Ranitidina
Ranitidina é um fármaco comercializado como Antak® e genéricos como Antidin®, Iquego®, Ranitil®. É utilizado no tratamento de úlceras gástricas ou duodenais, esofagites por refluxo gastroesofágico e úlceras causadas por estresse. Age como antagonista dos receptores de histamina H2, processo esse que inibe a ligação de histamina ao H2 reduzindo a secreção de ácido gástrico pelas células parietais do estômago. Apesar de ter se tornado campeão de vendas em 1987, o medicamento já vinha ao longo dos anos perdendo espaço para outros fármacos com mecanismo de ação inibidor da bomba de prótons como Omeprazol. Em 26 de agosto de 2020 a Agência Nacional de Vigilância Sanitária (Anvisa), publicou uma resolução que retirou esse medicamento do mercado de forma definitiva, devido a possibilidade de degradação do ativo em N-nitrosodimetilamina (NDMA).
| Ranitidina Alerta sobre risco à saúde | |
|---|---|
![]() | |
| Nome IUPAC | N-(2-[(5-(dimethylaminomethyl)furan- 2-yl)methylthio]ethyl)- N-methyl- 2-nitroethene- 1,1-diamine |
| Identificadores | |
| Número CAS | ,(ranitidina) 66357-59-3 (cloridrato de ranitidina) 128345-62-0 (ranitidina bismuto citrato) |
| PubChem | |
| DrugBank | APRD00254 |
| ChemSpider | |
| Código ATC | A02 |
| Propriedades | |
| Fórmula química | C13H22N4O3S |
| Massa molar | 314.39 g mol-1 |
| Ponto de fusão |
73,5 °C (ranitidina, forma polimórfica A) [1] |
| Solubilidade em água | solúvel [3] |
| Solubilidade | solúvel em ácido acético [3] solúvel em metanol (cloridrato de ranitidina)[3] |
| Farmacologia | |
| Biodisponibilidade | 39 to 88% |
| Via(s) de administração | oral, IV |
| Metabolismo | hepático |
| Meia-vida biológica | 2–3 horas |
| Ligação plasmática | 15% |
| Excreção | renal |
| Riscos associados | |
| Frases R | - |
| Frases S | S22, S24/25 |
| LD50 | 884 mg·kg-1 (camundongo, per os) [4] |
| Página de dados suplementares | |
| Estrutura e propriedades | n, εr, etc. |
| Dados termodinâmicos | Phase behaviour Solid, liquid, gas |
| Dados espectrais | UV, IV, RMN, EM |
| Exceto onde denotado, os dados referem-se a materiais sob condições normais de temperatura e pressão Referências e avisos gerais sobre esta caixa. Alerta sobre risco à saúde. | |
Histórico
A Ranitidina tem seu desenvolvimento na década de 70 a partir de um princípio de modificação molecular. A modificação molecular é um ramo da química medicinal que visa alterar estruturas de moléculas de fármacos que já existem visando solucionar ou melhorar questões relacionadas a sua farmacodinâmica/farmacocinética.[5] Há 50, anos em estudos encabeçados por Sir James Black, foi descoberta a Cimetidina que representou um marco para a farmacologia moderna, foi o primeiro fármaco capaz de prevenir e tratar a úlcera péptica, quando até o momento o único tratamento era controle da acidez na luz gástrica. A Cimetidina, comercializada sob os nomes Tagamet®, Cimecol®, Cimetidan®, etc, possui ação sobre os receptores histaminérgicos do subtipo 2 (H2), atuando como antagonista reversível da histamina nos receptores H2 das células parietais gástricas produtoras de ácido, assim inibia a produção de ácido pelo estômago.
No caso, a Ranitidina se enquadra no que se chama de fármacos “me too”, fármacos desenvolvidos a partir de um protótipo. O princípio era impulsionar os efeitos terapêuticos da Cimetidina, por isso adotou-se o método de bioisosterismo, no qual consiste em substituir grupos dessas moléculas por outros com respostas semelhantes. A partir da Cimetidina, algumas mudanças estruturais, são elas modificações bioisostéricas do anel imidazólico e do grupamento funcional cianoguanidina do protótipo, resultaram em um aumento da potência e maior seletividade pelos receptores histaminérgicos no subtipo 2, assim aumentando a eficácia e dando origem a Ranitidina que é um fármaco até 10 vezes mais potente que seu antecessor.
Foi introduzida ao mercado em 1981, com medicamento de referência Antak® (GlaxoSmithKline), sendo em 1987 a prescrição mais vendida no mundo.[6] No Brasil, os genéricos (Antidin®, Iquego®, Ranitil®)[7] da ranitidina são comercializados sob as formas farmacêuticas de comprimido, solução injetável e xarope. Desde seu lançamento, foi amplamente substituída por medicamentos com eficácia maior na supressão da secreção de ácido gástrico, como os que são inibidores da bomba de prótons, sendo o omeprazol o medicamento mais vendido por vários anos.
Status Legal
Em 2020, o FDA determinou a retirada de todos os medicamentos com ranitidina prescritos e sem receita (OTC) do mercado imediatamente.[8] Visto que a impureza em alguns produtos aumentou com o tempo e quando armazenados em altas temperaturas, podem resultar na exposição do consumidor a níveis inaceitáveis dessa impureza.
No mesmo ano, a empresa retirou o produto do mercado francês devido a dificuldades de abastecimento. Além disso, no Brasil, o produto teve sua comercialização suspensa pela Anvisa (Agência Nacional de Vigilância Sanitária), pois na sua composição foi detectada a N-nitrosodimetilamina (NDMA), que pode estar ligada ao câncer e causar problemas para a saúde. Há lotes sendo recolhidos, de duas marcas farmacêuticas: Eurofarma e Laboratório Teuto Brasileiro. De acordo com especialistas, a presença de N-nitrosodimetilamina se trata de uma impureza que afeta alguns lotes, mas é importante interromper a comercialização até que o problema seja resolvido.
Em seguida, foi publicada pela Anvisa a RESOLUÇÃO-RE Nº 3.259/2020 (DOU nº 165, de 26/08/2020, Seção 1, p. 164), proibição da comercialização, distribuição, fabricação, importação, manipulação e propaganda do cloridrato de ranitidina, de forma definitiva.
No ANEXO da Resolução consta o seguinte:
"1. Empresa: Todas as empresas, independentemente da Natureza da atividade, de Medicamentos de uso humano
Produto - Apresentação (Lote): CLORIDRATO DE RANITIDINA - Todas as apresentações (Todos os lotes)
Tipo de Produto: Medicamento Expediente nº: 2796223/20-7 Assunto: 70351
MEDIDA PREVENTIVA- Ações de Fiscalização em Vigilância Sanitária Ações de fiscalização: Proibição - Comercialização, Distribuição, Fabricação, Importação, Manipulação, Propaganda.
Motivação: Possibilidade de formação da substância N-nitrosodimetilamina (NDMA) nos medicamentos contendo o insumo farmacêutico ativo cloridrato de ranitidina, originada pela degradação da própria molécula, de forma espontânea, dentro das formulações, não sendo até o momento identificada uma possibilidade para a estabilização da molécula frente a essa degradação.”[9]
Farmacologia

A gastrina e acetilcolina atuam na liberação da histamina, a qual age sobre os receptores 'H2' e estimulam as células parietais, localizadas principalmente na porção superior do estômago, a secretar ácido gástrico.
Os bloqueadores H2, como a ranitidina, inibem a secreção ácida gástrica produzida pela histamina ou outros agonistas destes receptores de maneira competitiva. O grau da inibição induzida com doses terapêuticas equivale à concentração plasmática do fármaco.
O desenvolvimento dos bloqueadores H2 teve início a partir da síntese da burimamida, através de uma modificação estrutural da molécula da histamina. Modificações estruturais da molécula da burimamida resultaram em outro fármaco, a metiamida, mais potente que o fármaco anterior. Entretanto, a ocorrência de granulocitopenia em cerca de 1% dos pacientes tratados com metiamida provocou a sua substituição pela cimetidina.[10]
Apresentam estruturas com anel imidazólico, o que não ocorre nos compostos desenvolvidos mais recentemente, como a ranitidina, que possui um furano ou a famotidina e a nizatidina, que possuem um tiazol no lugar daquele anel.[11]
Mecanismo de ação
Ranitidina inibe competitivamente e reversivelmente a ação da histamina nos receptores H2 das células parietais gástricas, reduzindo a secreção ácida gástrica durante o dia e em condições basais noturnas, mesmo quando estimulada por alimentos, insulina, aminoácidos, histamina ou pentagastrina.[12]
Farmacocinética e Modo de uso
A administração da ranitidina deve ser feita com alimentos ou imediatamente após as refeições, tem absorção rápida por via oral, é metabolizada no fígado, excretada através da urina e na bile. Sofre intenso efeito de primeira passagem, tendo biodisponibilidade de 50%. Possui pico plasmático de 1 a 3 horas (0,25 hora IM) e sua meia-vida é de 2 a 2,5 horas. Vale salientar que antiácidos podem bloquear os efeitos da ranitidina, mas podem ser administrados em horários separados, com intervalo mínimo de 30 minutos.[13]
Reações Adversas
Os eventos relatados em ensaios clínicos foram:
| Sistema nervoso central | Cardivasculares | Gastrintestinais | Hepáticas | Hematológicas | Dermatológicas | Outras |
|---|---|---|---|---|---|---|
| Mal-estar | Arritimias | Constipação | Hepatite hepatocelular | Leucopenia | Erupção cutânea | Hipersensibilidade |
| Tontura | Braquicardia | Diarreia | Hepatite colestática | Granulocitopenia | Eritema multiforme | Anafilaxia |
| Sonolência | Bloqueio atrioventricular | Náuseas | Icterícia | Trombocitopenia | Alopecia (raro) | Edema angioneurótico |
| Insônia | Extrassístole ventricular | Dor abdominal | Insuficiência hepática | Agranulocitose | Vasculite | Nefrite intersticial aguda |
| Vertigem | Pancreatite (raramente) | Pancitopenia | ||||
| Confusão mental reversível | Hipoplasia da medula | |||||
| Agitação | Anemia aplástica | |||||
| Depressão | ||||||
| Alucinações |
Síntese
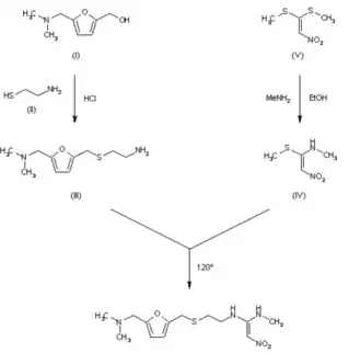
A síntese do cloridrato de ranitidina acontece através de diversas rotas sintéticas. Uma dessas rotas, no qual é utilizada em um dos laboratórios que produzem a matéria prima deste fármaco, se inicia a partir da reação de 5-dimetilaminometil-2-furanilmetanol (I) com 2-mercaptoetilamina (II) por meio de ácido clorídrico resultando em 2-[[(5-dimetilamino-metil-2-furanil)metiltio]etaneamina (III) que após isso, é condensado a 120°C com N-metil-1-metiltio-2-nitrotenamina (IV), este que é obtido como resultado da reação de 1,1-bis(metiltio)-2-nitroeteno (V) com metilamina em etanol a refluxo, assim nos dando a ranitidina[14].

Há uma outra rota utilizada, que se inicia a partir da condensação de nitrometano (I) com CS2 na presença de KOH, seguida por dialquilação do ditiocarboxilato intermediário com iodometano (II) dá 1,1,-bis(metilsulfanil)-2-nitroetileno (III). A condensação deste intermediário com 2-aminoetanol (IV) na presença de p-TsOH em EtOH origina 2(E)-(nitrometileno)oxazolidina(V), que então se acopla com metilamina (VI) produzindo 2-[1(E)-(metilamino)-2-nitrovinilamino]etanol (VII). A condensação de álcool primário com 5-(dimetilaminometil)-2-furilmetanotiol (VIII) na presença de ácido clorídrico a 0°C fornece ranitidina (IX), que é então tratada com HCl em EtOH, EtOH/H2O, EtOH/tolueno ou i-PrOH para fornecer o cloridrato de ranitidina[14].

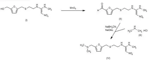
Apesar de ambas as rotas serem utilizadas na indústria, existe um estudo que relata uma rota mais simples que resulta em um maior rendimento e pureza do produto. Este consiste na oxidação de [5-[2-[1-(metilamino)-2-nitrovinilamino]etilsulfanilmetil]-2-furil]metanol (I) com MnO2 em CH2Cl2 fornecendo um produto que é posto a aminação redutiva com cloridrato de dimetilamina (III) na presença de NaBH3CN e NaOAc em MeOH fornecendo cloridrato de ranitidina (IV).[14]

Referências
- H.N. de Armas, Os.M. Peeters, N. Blaton, E. Van Gyseghem, J. Martens, G. Van Haele, G. Van Den Mooter: Solid state characterization and crystal structure from X-ray powder diffraction of two polymorphic forms of ranitidine base in J. Pharm. Sci. 98 (2009) 146–158, doi:10.1002/jps.21395.
- T.J. Cholerton, J.H. Hunt, G. Klinkert, M. Martin-Smith: Spectroscopic studies on ranitidine—its structure and the influence of temperature and pH in J. Chem. Soc. Perkin Trans. 2 1984 1761–1766, doi:10.1039/P29840001761.
- The Merck_Index: An Encyclopedia of Chemicals, Drugs, and Biologicals, 14. Auflage (Merck & Co., Inc.), Whitehouse Station, NJ, USA, 2006; S. 1396?1397, ISBN 978-0-911910-00-1.
- (en) « Ranitidina » em ChemIDplus.
- Barreiro; Fraga. «A QUESTÃO DA INOVAÇÃO EM FÁRMACOS NO BRASIL: PROPOSTA DE CRIAÇÃO DO PROGRAMA NACIONAL DE FÁRMACOS (PRONFAR)». Química Nova
- «The FDA Asks Companies to Stop Selling Ranitidine». Wired (em inglês). ISSN 1059-1028. Consultado em 29 de maio de 2021
- ANVISA. «Consultas»
- Commissioner, Office of the (2 de abril de 2020). «FDA Requests Removal of All Ranitidine Products (Zantac) from the Market». FDA (em inglês). Consultado em 28 de maio de 2021
- Nacional, Imprensa. «RESOLUÇÃO-RE Nº 3.259, DE 26 DE AGOSTO DE 2020 - DOU - Imprensa Nacional». www.in.gov.br. Consultado em 28 de maio de 2021
- Allen (2013). Formas farmacêuticas e sistemas de liberação de fármacos. Porto Alegre: Artmed
- ORSINE, E. M. de A. Determinação espectrofotométrica do cloridrato de ranitidina em medicamentos. São Paulo, 1992. 127 f. Dissertação (Mestrado em Fármaco e Medicamentos) - Universidade de São Paulo, São Paulo. 1992.
- de Lucia (2014). Farmacologia Integrada. São Paulo: [s.n.] pp. 21, 177
- Fundação Oswaldo Cruz (2006). Memento Farmacêutico. Brasília: [s.n.] p. 247
- «Cookie Required». ezl.periodicos.capes.gov.br. Consultado em 29 de maio de 2021
