Verde malaquita
Verde malaquita, também chamado verde de anilina, verde básico 4, verde diamante B, ou verde vitória B, nome IUPAC:4-[(4-dimethylaminophenyl)-phenyl-methyl]-N,N-dimethyl-aniline é uma substância química tóxica primeiramente usada como um corante. É um corante triarilmetano.
| Verde malaquita Alerta sobre risco à saúde | |
|---|---|
![]() | |
![]() | |
| Nome IUPAC | 4-[(4-dimethylaminophenyl)-phenyl-methyl]-N,N-dimethyl-aniline |
| Identificadores | |
| Número CAS | ,(cloreto) 18015-76-4 (oxalato) |
| PubChem | |
| SMILES |
|
| Propriedades | |
| Fórmula molecular | C23H25ClN2 (cloreto) |
| Massa molar | 364.911 g/mol (cloreto) |
| Solubilidade em água | Cloreto: muito solúvel em água, etanol, metanol e álcool amílico [1] |
| Riscos associados | |
| Frases R | R22, R41, R63, R35 |
| Frases S | S2, S26, S36/37, S39, S46 |
| LD50 | 80 mg·kg-1 (camundongo, peroral)[2] |
| Compostos relacionados | |
| Compostos relacionados | Trifenilmetano Violeta de genciana (cloreto de tris(4-(dimetilamino)fenil)metílio) Verde malaquita G (sulfato ou oxalato em vez de cloreto, dietilaminos em vez dos dimetilaminos) |
| Página de dados suplementares | |
| Estrutura e propriedades | n, εr, etc. |
| Dados termodinâmicos | Phase behaviour Solid, liquid, gas |
| Dados espectrais | UV, IV, RMN, EM |
| Exceto onde denotado, os dados referem-se a materiais sob condições normais de temperatura e pressão Referências e avisos gerais sobre esta caixa. Alerta sobre risco à saúde. | |
Usos
Quando diluida, pode ser usada como um antiséptico tópico ou para tratar parasitas, infecções por fungos, e infecções por bactérias em peixes e ovos de peixes. É também usado como corante bacteriológico e em química analítica.
Entretanto, em 1992 no Canadá, foi determinado que há um significativo risco para a saúde de pessoas que se alimentem de peixe contaminado com verde malaquita. A substância foi classificada com um Class II Health Hazard porque foi descoberto ser tóxica para células humanas e podendo causar formação de tumores no fígado. Entretanto, devido a sua facilidade de produção e baixo custo, ele ainda é utilizzado em determinados países com leis menos restritivas para propósitos diversos da aquacultura. Em 2005 enguias e peixes importados da China e Taiwan foram encontrados em Hong Kong com traços desta substância. Também, em 2006 o FDA (Food and Drug Administration) dos EUA detectou verde malaquita em frutos do mar importados para este país para consumo humano da China, onde a substância é também banida para uso em aquacultura. Em junho de 2007, o FDA bloqueou a importação de diversas variedades de frutos do mar devido a contínua contaminação com verde malaquita. A substância foi banida nos EUA desde 1983 nas aplicações relacionadas a produção de alimentos.
Como indicador de pH, com intervalo de viragem, em pH 0,2 a 1,8 , quando vira de amarelo para verde-azulado, é normalmente utilizado na forma de uma solução em água.[3]
Estruturas de verde malaquita e compostos relacionados

Fonte: chemistry.tidalswan.com (em inglês)
As estruturas dos compostos explicam certas propriedades químicas e biológicas, tais como como podem ser absorvidos no corpo e quão reativo eles são. O verde malaquita é comumente conhecido em uma forma chamada cromática na qual é um corante verde. Entretanto, como ele é absorvido pelo corpo, é convertido pelos mecanismos corporais em outras formas que são igualmente importantes para serem consideradas. A primeira forma é chamada a forma carbinol, a qual é importante porque ela permeia pelas membranas das células mais rapidamente. Quando está dentro da célula, ela é metabolizada em uma forma chamada leuco-verde malaquita. Esta forma é conhecida pelos pesquisadores por ser tóxica em adição ao fato que é retida pelo corpo por um longo período que a forma cromática do verde malaquita.
Forma cromática de verde malaquita
Verde malaquita é usado para tingir materiais como seda, couro e papel. A substância atualmente conhecida como verde malaquita não contém o mineral malaquita — o nome advém da similaridade de sua coloração.
Verde malaquita é também reconhecida como sendo especialmente ativa contra fungos Saprolegnia, os quais infectam ovos de peixes em aquacultura comercial. É também um tratamento muito popular contra ichthyophthirius (íctio) em aquários de água doce. O principal metabólito, leuco-verde malaquita (LMG) (do inglês leuco-malachite green), é a principal substância encontrada em peixes tratados com verde malaquita. Isto é devido a sua longa retenção nos tecidos musculares dos peixes.
O uso desta substância tem sido banido em muitos países como um agente suspeito de ser carcinogênico. testes de laboratório revelaram que ratos alimentados com verde malaquita na concentraçao de 100 ppb por mais de dois anos apreesentaram sinais de tumores.
Verde malaquita é conhecido por ser altamente tóxico a certos peixes de água doce como tetras, peixes-gato e peixes-gato tubarão. É muito recomendado que meia dosagem seja observada em tanques de água doce com peixes-gato, tetras, scaleless (Kosswigichthys asquamatus, e outros peixes peixes "limpa-fundo".
Verde malaquita é usado como um corante biológico para análise microscópica de células e amostras de tecidos. No método de coloração de Gimenez, fucsina básica colore bactérias de vermelho ou magenta, e verde malaquita é usado como um corante de contraste azul-esverdeado. Verde malaquita pode também diretamente colorir endósporos em células; aqui um corante de contraste a base de safranina é frequentemente usado.
Verde malaquita pode também ser usado como um absorvedor saturável em corantes laser, ou como um indicador de pH entre pH 0.2 - 1.8. Entretanto este uso é relativamente raro.
Leuco-verde malaquita (LMG) é usado em um método de detecção para sangue latente em criminalística. Hemoglobina catalisa a reação entre LMG e peróxido de hidrogênio, convertendo a incolor LMG a forma cromática do verde malaquita. Consequentemente, a aparição de uma cor verde indica a presença de sangue.
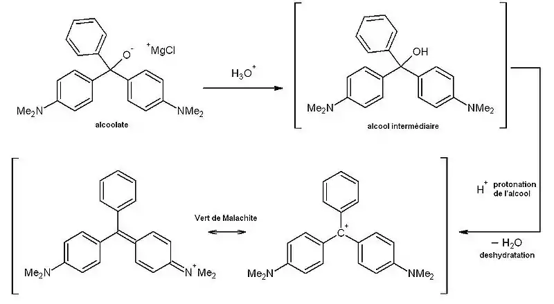
Síntese[4].

A adição de um reagente de Grignard (aqui o cloreto de fenil magnésio C6H5MgCl) sobre a cetona de Michler (ou 4,4'-bis(dimetilamino)-benzofenona (Me2NPh)2CO) conduz a obtenção de um alcoolato terciário intermediário.

Subsequentemente, uma hidrólise em meio extremamente ácido (HCl 1N) conduz ao álcool terciário indermediário. Este último desidrata-se espontaneamente na mistura reacional que forma carbocátion estável, solúvel na água. O verde de malaquite é estabilizado por mesomeria.
Referências
- Thieme Chemistry, ed. (2009). «RÖMPP Online - Version 3.5». Stuttgart: Georg Thieme Verlag KG
- Catálogo da Sigma-Aldrich, Verde malaquita, consultado em 9 de abril de 2011
- Acid Base Indicators Arquivado em 16 de julho de 2011, no Wayback Machine. - ifs.massey.ac.nz (em inglês)
- Sabine Chierici, Fascicules de TP de chimie organique de l'UE CHI232 "Chimie expérimentale", UJF, 2006
Bibliografia
- Bongsup P. Cho et al, Chem. Res. Toxicol., 16 (3), 285 -294, (2003). 10.1021 - Found important information about synthesis of molecule.
- S.M. Plakas, et al, Can. J. Fish. Aquat. Sci. 53: 1427.1433 (1996). - Found general background information about toxicity of malachite green and its uptake in Catfish. Information was extremely specific but effects of pH on malachite green was used in the "Detection" area of site.
- S.J. Culp et al. / Mutation Research 506–507 (2002) 55–63 - Detailed information about toxicity of malachite green.
- S. M. Plakas, K. R. El Said, G. R. Stehly, W. H. Gingerich and J. H. Allen, Can. J. Fish. Aquat. Sci. 53, 1427–1433 (1996).
- Schoettger, 1970; Smith and Heath, 1979; Gluth and Hanke, 1983. Bills et al. (1977)
- Research done on eggs and fry of large mouth bass, Micropterus salmonides.

