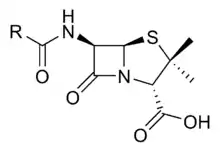
פניצילין
Hebrew

פניצילין
Noun
פניצילין • (transliteration needed)
- penicillin (penicillin)
This Hebrew entry was created from the translations listed at penicillin. It may be less reliable than other entries, and may be missing parts of speech or additional senses. Please also see פניצילין in the Hebrew Wiktionary. This notice will be removed when the entry is checked. (more information) July 2009
This article is issued from Wiktionary. The text is licensed under Creative Commons - Attribution - Sharealike. Additional terms may apply for the media files.