partially ordered set

English

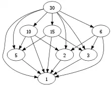
A partially ordered set with the relation "is divisible by"

Noun

partially ordered set (plural partially ordered sets)

  1. (set theory, order theory, loosely) A set that has a given, elsewhere specified partial order.
  2. (set theory, order theory, formally) The ordered pair comprising a set and its partial order.
    • 1959 [D. Van Nostrand], Edward James McShane, Truman Arthur Botts, Real Analysis, 2005, Dover, page 28,
      A partially ordered set means a pair consisting of a set and a partial order in . As usual, when the meaning is clear, we may suppress the notation of "" and speak of the partially ordered set .
      The ordered fields defined earlier are easily seen to be examples of partially ordered sets.
    • 1994, I. V. Evstigneev, P. E. Greenwood, Markov Fields over Countable Partially Ordered Sets: Extrema and Splitting, American Mathematical Society, page 35:
      In sections 7-10 we shall consider random fields over some subsets T of the partially ordered set TM.
    • 2000, David Arnold, Abelian Groups and Representations of Finite Partially Ordered Sets, Springer, page 45:
      The invention of a derivative of a finite partially ordered set by Nazarova and Roiter in the late 1960s or early 1970s was a seminal event in the subject of representations of finite partially ordered sets (see [Simson 92]).

Usage notes

  • The two senses are commonly used interchangeably, there rarely being a need to distinguish between them.
  • The components of the ordered pair may be referred to separately as the ground set and partial order.

Synonyms

Hypernyms

Hyponyms

Translations

See also

Further reading

This article is issued from Wiktionary. The text is licensed under Creative Commons - Attribution - Sharealike. Additional terms may apply for the media files.