Via do xikimato (shikimato)

rota do chiquimato
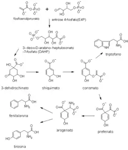
A via do xikimato (via do ácido chiquímico) é uma rota metabólica de sete passos usada por bactérias, fungos, algas, parasitas e plantas para a biossíntese de aminoácidos aromáticos (fenilalanina, tirosina e triptofano). Essa via não é encontrada em animais, de forma que seus produtos representam aminoácidos essenciais que têm de ser obtidos através da dieta dos animais.
A rota inicia pela reação do fosfoenol piruvato fosfoenol com a eritrose-4-fosfato, e termina com o corismato, um substrato para os três aminoácidos aromáticos.[1] A quinta enzima envolvida é a chiquimato quinase, uma enzima que catalisa a fosforilação do chiquimato dependente de ATP para formar o 3-fosfato chiquimato. O 3-fosfato xiquimato é então acoplado ao piruvato de fosfoenol para dar 5-enolpiruvilxiquiimato-3-fosfato através da enzima 5-enolpiruvilxiquimato-3-fosfato (EPSP) sintase. O ácido prefênico é então sintetizado por um Rearranjo de Claisen do corismato pela corismato mutase.[2][3]O corismato é o ponto de partida para a biossíntese das vitaminas aromáticas: folato, ubiquinona, menaquinona e entreoquelina. Os aminoácidos fenilalanina, tirosina e triptofano atuam funcionam como reguladores alostéricos, e sua presença diminui em até 90 % a atividade da DAHP sintetase, porém não inibe completamente para manter a síntese das vitaminas. O prefenato é oxidativamente descarbonizado com retenção do grupo hidroxila para gerar p-hidroxifenilpiruvato, que é transaminado utilizando-se o glutamato como fonte de nitrogênio para gerar tirocina e α-cetoglutarato.
Referências
- PMID 15012217 (PubMed)
- Helmut Goerisch (1978). «On the mechanism of the chorismate mutase reaction». Biochemistry. 17 (18). 3700 páginas. doi:10.1021/bi00611a004
- Peter Kast, Yadu B.
Bibliografia
- Brown, Stewart A.; Neish, A. C. (1955). «Shikimic Acid as a Precursor in Lignin Biosynthesis». Nature. 175 (4459): 688–689. ISSN 0028-0836. doi:10.1038/175688a0
- Weinstein, L. H.; Porter, C. A.; Laurencot, H. J. (1962). «Role of the Shikimic Acid Pathway in the Formation of Tryptophan in Higher Plants : Evidence for an Alternative Pathway in the Bean». Nature. 194 (4824): 205–206. ISSN 0028-0836. doi:10.1038/194205a0
- Wilson, D J; Patton, S; Florova, G; Hale, V; Reynolds, K A (1998). «The shikimic acid pathway and polyketide biosynthesis». Journal of Industrial Microbiology and Biotechnology. 20 (5): 299–303. ISSN 1367-5435. doi:10.1038/sj.jim.2900527
<tbody id="136"></tbody>
This article is issued from Wikipedia. The text is licensed under Creative Commons - Attribution - Sharealike. Additional terms may apply for the media files.