Modelo oculto de Markov
Um modelo oculto de Markov (ou modelo escondido de Markov) é um modelo estatístico em que o sistema modelado é assumido como um processo de Markov com parâmetros desconhecidos, e o desafio é determinar os parâmetros ocultos a partir dos parâmetros observáveis. Os parâmetros extraídos do modelo podem então ser usados para realizar novas análises, por exemplo para aplicações de reconhecimento de padrões.

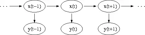
x — estados y — possíveis observações a — probabilidades de transição de estado b — probabilidades de saídas
Em um modelo regular de Markov, o estado é diretamente visível ao observador, e portanto os únicos parâmetros usados são as probabilidades de transição de estado. Cada estado possui uma distribuição de probabilidade sobre os possíveis resultados.
Esse tipo de modelo é conhecido por sua aplicação na área de reconhecimento de padrões temporais como a fala, a escrita, os gestos e a bioinformática.
Arquitetura
O diagrama abaixo mostra a arquitetura geral de um modelo oculto de Markov. Cada elemento oval representa uma variável aleatória que pode adotar um conjunto de valores. A variável aleatória é o estado escondido no instante de tempo (de acordo com o modelo do diagrama acima, ). A variável aleatória é a observação no instante de tempo (). As setas do diagrama indicam as dependências condicionais.
A partir do diagrama pode-se concluir que o valor da variável oculta (no instante de tempo ) depende exclusivamente do valor da variável escondida (no instante de tempo ), o que é chamado de propriedade de Markov. Da mesma forma, o valor da variável observada depende exclusivamente do valor da variável escondida (ambas no instante de tempo ).

Bibliotecas
- Biblioteca em C com interface em Python disponivel com licença LGPL. http://www.ghmm.org Em falta ou vazio
|título=(ajuda)