Diclofensine
Clinical data
ATC code
  • None
Legal status
Legal status
  • In general: legal
Identifiers
  • 4-(3,4-dichlorophenyl)-7-methoxy-2-methyl-1,2,3,4-tetrahydroisoquinoline
CAS Number
PubChem CID
ChemSpider
UNII
ChEMBL
Chemical and physical data
FormulaC17H17Cl2NO
Molar mass322.23 g·mol−1
3D model (JSmol)
  • CN1CC(C2=C(C1)C=C(C=C2)OC)C3=CC(=C(C=C3)Cl)Cl
  • InChI=1S/C17H17Cl2NO/c1-20-9-12-7-13(21-2)4-5-14(12)15(10-20)11-3-6-16(18)17(19)8-11/h3-8,15H,9-10H2,1-2H3 ☒N
  • Key:ZJDCGVDEEHWEIG-UHFFFAOYSA-N ☒N
 ☒NcheckY (what is this?)  (verify)

Diclofensine (Ro 8-4650) was developed by Hoffmann-La Roche in the 1970s[1] in the search for a new antidepressant. It was found that the (S)-isomer was responsible for activity.[2] Diclofensine is a stimulant drug which acts as a triple monoamine reuptake inhibitor,[3][4] primarily inhibiting the reuptake of dopamine[5] and norepinephrine,[6] with affinities (Ki) of 16.8 nM, 15.7 nM, and 51 nM for DAT, NET, and SERT (dopamine, norepinephrine and serotonin transporters), respectively.[7] It was found to be an effective antidepressant in human trials,[8][9][10] with relatively few side effects,[11] but was ultimately dropped from clinical development, possibly due to concerns about its abuse potential.[12][13]

Diclofensine is chemically a tetrahydroisoquinoline (THIQ) derivative, as is nomifensine.

Synthesis

Patents:[14][15] Also:[16]

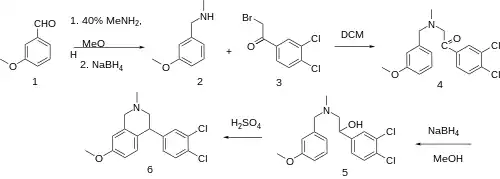
The condensation of m-anisaldehyde [591-31-1] (1) with methylamine gives N-methyl-3-methoxybenzenemethanimine [16928-30-6]. Reduction of this Schiff-base intermediate with sodium borohydride gives (3-methoxybenzyl)methylamine [41789-95-1] (2). Alkylation of this with 3,4-dichlorophenacylbromide [2632-10-2] (3) would give CID:59580342 (4). Reduction of the benzoyl ketone with sodium borohydride gives the alcohol [802051-24-7] (5). Acid catalyzed intramolecular cyclization then completes the synthesis of the 4-aryl-THIQ derivative, diclofensine (6).

See also

References

  1. US Patent 3947456 A, Alfred Rheiner, "Substituted 4-Phenyl Isoquinolines", published 1976-03-30, assigned to Hoffman-La Roche Inc.
  2. Crossley R (1995). Chirality and the Biological Activity of Drugs. 2000 Corporate Blvd., N.W., Boca Raton, Florida 33431: CRC Press, Inc. p. 138. ISBN 978-0-8493-9140-8.{{cite book}}: CS1 maint: location (link)
  3. Keller HH, Schaffner R, Carruba MO, Burkard WP, Pieri M, Bonetti EP, et al. (1982). "Diclofensine (Ro 8-4650)--a potent inhibitor of monoamine uptake: biochemical and behavioural effects in comparison with nomifensine". Advances in Biochemical Psychopharmacology. 31: 249–63. PMID 6979165.
  4. Omer LM (July 1982). "Pilot trials with diclofensine, a new psychoactive drug in depressed patients". International Journal of Clinical Pharmacology, Therapy, and Toxicology. 20 (7): 320–6. PMID 7107085.
  5. Di Renzo G, Amoroso S, Taglialatela M, Canzoniero LM, Maida P, Lombardi G, Annunziato L (1988). "Pure uptake blockers of dopamine can reduce prolactin secretion: studies with diclofensine". Life Sciences. 42 (21): 2161–9. doi:10.1016/0024-3205(88)90131-2. PMID 2968488.
  6. Gasić S, Korn A, Eichler HG (May 1986). "Effect of diclofensine, a novel antidepressant, on peripheral adrenergic function". Clinical Pharmacology and Therapeutics. 39 (5): 582–5. doi:10.1038/clpt.1986.100. PMID 3698467. S2CID 34977195.
  7. Andersen PH (August 1989). "The dopamine inhibitor GBR 12909: selectivity and molecular mechanism of action". European Journal of Pharmacology. 166 (3): 493–504. doi:10.1016/0014-2999(89)90363-4. PMID 2530094.
  8. Cherpillod C, Omer LM (1981). "A controlled trial with diclofensine, a new psychoactive drug, in the treatment of depression". The Journal of International Medical Research. 9 (5): 324–9. doi:10.1177/030006058100900505. PMID 7028532. S2CID 41618656.
  9. Omer OL, Díaz-Olivera M, Ismail S (March 1984). "Therapeutic efficacy and tolerance of diclofensine in psychoreactive depression--a double-blind comparison with placebo". Methods and Findings in Experimental and Clinical Pharmacology. 6 (3): 147–51. PMID 6379345.
  10. Funke HJ, Holtmann W, Ismail S, Jansen W, Leonhardt KF, Muth H, et al. (May 1986). "Double-blind comparison of diclofensine with nomifensine in outpatients with dysphoric mood". Pharmacopsychiatry. 19 (3): 120–3. doi:10.1055/s-2007-1017168. PMID 3725890. S2CID 36360683.
  11. Culig J, Ehsanullah RS, Hallett C, Iliopoulou A, Matheson I, Turner P (May 1983). "A clinical pharmacological comparison of diclofensine (Ro 8-4650) with nomifensine and amitriptyline in normal human volunteers". British Journal of Clinical Pharmacology. 15 (5): 537–43. doi:10.1111/j.1365-2125.1983.tb02087.x. PMC 1427714. PMID 6860528.
  12. Lamb RJ, Griffiths RR (1990). "Self-administration in baboons and the discriminative stimulus effects in rats of bupropion, nomifensine, diclofensine and imipramine". Psychopharmacology. 102 (2): 183–90. doi:10.1007/bf02245920. PMID 2125734. S2CID 25043692.
  13. Nakachi N, Kiuchi Y, Inagaki M, Inazu M, Yamazaki Y, Oguchi K (August 1995). "Effects of various dopamine uptake inhibitors on striatal extracellular dopamine levels and behaviours in rats". European Journal of Pharmacology. 281 (2): 195–203. doi:10.1016/0014-2999(95)00246-h. PMID 7589207.
  14. Rheiner Alfred Jr Dr, CH 538477 (1973 to Hoffmann La Roche).
  15. Alfred Rheiner, U.S. Patent 3,947,456 (1976 to Hoffman-La Roche Inc.).
  16. Shuang Liu, Bruce F. Molino, Kassoum Nacro, WO 2010132442 (2010 to Albany Molecular Reserch, Inc.). Page column 32.
This article is issued from Wikipedia. The text is licensed under Creative Commons - Attribution - Sharealike. Additional terms may apply for the media files.