Quinolina
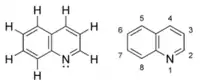
Quinolina é o composto aromático heterocíclico de fórmula química C9H7N com dois anéis, em que um carbono na posição 1 é substituído pelo heteroátomo Nitrogênio (N). Quinolina é um composto incolor, higroscópico líquido com forte odor característico. A quinolina apresenta instabilidade na presença de luz e oxigênio, tornando-se amarelada ou marrom, dependendo das condições de exposição à luz. Quinolina é ligeiramente solúvel em água fria, mas é bastante solúvel em água quente e na maioria dos solventes orgânicos. Um dos derivados químicos da quinolina bastante conhecido é a quinina.
| Quinolina Alerta sobre risco à saúde | |
|---|---|
![]() | |
![]() | |
| Nome IUPAC | Quinoline |
| Outros nomes | 1-benzazine, 1-azanaphthalene, benzo[b]pyridine |
| Identificadores | |
| Número CAS | |
| SMILES |
|
| Propriedades | |
| Fórmula molecular | C9H7N |
| Massa molar | 129.16 g/mol |
| Densidade | 1.093 g/ml |
| Ponto de fusão |
−15 °C |
| Ponto de ebulição |
238 °C |
| Solubilidade em água | Soluble |
| Compostos relacionados | |
| Compostos aromáticos com estrutura semelhante ao Naftaleno relacionados | Naftaleno (hidrocarboneto) Isoquinolina (N na posição 2) Quinazolina (2 Ns, posições 1 e 3) Quinoxalina (2 Ns, posições 1 e 4) |
| Compostos relacionados | Piridina (um anel hexagonal com um N) 8-Hidroxiquinolina Quinaldina (2-Metilquinolina) Indol (anel com N pentagonal fundido a anel benzênico) Acridina (três aneis hexagonais, com N no anel central) Quinina (fármaco derivado da quinolina) 4-Nitroquinolina-1-óxido |
| Página de dados suplementares | |
| Estrutura e propriedades | n, εr, etc. |
| Dados termodinâmicos | Phase behaviour Solid, liquid, gas |
| Dados espectrais | UV, IV, RMN, EM |
| Exceto onde denotado, os dados referem-se a materiais sob condições normais de temperatura e pressão Referências e avisos gerais sobre esta caixa. Alerta sobre risco à saúde. | |
This article is issued from Wikipedia. The text is licensed under Creative Commons - Attribution - Sharealike. Additional terms may apply for the media files.

