Íon ônio
Íons ônio são íons carregados positivamente de alta valência (coordenação elevada) de elementos não metálicos.
Eles podem ser obtidos por protonação, alquilação, etc. a partir precursores de ionização de valência mais baixa. Muitos íons ônio são isoláveis como sais estáveis e alguns são conhecidos como intermediários de reações eletrofílicas. [4]
O termo íon ônio compreende as seguintes definições:[1][2]
- Um cátion (com seu contraíon) derivado por adição de um próton a um hidreto mononuclear relacionado do nitrogênio, por exemplo, o íon amônio H4N+, e relacionados ao grupo 17 (família dos halogênios).
- Derivados formados por substituição dos íons acima por grupos univalentes, notadamente do grupo 15 (família do nitrogênio) e grupo 16 (família do oxigênio) como por exemplo dimetilsulfônio (CH3)2S+, tetrametilamônio (CH3CH2)4N+.
- Derivados formados por substituição dos íons acima por grupos acima tendo duas ou três valências livres sobre o mesmo átomo. Tais derivados são, sempre que possível, designados por um nome específico de classe. Por exemplo íon imínio R2C=NH2+ e nitrílio RC≡NH+.[2]
Compostos de ônions simples
Na definição (1.), também se incluem:[2]
- H3O+ oxônio
- H2F+ fluorônio
- H4P+ fosfônio
- H3S+ sulfônio
- H2Cl+ clorônio
- H4As+ arsônio
- H3Se+ selenônio
- H2Br+ bromônio
- H4Sb+ estibônio
- H3Te+ telurônio
- H2I+ iodônio
- H4Bi+ bismutônio






Um íon como (CH3) 3S +, por exemplo, chama-se o íon de tri-metil-sulfônio. Metanol protonado, CH3-OH2 +, íon é metil oxônio. O íon oxônio não substituído, H3O +, tem o nome especial de íon hidrônio.
(sobre)
A reatividade geral de sais de iodôneos esta resumida a sais de vinilo e reações de ciclo-hexenilo, 1-alquenilo, estirilo, vinilo e de iônio 2,2- dissubstituído discutidos em relação à possível formação de intermediários de cátions de vinilo. O cátion primário de vinila não pode ser gerado termodinamicamente, mais rearranjo por participação de grupo vizinho (ajuda anquimérica) ocorre frequentemente [5].
Sais de iodôneos são vinilo reativos 1, devido iodo positivo ser um bom grupo de saída e a estabilidade é inversamente dependente da estabilidade 2 carbocátion formado na saída do grupo de iodônio.[5]

Compostos de cloreto de iodônio primários (1, R3 = H) são facilmente preparados na forma de sais estáveis, mas análogos alquilados (1, R3 = alquilo) não podem ser isolados, sem a presença de grupos retiradores de elétrons. O sal ciclo pent-1-enil iodôneo é muito estável e pouco reativo a bases e nucleófilos, enquanto que o ciclo-hept-1-enilo iodônio só pode ser isolado a baixa temperatura e tem um tempo de vida curto. [5]
O sal ciclohex-1-enil iodônio pode ser facilmente isolado e é moderadamente reativo à temperatura ambiente. A estabilidade relativa do cicloalcenilo iodônio é atribuída à estirpe do carbono no ângulo positivo dos cátions de vinilo cíclicos: o cátion vinilo é linear e possui hibridização sp (l). [5]
O íon metônio (CH5+) é a mãe de todas as espécies de ions carbônio e tem despertado grande interesse, não só devido à sua importância para a química de hidrocarbonetos, mas também por causa de sua importância na astroquimica e química de combustão. Ele tem um esquema de ligação incomum envolvendo um centro de 3 núcleos e 2 elétrons (3c2e). Sua natureza estável estimulou o debate ativo sobre a natureza da estrutura química para esta molécula.
Estudos detalhados sobre a estrutura química de CH5 + poderia ajudar a expandir a nossa compreensão dos modelos atuais para ligação química e estrutura de íons de carbono. Íon Metônio é acreditado para ter uma estrutura com simetria CSI como mínimo na superfície de energia potencial, que interconverte em isômeros CSI equivalentes após rearranjos intra-moleculares ligação-a-ligação. Este rearranjo ocorre através de estados de transição com simetria C2V, conforme mostrado na seguinte Figura.


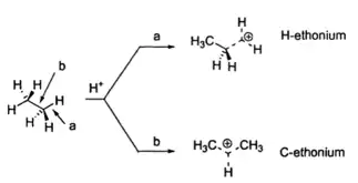
C2H7+ é o homólogo superior seguinte na série de íons carbônio alquilo em que um átomo de hidrogênio em CH 5 + é substituído por um grupo metila. Dependendo do átomo de hidrogênio a ser substituído por um grupo metila, dois isômeros podem ser formados: (a) o íon H-etônio, onde um átomo de hidrogênio a partir do CH3 porção (tripé) de CH5+ é substituído, e (b) o C-etônio, onde um dos hidrogênios envolvidos no vínculo 3c2e em CH5+ é substituído. A continuação mostra as formas Η- e C- do íon etônio (C2H7+).[5]
Íons Propônio
Íons Propônio podem ser formados através de protonação de propano, quando ocorrem ataques CH3+ C2H6 ou C2H5+ ao CH4.
O resultado poderia ser a protonação no CH primário ou secundário, obtendo-se, respectivamente, ion de 1-H propônio, íon de 2-H-propônio, ou o íon de C-propônio. Este último também pode ser formado quando C2H5+ ataca a ligação CH de metano. O propano é uma molécula interessante de estudar, uma vez que é menor o alcano contendo todos os tipos representativos de ligações presentes em um alcano linear. Portanto, é o protótipo mais simples de alcanos de cadeia linear.[5]
Íons Butonônio (C4H11+)
Os íons w-C4Hn + e / - C4Hn + fornecem bons modelos para a comparação entre os vários tipos de ligação 2e-3c envolvidos em íons alcanônio, uma vez que contêm a maior parte da característica de centros 2e-3c de interesse na ativação alcano, árido seus isômeros estruturais permitir a comparação direta de energia entre os diferentes íons C4Hn+. Em particular, o isobutano, é uma molécula de interessante estudo, uma vez que é menor o contendo alcano todos os tipos representativos de ligações em um alcano ramificado, sendo o mais simples protótipo destes compostos.
Formação de íon bromônio (ou β-bromo íons carbênios) e o seu papel na bromação de alcenos eletrofílicos é um problema amplamente investigado em livros de química orgânica.
A capacidade do solvente para influenciar a velocidade de formação e o desenvolvimento subsequente de íon bromônio ou ion de bromo e o ion carbónio β- intermediários chave formados por adição de bromo para alcenos são discutidos com base em estudos e investigações cinéticas teóricos e estereoquímica .
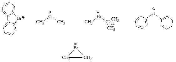
Íons halônio. Abaixo são exemplos de alguns íons halônio conhecidos. As suas estabilidades relativas dependem das suas estruturas. Aqueles que possuem grupos alquilam tendem a ser menos estáveis do porque eles são susceptíveis de substituição nucleofílica por SN1 SN2 ou mecanismos. Por exemplo, um composto semelhante,

brometo dimetil bromônio, abaixo, que reage rapidamente por um mecanismo do tipo SN2 em que íon brometo é o nucleófilo e o brometo de metilo é o grupo de saída. O brometo de metilo é realmente um grupo de saída muito bom porque o bromo positivo torna-se neutro[5].

Íon halônio
Se o íon halônio é cíclico, a substituição conduz a uma estrutura de cadeia aberta. Há provas convincentes de que os íons de halônio cíclicos são intermediários na halogenação de alcenos.

Compostos aromáticos não reagem por reações SN1 ou SN2, assim íons halônio deste tipo são bastante estáveis [5].
Todos os íons halônio requerem um contra íon negativo. Este pode ser um íon halogeneto no caso de íons halônio aromáticos, mas íons halônios alifáticos requerem um contra-íon não nucleofílico. Íons não nucleofílicos, tais como muito estável SbF5Cl- são frequentemente utilizados.[4]
Os seguintes íons usam um esquema de nomenclatura similar, mas não são estritamente enquadrados na definição acima.
- São híbridos protonados de elementos da família do carbono (grupo 14):
- metônio, CH5+ (metano protonado) (Abundante no espaço exterior.)
- silônio, SiH5+ (silano protonado) (Não deve ser chamado de silicônio.www.chem.qmul.ac.uk)
- São híbridos protonados de elementos da família do boro (grupo 13):
- cátions borônio, BH3+, BH4+, BH5+, BH6+ (hidretos de boro protonados)
- É hidrogênio diatômico protonado:
- hidrogenônio, H3+ (hidrogênio protonado]]). Também conhecido como cátion trihidrogênio ou hidrogênio protonado molecular. (Também abundante no espaço exterior.)
Ver também
- Íon ênio
- Íon carbênio
- Íon carbônio
Referências
- Definition of onium ion em www.chemicool.com
- «IUPAC Compendium of Chemical Terminology 2nd Edition (1997)» (PDF). Consultado em 12 de janeiro de 2008. Arquivado do original (PDF) em 4 de dezembro de 2008
3. Olah, Laail, Wang and Prakash, Onium Ions, Wiley & Sons, New York, 1998
4. Across Conventional Lines Downloaded from www.worldscientific.com by 177.192.76.141
5. Recent Developments in Carbocation and Onium Ion Chemistry EDITED BY Kenneth K. Laali