Acrilonitrila butadieno estireno
Acrilonitrila butadieno estireno (português brasileiro) ou acrilonitrilo butadieno estireno (português europeu), frequentemente abreviado ABS (do inglês acrylonitrile butadiene styrene) é um copolímero composto pela combinação de acrilonitrila, butadieno e estireno. A sua fórmula química é (C8H8·C4H6·C3H3N)n, e a proporção exata de cada componente na composição do copolímero depende da utilização final do produto para que este se destina. O resultado físico deste copolímero é um material termoplástico rígido e leve, com alguma flexibilidade e resistência na absorção de impacto, muito comum na fabricação de produtos moldados para usos diversos. Esta resina sintética termoplástica pode assumir quaisquer formas e cores, por moldagem térmica a altas temperaturas e adição de pigmentos. A coloração do ABS possibilita a reprodução de cores muito vívidas e saturadas, e varia, nas suas propriedades de reflexão e refracção da luz, de um transparente muito claro e límpido a um opaco completamente estanque. Este plástico é também muito usado pelo acabamento de alto brilho que permite, conjuntamente com todas as suas outras propriedades. Outra vantagem do ABS é a excelente relação de preço qualidade, o que o torna um produto desejável: econômico e eficaz.[3][4][5]
| Acrilonitrila butadieno estireno Alerta sobre risco à saúde | |
|---|---|
![]() | |
| Identificadores | |
| Número CAS | |
| Propriedades | |
| Fórmula molecular | (C8H8·C4H6·C3H3N)n |
| Ponto de fusão |
105 °C[1] |
| Solubilidade em água | insolúvel[2] |
| Solubilidade | insolúvel em etanol e óleos minerais[2] solúvel em acetona, butanona e diclorometano[2] |
| Compostos relacionados | |
| Compostos relacionados | Acrilonitrila, Butadieno e Estireno (monômeros) |
| Página de dados suplementares | |
| Estrutura e propriedades | n, εr, etc. |
| Dados termodinâmicos | Phase behaviour Solid, liquid, gas |
| Dados espectrais | UV, IV, RMN, EM |
| Exceto onde denotado, os dados referem-se a materiais sob condições normais de temperatura e pressão Referências e avisos gerais sobre esta caixa. Alerta sobre risco à saúde. | |

Histórico
Desenvolvido em 1948 nos Estados Unidos com a intenção de ser um polímero extremamente resistente,[6] ou seja, com alta capacidade de não sofrer alterações estruturais apesar de grande estresse mecânico.[7] Nos anos 1960 os plásticos passaram a ser amplamente utilizados em diversos processos substituindo materiais que até então eram considerados indispensáveis como vidro, madeira, algodão, celulose e até metais.[8] Com a fabricação em larga escala, diversas formas de plásticos passaram a ser usadas no cotidiano das famílias do mundo inteiro, como garrafas PET, recipientes de plásticos, descartáveis e posteriormente eletroeletrônicos, onde o ABS é um dos principais plásticos a serem utilizados.[9] Na atualidade vive-se em um mundo no qual grande parte de tudo que se utiliza é plastico, em que a produção desses componentes é desenfreada e seu descarte altamente irresponsável,[10] o que gerou numa dependência de um composto derivado de fontes não renováveis.[11]
Síntese
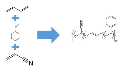
O ABS é um copolímero derivado da síntese de três monômeros: acrilonitrila, butadieno e estireno.[12] A acrilonitrila é um monômero sintético produzido a partir da amoxidação catalítica do hidrocarboneto propileno e amoníaco;[13] o butadieno é um alceno que se obtém a partir da desidrogenação do butano,[14] um dos processos de obtenção economicamente viáveis; e o estireno produz-se a partir da desidrogenação do etilbenzeno, um hidrocarboneto aromático obtido na reação do etileno com o benzeno.[15]
.jpg.webp)
O copolímero do ABS é obtido através da polimerização da acrilonitrila e do estireno na presença do polibutadieno. As proporções desta composição podem variar de 15% a 35% de acrilonitrila e 40% a 60% de estireno, com 5% a 30% de butadieno.[16] O resultado é uma longa cadeia de polibutadieno interligada por cadeias curtas de acrilonitrila com estireno, poli(estireno-co-acrinolitrila).[17] Os grupos de nitrilas das cadeias vizinhas, por serem polares, atraem-se uns aos outros ligando as cadeias, fazendo assim com que o ABS seja mais resistente que o poliestireno puro, vulgarmente conhecido por esferovite. O estireno confere-lhe uma superfície brilhante e impenetrável, e o butadieno, que é uma substância borrachosa, dá-lhe uma flexibilidade que se estende às temperaturas baixas.
As resinas ABS podem ser encontradas em tipos adequados para moldagens por injeção, extrusão, por sopro, expansível e para conformações a quente. Alguns tipos de ABS são compostos com outros tipos de resinas tendo a finalidade de atingir propriedades especiais. O ABS é característico pela facilidade na sua moldagem. Outras resinas ABS são empregadas para alterar a rigidez do PVC para sua utilização em tubos, chapas e peças moldadas.
Custo de produção
A produção de 1 kg de ABS requer o equivalente a cerca de 2 kg de petróleo como matéria-prima. Ainda na consideração de custo de produção deve ser levado em consideração a energia gasta na produção do plástico, entre outros custos fixos o que ainda assim, configura o copolímero ABS em um plastico de baixo custo e com bom relação custo-beneficio quando considerada sua durabilidade e resistência mecânica.[18]
Propriedades
De um modo geral, os termoplásticos apresentam elevada resistência ao impacto, mais fácil processamento e maior capacidade de adaptação a projetos de natureza complexa do que os termofixos. O ABS, embora muito tenaz, duro e rígido, possui resistência química aceitável, essa que pode ser aumentada dependendo da quantidade de acrilonitrila presente na sua composição, baixo índice de absorção de água e, portanto, bastante estabilidade dimensional.[19] Além disso, apresenta ainda alta resistência à abrasão. E algumas das suas composições são facilmente submetidas à galvanoplastia. Fisicamente, é um material leve, fácil de moldar mas ainda assim resistente, oferecendo um bom equilíbrio entre resistência à tração, ao impacto e à abrasão, dureza superficial, rigidez, resistência ao calor, resistência química e características eléctricas e mantém as suas propriedades em baixas temperaturas.[20] Este material cede plasticamente quando submetido a grandes esforços, de modo que o problema do seu alongamento raramente adquire importância significativa nos projetos em que este é usado. Normalmente a peça pode ser curvada além do seu limite de elasticidade sem que chegue romper-se, embora enfraqueça por fadiga.

As propriedades mecânicas mais importantes do ABS são a resistência e a dureza. A grande vantagem do ABS é o facto de se tratar de um material que combina a força e rigidez dos polímeros na elevada massa molecular da acrilonitrila e do estireno, com a resistência da borracha de polibutadieno. As propriedades deste material são criadas pelo enrijecimento da borracha, em que partículas finas de elastómero são distribuídas ao longo da matriz rígida.[16] Na maioria das aplicações o ABS pode ser usado entre -25°C e 80 °C[21] sendo que as suas propriedades mecânicas variam com a temperatura. Podem fazer-se uma variedade de modificações para melhorar a resistência ao impacto, a dureza e a resistência ao calor. A resistência ao impacto cresce aumentando as proporções do polibutadieno em relação à acrilonitrila e ao estireno, dando-lhe uma maior flexibilidade, todavia, isto causa modificações noutras propriedades como é o caso da sua dureza. Mas a resistência ao impacto não desce rapidamente em baixas temperaturas e a estabilidade sobre carga é excelente com cargas limitadas.
No entanto, há modificações que não implicam variação nas proporções dos monômeros deste copolímero termoplástico. As propriedades finais do ABS também vão depender, até certo ponto, das condições nas quais o material é processado para se formar o produto final. Como, por exemplo, a moldagem a altas temperaturas, que aumenta o acabamento brilhante e a resistência à temperatura, enquanto que a maior dureza e resistência ao impacto são obtidas na moldagem a baixas temperaturas. Embora os plásticos fortes de ABS sejam largamente usados para propósitos mecânicos, eles também apresentam boas propriedades eléctricas com uma constância aceitável sobre um largo espectro de frequências.[21] Estas propriedades são muito pouco afetadas pela temperatura e pela umidade atmosférica numa aceitável gama operacional de temperaturas.[22]
Os polímeros de ABS são resistentes a alcalinos, ácidos aquosos, ácidos hidro clorídrico e fosfórico concentrados, álcoois e óleos animais, vegetais e minerais, mas são inchados por ácido acético glacial, que é o componente ácido do vinagre, tetracloreto de carbono e hidrocarbonetos aromáticos; são atacados pelos ácidos sulfúrico e nítrico concentrados; e são ainda solúveis em ésteres, cetonas, de que a acetona é um exemplo, e organoclorado de etileno.[21] As características de envelhecimento dos polímeros são provocadas pela quantidade de polibutadieno e, por isto, é normal incluírem-se antioxidantes na sua composição. O ABS é inflamável quando exposto a altas temperaturas, como as da combustão de madeiras numa fogueira; começa por atingir a fervura e depois rebenta em intensas e espetaculares chamas quentes. As características de impacto das resinas ABS são excepcionais à temperatura ambiente, e em determinados tipos de resinas chegam a resistir às temperaturas baixas de -40 °C.
Aplicações
O copolímero ABS é utilizado em diversos produtos na indústria, comércio e nas residência, já que suas propriedades físicas químicas e mecânicas podem ser manipuladas em sua síntese (vide síntese) e por seu baixo custo, algumas de suas aplicações são expostas na tabela abaixo:
| Indústria | Aplicações | |
|---|---|---|
| Indústria de plástico | Filamentos para impressoras 3D, lâminas, bases de duche, coberturas para tratores, produção de tubulações, injeção de moldes e caixas de cosméticos. | |
| Indústria de lazer e entretenimento | Tacos de golfe, malas de viagem, produção de peças de Lego e na confecção de flautas doces e clarinetes. | |
| Indústria automobilística | Painéis interiores, pilares, assentos, grelhas, painéis de instrumentos, carcaças para espelhos | |
| Indústria Elétrica e Tecnológica | Na produção de estruturas de rato ou a impressora do computador, telefones, máquinas calculadoras, ventoinhas eléctricas, invólucro e moldura frontal de aparelhos de televisão, máquinas de jogos, partes de aspiradores, aparelhos de ar condicionado, interiores de frigorificos, painéis de controle da linha branca, invólucros de eletrodomésticos e outros dispositivos elétricos. | |
| Indústria Madeireira | Construção de móveis, orlas para mobiliário, juntas de acabamento em móveis e ligação de painéis. | |
| Segurança | Réplicas de armas do airsoft e capacetes de segurança. | |
| Dados:[23][24][25][25][3][5][26][27][21][19][28] | ||
Referências
- Plastic Properties of Acrylonitrile Butadiene Styrene (dynalabcorp)
- MSDS ABS (unicgroup)
- MatWeb ABS transparente e lista de aplicações. (em Inglês)
- Ebbtide Polymers Arquivado em 14 de junho de 2010, no Wayback Machine. ABS transparente. (em Inglês)
- Samsung Chemical USA Arquivado em 19 de setembro de 2009, no Wayback Machine. ABS transparente e lista de aplicações. (em Inglês)
- «Polímero ABS - Apresentação sobre o copolímero ABS muito utilizado na indústria». www.ebah.com.br. Consultado em 9 de julho de 2019
- «Introdução a resistência dos materiais» (PDF). Universidade Federal do Paraná. 2014. Consultado em 9 de julho de 2019
- «Historia do Plastico». Consultado em 30 de maio de 2019
- Espinosa, Denise Crocce Romano; Tenório, Jorge Alberto Soares; Chaves, Arthur Pinto; Utimura, Solange Kazue; Espinosa, Denise Crocce Romano; Tenório, Jorge Alberto Soares; Chaves, Arthur Pinto; Utimura, Solange Kazue (2019). «Selecting chemicals for separation of ABS and HIPS in WEEE by froth flotation». Polímeros (em inglês). 29 (2). ISSN 0104-1428. doi:10.1590/0104-1428.05718
- Fernandacotezredivo (3 de julho de 2018). «A Era Plástica: o desastre natural causado pelo consumo desenfreado de plástico». Consultado em 9 de julho de 2019
- «Como era, como ficou, como será - Do petróleo ao plástico». Edukatu. Consultado em 9 de julho de 2019
- Araújo, Edcleide M.; Hage Jr., Elias; Carvalho, Antônio J. F. (julho de 2003). «Compatibilização de blendas de poliamida 6/ABS usando os copolímeros acrílicos reativos MMA-GMA e MMA-MA. Parte 1: Comportamento reológico e propriedades mecânicas das blendas». Polímeros. 13 (3): 205–211. ISSN 0104-1428. doi:10.1590/s0104-14282003000300011
- «IGTPAN». www.igtpan.com. Consultado em 9 de julho de 2019
- Rocha, Tereza C. J.; Soares, Bluma G.; Coutinho, Fernanda M. B. (dezembro de 2007). «Principais copolímeros elastoméricos à base de butadieno utilizados na indústria automobilística». Polímeros. 17 (4): 299–307. ISSN 0104-1428. doi:10.1590/s0104-14282007000400009
- «SÍNTESE DO ESTIRENO A PARTIR DO BENZENO». prezi.com. Consultado em 9 de julho de 2019
- Sales, Jorge Nascimento de. «Estudo do efeito da incorporação das argilas branca de Cubati e Cloisite Na® nas propriedades do termoplástico acrilonitrila butadieno estireno submetido à radiação ionizante»
- SBQ Arquivado em 3 de março de 2016, no Wayback Machine. Membranas de poli(estireno-co-acrilonitrila) sulfonado: análise térmica
- Bassani, Adriane; Pessan, Luiz A.; Hage Júnior, Elias (2002). «Propriedades Mecânicas de Blendas de Nylon-6/Acrilonitrila-EPDM-Estireno (AES) Compatibilizadas com Copolímero Acrílico Reativo (MMA-MA)». Polímeros. 12 (2): 102–108. ISSN 0104-1428. doi:10.1590/s0104-14282002000200009
- Sales, Jorge Nascimento de. «Estudo do efeito da incorporação das argilas branca de Cubati e Cloisite Na® nas propriedades do termoplástico acrilonitrila butadieno estireno submetido à radiação ionizante»
- «1». webcache.googleusercontent.com. Consultado em 9 de julho de 2019
- CANEVAROLO JR, Sebastião (2002). Ciência dos polímeros. São Paulo: Artliber. 275 páginas
- Harper C.A., Handbook of plastic and elastomers, McGraw-Hill, New York, 1975. pp. 1-3,1-62, 2-42, 3-1. (em Inglês)
- Arquivado em 29 de abril de 2009, no Wayback Machine. Yamaha Corporation of America
- http://designinsite.dk/htmsider/k0001.htm Design inSite
- Safetarget Capacetes de segurança.
- Diário de Notícias[ligação inativa] Jogo de guerra utiliza réplicas de armas de elite.
- http://www.freepatentsonline.com/4374944.html
- «ABS | Tipos de polímeros - Resinex». www.resinex.pt. Consultado em 9 de julho de 2019
Ver também
Ligações externas
- TextosCientíficos, ABS. (em Castelhano)
- Parma Plast, descrição do ABS. (em Inglês)
- Machinist-Materials, tabela de comparação de plásticos. (em Inglês)
