Condensação de Knoevenagel
A reação de condensação de Knoevenagel é uma modificação da condensação aldólica. Deve seu nome ao químico alemão Emil Knoevenagel.[1][2]
Uma condensação de Knoevenagel é uma adição nucleofílica de um carbânion a um grupo carbonila seguida de uma reação de desidratação na qual uma molécula de água é eliminada (daí o termo condensação). O produto é quase sempre uma enona alfa, beta conjugada.

Nesta reação o grupo carbonila é um aldeído ou cetona. O catalisador é geralmente uma amina fracamente básica. O composto de hidrogênio ativo (carbânion) tem uma das formas: [3]
- Z-CH2-Z or Z-CHR-Z, como, por exemplo, o malonato de dietila, o ácido de Meldrum, acetoacetato de etila ou o ácido malônico.
- Z-CHR1R2, por exemplo o nitrometano.
na qual Z é um grupo desativante. Z deve ser forte o suficiente para abstrair o hidrogênio do íon enolato mesmo com uma base fraca. Usar uma base forte nesta reação induziria a autocondensação do aldeído ou cetona.
A síntese da piridina de Hantzsch, a reação de Gewald e a síntese de Feist-Benary do furano todas possuem um passo da reação de Knoevenagel. A reação também levou à descoberta do gás CS.
Modificação de Doebner

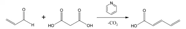
Com compostos malônicos o produto da reação pode perder uma molécula de dióxido de carbono em uma etapa subsequente. Na chamada modificação de Doebner [4] a base é a piridina. Por exemplo, o produto da reação de ácido malônico e acroleína em piridina é o ácido trans-2,4-pentadienóico com um grupo carboxila (-COOH) e não dois.[5]
Escopo
Uma condensação de Knoevenagel é demonstrada na reação de 2-metoxibenzaldeído 1 com o ácido barbitúrico 2 em etanol usando piperidina como uma base.[6] A enona resultante 3 é uma molécula transferidora de carga.

A condensação de Knoevenagel é uma etapa chave na produção comercial da droga antimalária lumefantrina (um componente do Coartem) [7]:

O produto inicial da reação é uma mistura 50:50 de isômeros E e Z, mas como ambos isômeros se equilibram rapidamente com o precursor hidroxilado em comum, o Z-isômero (mais estável)pode ser eventualmente obtido.
Uma reação multicomponente aplicando uma condensação de Knoevenagel é demonstrada nesta síntese de MORE com ciclohexanona, malononitrila e 3-amino-1,2,4-triazol [8]:

Ver também
Referências
- Jones, G. Org. React. 1967, 15.
- Emil Knoevenagel (1898). «Kondensation von Malonsäure mit Aromatiachen Aldehyden durch Ammoniak und Amine (Condensação do ácido malônico com aldeídos aromáticos)». Berichte der deutschen chemischen Gesellschaft. 31 (3): 2596–2619. doi:10.1002/cber.18980310308
- Predefinição:JerryMarch
- O. Doebner (1902). «Ueber die der Sorbinsäure homologen, ungesättigten Säuren mit zwei Doppelbindungen (Sobre os homólogos do ácido sórbico, ácidos insaturados contendo duas ligações duplas)». Berichte der deutschen chemischen Gesellschaft. 35: 1136–1136. doi:10.1002/cber.190203501187
- Peter J. Jessup, C. Bruce Petty, Jan Roos, and Larry E. Overman (1988). «1-N-Acylamino-1,3-dienes from 2,4-pentadienoic acids by the curtius rearrangement: benzyl trans-1,3-butadiene-1-carbamate». Org. Synth.; Coll. Vol., 6
- 1,3-Diethyl-5-(2-methoxybenzylidene)-2-thioxodihydropyrimidine-4,6(1H,5H)-dione Abdullah Mohamed Asiria, Khaled Ahmed Alamrya Abraham F. Jalboutb, Suhong Zhang Molbank 2004, M359 publication.
- An Improved Manufacturing Process for the Antimalaria Drug Coartem. Part II Ulrich Beutler, Peter C. Fuenfschilling, and Andreas Steinkemper Org. Process Res. Dev.; 2007; 11(3) pp 341 - 345; (Article) doi:10.1021/op060244p
- Mild and ecofriendly tandem synthesis of 1,2,4-triazolo[4,3-a]pyrimidines in aqueous medium Arkivoc 2007 (06-2251BP) Anshu Dandia, Pritima Sarawgi, Kapil Arya, and Sarita Khaturia Link