Betalactama
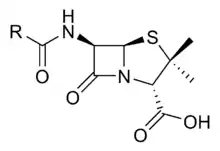
Um anel beta-lactama (β-lactama) é uma lactama com uma estrutura em anel heteroatômico, consistindo de três átomos de carbonos e um átomo de nitrogênio[1]. O anel beta-lactama é parte da estrutura de diversas famílias de antibióticos, principalmente as penicilinas, cefalosporinas, carbapenemas e monobactamas, as quais são consequentemente também chamadas antibióticos beta-lactâmicos. Estes antibióticos trabalham por inibir a síntese da parede celular bacteriana. Isto tem um efeito letal sobre as bactérias, especialmente sobre as Gram positivas. Bactérias podem desenvolver resistência contra antibióticos beta-lactamas por produzir beta-lactamase.

A primeira β-lactama sintética foi preparada por Hermann Staudinger em 1907 por reação da base de Schiff da anilina e benzaldeído com difenilcetena [2] [3] em uma cicloadição [2+2]:
Referências
- Heterocyclic chemistry T.L. Gilchrist ISBN 0-582-01421-2
- Hugo (Ugo) Schiff, Schiff Bases, and a Century of b-Lactam Synthesis Thomas T. Tidwell Angew. Chem. Int. Ed. 2007, 46, 2–7 doi:10.1002/anie.200702965
- H. Staudinger, Justus Liebigs Ann. Chem. 1907, 356, 51 – 123.






