Reação de Gewald
A reação de Gewald é uma reação orgânica envolvendo a condensação de uma cetona (ou aldeído quando R2 = H) com um α-cianoéster na presença de enxofre elementar e uma base para formar um 2-amino-tiofeno polissubstituído.[1] [2]

Mecanismo de reação
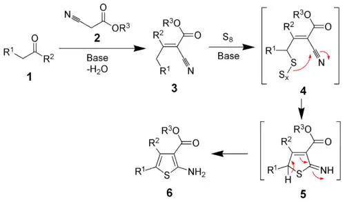
O mecanismo de reação da reação de Gewald foi elucidado somente em 1996.[3] O primeiro passo é uma condensação de Knoevenagel entre a cetona (1) e o α-cianoéster (2) produzindo o intermediário estável 3. O mecanismo da adição do enxofre é ainda desconhecido. Supõe-se que ocorre através do intermediário 4. Ciclização e tautomerização produzem o produto desejado (6).

Irradiação de microondas tem se mostrado benéfica ao rendimento e tempo de reação.[4]
Variações
Em uma variação da reação de Gewald o 3-acetil-2-aminotiofeno é sintetizado a partir de um ditiano [um aduto de enxofre e acetona (R = CH3)] e o sal de sódio da cianoacetona que por si só é muito instável [5]:

Referências
- Gewald, K.; Schinke, E.; Böttcher, H. Ber. 1966, 99, 94-100.
- Sabnis, R. W. Sulfur Rep. 1994, 16, 1-17. (Revisão)
- Sabnis, R. W.; Rangnekar, D. W.; Sonawane, N. D. J. Heterocyclic Chem. 1999, 36, 333.
- Sridhar, M.; Raoa, R. M.; Babaa, N. H. K.; Kumbhare, R. M. Tetrahedron Lett. 2007, 48, 3171-3172. (doi:10.1016/j.tetlet.2007.03.052)
- Gernot A. Eller, Wolfgang Holzer Molecules 2006, 11, 371-376 Artigo online