Gliceraldeído-3-fosfato
O gliceraldeído-3-fosfato, também conhecido como triose fosfato,3-fosfogliceraldeído,aldeído fosfoglicérico ou 3-fosfato de gliceraldeído, e abreviado como G3P, GADP, GAP ou PGAL, é um composto químico que ocorre como um intermediário em diversos vias metabólicas centrais de todos organismos.
| Gliceraldeído-3-fosfato Alerta sobre risco à saúde | |
|---|---|
![]() | |
![]() | |
| Nome IUPAC | ácido (2-hidroxi-3-oxo-propoxi)fosfórico |
| Identificadores | |
| Número CAS | |
| PubChem | |
| MeSH | |
| SMILES |
|
| Propriedades | |
| Fórmula molecular | C3H7O6P |
| Massa molar | 170,058 |
| Página de dados suplementares | |
| Estrutura e propriedades | n, εr, etc. |
| Dados termodinâmicos | Phase behaviour Solid, liquid, gas |
| Dados espectrais | UV, IV, RMN, EM |
| Exceto onde denotado, os dados referem-se a materiais sob condições normais de temperatura e pressão Referências e avisos gerais sobre esta caixa. Alerta sobre risco à saúde. | |

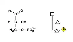
Estrutura do gliceraldeído 3-fosfato mostrada utilizando projeção de Fischer, à esquerda, e modelo poligonal [1], à direita.
Referências
- Bonafe, C. F. S.; Bispo, J. A. C.; de Jesus, M. B. (2018). The Polygonal Model: A Simple Representation of Biomolecules as a Tool for Teaching Metabolism. Biochemistry and Molecular Biology Education. 46: 66-75. DOI - 10.1002/bmb.21093.
This article is issued from Wikipedia. The text is licensed under Creative Commons - Attribution - Sharealike. Additional terms may apply for the media files.

