2010) and 2011 partial update for the 2012 edition
- ↑ Particle Data Group Summary Data Table on Baryons
- ↑ G.A. Miller (2007). "Charge Densities of the Neutron and Proton". Physical Review Letters 99 (11): 112001. doi:10.1103/PhysRevLett.99.112001.
- ↑ SemperBlotto (25 August 2005). "neutron". San Francisco, California: Wikimedia Foundation, Inc. Retrieved 9 July 2019.
- 1 2 3 4 Giora Shaviv (2013). Giora Shaviv (ed.). Towards the Bottom of the Nuclear Binding Energy, In: The Synthesis of the Elements. Berlin: Springer-Verlag. pp. 169–94. doi:10.1007/978-3-642-28385-7_5. ISBN 978-3-642-28384-0. Retrieved 2013-12-19.
- 1 2 3 4 5 6 Safi Bahcall; Bryan W. Lynn; Stephen B. Selipsky (October 10, 1990). "New Models for Neutron Stars". The Astrophysical Journal 362 (10): 251-5. doi:10.1086/169261. http://adsabs.harvard.edu/abs/1990ApJ...362..251B. Retrieved 2014-01-11.
- 1 2 3 Fargion D; Khlopov M; Konoplich R; De Sanctis Lucentini PG; De Santis M; Mele B (March 2003). "Ultra High Energy Particle Astronomy, Neutrino Masses and Tau Airshowers". Recent Research and Development in Astrophysics 1 (3): 395-454. http://arxiv.org/pdf/astro-ph/0303233.
- ↑ Lingenfelter RE; Flamm EJ; Canfield EH; Kellman S (September 1965). "High-Energy Solar Neutrons 2. Flux at the Earth". Journal of Geophysical Research 70 (17): 4087–95. doi:10.1029/JZ070i017p04087.
- 1 2 3 David R. Williams (November 2011). Lunar Prospector Neutron Spectrometer (NS). Goddard Space Flight Laboratory: National Aeronautics and Space Administration. Retrieved 2012-01-11.
- ↑ Atoms, Radiation, and Radiation Protection, J.E. Turner, Wiley-VCH, 2007, p. 214.
- ↑
- ↑ Neutron emission lifetime and why (PDF). Retrieved 2012-09-17.
- 1 2 M. Ahmadi; B. X. R. Alves; C. J. Baker; W. Bertsche; A. Capra; C. Carruth; C. L. Cesar; M. Charlton et al. (22 August 2018). "Observation of the 1S–2P Lyman-α transition in antihydrogen". Nature 561: 211-215. doi:10.1038/s41586-018-0435-1. https://www.nature.com/articles/s41586-018-0435-1. Retrieved 13 July 2019.
- ↑ SemperBlotto (7 August 2005). "antiproton". San Francisco, California: Wikimedia Foundation, Inc. Retrieved 9 July 2019.
- ↑ Dallas C. Kennedy (2000). "Cosmic Ray Antiprotons". Proc. SPIE 2806: 113. doi:10.1117/12.253971. https://books.google.com/books?hl=en&lr=&id=8tnDViJoOIYC&oi=fnd&pg=PA438&ots=7WbrnBWJDS&sig=W5AePyLLDvDbnJd43a8wcBRCYe8#v=onepage&f=false.
- 1 2 3 4 5 J.S. Perko (October 1987). "Solar modulation of galactic antiprotons". Astronomy and Astrophysics 184 (1-2): 119-121. http://articles.adsabs.harvard.edu/pdf/1987A%26A...184..119P. Retrieved 13 July 2019.
- ↑ Grayson, Michael A. (2002). Measuring mass: from positive rays to proteins. Philadelphia: Chemical Heritage Press. p. 4. ISBN 0-941901-31-9.
- ↑ Thomson, J. J. (1921). Rays of positive electricity, and their application to chemical analyses (1921). p. 142. Retrieved 2013-04-22.
- ↑ Kenneth Tompkins Bainbridge; Alfred Otto Nier (1950). Relative Isotopic Abundances of the Elements. National Academies. pp. 2–. NAP:16632. Retrieved 21 April 2013.
- ↑ Proton's radius revised downward. ScienceNews. 23 February 2013. Retrieved 22 April 2013.
- ↑ Francis Halzen; Dan Hooper (July 2002). "High-energy neutrino astronomy: the cosmic ray connection". Reports on Progress in Physics 65 (7): 1025-78. doi:10.1088/0034-4885/65/7/201. http://arxiv.org/pdf/astro-ph/0204527. Retrieved 2011-11-24.
- ↑ 209.86.2.10 (27 June 2005). "proton". San Francisco, California: Wikimedia Foundation, Inc. Retrieved 9 July 2019.
- 1 2 3 4 5 6 7 8 9 10 John F. Cooper; Eric R. Christian; John D. Richardson; Chi Wang (2004). Davies J.K.; Barrera L.H. (eds.). Proton irradiation of Centaur, Kuiper Belt, and Oort Cloud objects at plasma to cosmic ray energy, In: The First Decadal Review of the Edgeworth-Kuiper Belt (PDF). 92. Dordrecht: Springer. pp. 261–277. doi:10.1007/978-94-017-3321-2_24. Retrieved 19 June 2019.
- ↑ Francis Halzen; Dan Hooper (July 2002). "High-energy neutrino astronomy: the cosmic ray connection". Reports on Progress in Physics 65 (7): 1025-78. doi:10.1088/0034-4885/65/7/201. http://arxiv.org/pdf/astro-ph/0204527. Retrieved 2011-11-24.
- ↑ K. D. Hoffman (May 12, 2009). "High energy neutrino telescopes". New Journal of Physics 11 (5): 055006. doi:10.1088/1367-2630/11/5/055006. http://arxiv.org/pdf/astro-ph/0204527. Retrieved 2012-03-28.
- ↑ Charles H. Jackman; Richard D. McPeters; Gordon J. Labow; Eric L.Fleming; Cid J. Praderas; James M. Russell (August 2001). "Northern Hemisphere atmospheric effects due to the July 2000 solar proton event". Geophysical Research Letters 28 (15): 2883-6. http://cdaw.gsfc.nasa.gov/meetings/2009_gle/data/Jackman/Jackman_2001.pdf. Retrieved 2011-11-24.
- ↑ National Nuclear Data Center. Retrieved 2010-04-13.
- ↑ Fred M. Phillips; Marek G. Zreda; Stewart S. Smith; David Elmore; Peter W. Kubik; Ronald I. Dorn; David J. Roddy (September 1991). "Age and geomorphic history of Meteor Crater, Arizona, from cosmogenic 36C1 and 14C in rock varnish". Geochimica et Cosmochimica Acta 55 (9): 2695-8. http://www.sciencedirect.com/science/article/pii/001670379190387K. Retrieved 2014-01-23.
- ↑ Sbharris (16 May 2011). "Gamma ray". San Francisco, California: Wikimedia Foundation, Inc. Retrieved 6 July 2019.
- 1 2 3 4 5 6 Dschwen and CJeynes (27 July 2005). "Nuclear reaction analysis". San Francisco, California: Wikimedia Foundation, Inc. Retrieved 6 July 2019.
- 1 2 3 4 5 6 7 8 9 Y. Muraki; K. Murakami; M. Miyazaki; K. Mitsui. S. Shibata; S. Sakakibara; T. Sakai; T. Takahashi; T. Yamada et al. (December 1, 1992). "Observation of solar neutrons associated with the large flare on 1991 June 4". The Astrophysical Journal 400 (2): L75-8. http://adsabs.harvard.edu/full/1992ApJ...400L..75M. Retrieved 2013-12-07.
- ↑ A. G. W. Cameron; W. A. Fowler (February 1971). "Lithium and the s-PROCESS in Red-Giant Stars". The Astrophysical Journal 164 (02): 111-4. doi:10.1086/150821. http://adsabs.harvard.edu/abs/1971ApJ...164..111C. Retrieved 2013-08-01.
- 1 2 David L. Lambert; Verne V. Smith; Maurizio Busso; Roberto Gallino; Oscar Straniero (September 1, 1995). "The Chemical Composition of Red Giants. IV. The Neutron Density at the s-Process Site". The Astrophysical Journal 450 (09): 302-17. doi:10.1086/176141. http://adsabs.harvard.edu/abs/1995ApJ...450..302L. Retrieved 2013-08-01.
- ↑ M. G. Arora; M. Singh (1994). Nuclear Chemistry. Anmol Publications. p. 202. ISBN 81-261-1763-X. Retrieved 2011-04-02.
- ↑ Saha, Gopal (2010). Fundamentals of Nuclear Pharmacy (Sixth ed.). Springer Science+Business Media. p. 11. ISBN 1-4419-5859-2. Retrieved 2011-04-02.
- ↑ N.Y. Ganushkina; I. Dandouras; Y. Y. Shprits; J. Cao (2011). "Locations of boundaries of outer and inner radiation belts as observed by Cluster and Double Star". Journal of Geophysical Research 116 (A09234): 1–18. doi:10.1029/2010JA016376. http://onlinelibrary.wiley.com/doi/10.1029/2010JA016376/abstract.
- ↑ ECSS Space engineering. 15 November 2008.
- ↑ Gusev A.A.; G.I. Pugacheva; U.B. Jayanthi; N. Schuch (2003). "Modeling of Low-altitude Quasi-trapped Proton Fluxes at the Equatorial Inner Magnetosphere". Brazilian Journal of Physics: 775–781. http://www.scielo.br/scielo.php?script=sci_arttext&pid=S0103-97332003000400029.
- ↑ Tascione, Thomas F. (1994). Introduction to the Space Environment, 2nd. Ed. Malabar, Florida USA: Kreiger Publishing CO. ISBN 0-89464-044-5.
- ↑ NASA Goddard Spaceflight Center, |url=http://image.gsfc.nasa.gov/poetry/tour/AAvan.html |title=The Van Allen Belts] (Accessed May 25, 2011)
- ↑ Underwood, C.; Brock, D.; Williams, P.; Kim, S.; Dilão, R.; Ribeiro Santos, P.; Brito, M.; Dyer, C. et al. (1994). "Radiation Environment Measurements with the Cosmic Ray Experiments On-Board the KITSAT-1 and PoSAT-1 Micro-Satellites". IEEE Transactions on Nuclear Sciences 41: 2353–2360. http://ieeexplore.ieee.org/document/340587/.
- ↑ Wilmot N. Hess (1968). The Radiation Belt and Magnetosphere. Blaisdell Pub. Co.
- 1 2 Apollo 11 Mission. Lunar and Planetary Institute. 2009. Retrieved 2009-06-12.
- ↑ Space Travel and Cancer Linked? Stony Brook Researcher Secures NASA Grant to Study Effects of Space Radiation. Brookhaven National Laboratory. 12 December 2007. Retrieved 2009-06-12.
- ↑ Bhardwaj, A.; Barabash, S.; Futaana, Y.; Kazama, Y.; Asamura, K.; McCann, D.; Sridharan, R.; Holmstrom, . et al. (December 2005). "Low energy neutral atom imaging on the Moon with the SARA instrument aboard Chandrayaan-1 mission". J. Earth Syst. Sci. 114 (6): 749–760. doi:10.1007/BF02715960. http://www.ias.ac.in/jessci/dec2005/ilc-21.pdf. Retrieved 2009-11-01.
- ↑ How The Moon Produces Its Own Water. ScienceDaily. 19 October 2009. Retrieved 2009-11-01.
- 1 2 Igor Mitrofanov. Dynamic Albedo of Neutrons (DAN). Jet Propulsion Laboratory, Pasadena, California: NASA. Retrieved 2012-08-17.
- 1 2 3 4 5 6 Tony Choy (July 25, 2012). Bonner Ball Neutron Detector (BBND). Johnson Space Center, Human Research Program, Houston, TX, United States: NASA. Retrieved 2012-08-17.
- ↑ Goldsten, John O.; Edgar A. Rhodes, William V. Boynton, William C. Feldman, David J. Lawrence, Jacob I. Trombka, David M. Smith, Larry G. Evans, Jack White and Norman W. Madden, et al. (November 8, 2007). "The MESSENGER Gamma-Ray and Neutron Spectrometer". Space Science Reviews 131: 339–391. doi:10.1007/s11214-007-9262-7.
- ↑ Gamma-Ray and Neutron Spectrometer (GRNS). NASA / National Space Science Data Center. Retrieved 2011-02-19.
- ↑ C. T. Russell; D. N. Baker; J. A. Slavin (January 1, 1988). Faith Vilas; Clark R. Chapman; Mildred Shapley Matthews (eds.). The Magnetosphere of Mercury, In: Mercury (PDF). Tucson, Arizona, United States of America: University of Arizona Press. pp. 514–61. Bibcode:1988merc.book..514R. ISBN 0816510857. Retrieved 2012-08-23.
- ↑ P.Picozza et al., "Launch of the space experiment PAMELA", http://arxiv.org/abs/0708.1808
- ↑ Edwin V. Bell, II (August 16, 2013). Van Allen Probe A (RBSP-A). Washington, DC USA: National Space Science Data Center, NASA. Retrieved 2014-01-07.
External links
{{Radiation astronomy resources}}