Antraquinona
Antraquinona é um composto de fórmula (C14H8O2). Foi obtido pela primeira vez em 1827 pela hidrólise do antraceno, e atualmente preparado pela condensação do anidrido ftálico com o benzeno. Sólido rosáceo, sublimável, sua nitração ou sua sulfonação fornecem intermediários para a síntese dos corantes antraquinônicos. Introduzindo radicais OH, NH2, NR2 tornam-se poderosos corantes, ou os corantes antraquinônico.
| Antraquinona Alerta sobre risco à saúde | |
|---|---|
![]() | |
| Nome IUPAC | Antraquinona |
| Outros nomes | 9,10-antracenodiona, antradiona, 9,10-antraquinona, antraceno-9,10-quinona, 9,10-diidro-9,10-dioxoantraceno, Hoelite, Morkit, Corbit |
| Identificadores | |
| Número CAS | |
| PubChem | |
| SMILES |
|
| Propriedades | |
| Fórmula química | C14H8O2 |
| Massa molar | 208.2 g mol-1 |
| Aparência | laranja amarelado, cinza claro ao verde acinzentado sólido |
| Densidade | 1,44 g·cm-3[1] |
| Ponto de fusão |
286 °C[1] |
| Ponto de ebulição |
380 °C[1] |
| Solubilidade em água | Insolúvel [1] |
| Solubilidade | Solúvel em etanol e éter dietílico[2] Solúvel em benzeno aquecido [2] |
| Pressão de vapor | 13 mPa (50 °C)[1] |
| Riscos associados | |
| Frases R | R43 |
| Frases S | S36/37 |
| Ponto de fulgor | 185°C |
| Compostos relacionados | |
| Quinonas relacionados | Benzoquin-1,4-ona (um anel) Naftoquinona (dois anéis) Alizarina (1,2-di-hidroxi-antraquinona) 2-Etil-antraquinona |
| Compostos relacionados | Antraceno (hidrocarboneto) Alizarina (1,2-Diidroxiantraquinona) |
| Página de dados suplementares | |
| Estrutura e propriedades | n, εr, etc. |
| Dados termodinâmicos | Phase behaviour Solid, liquid, gas |
| Dados espectrais | UV, IV, RMN, EM |
| Exceto onde denotado, os dados referem-se a materiais sob condições normais de temperatura e pressão Referências e avisos gerais sobre esta caixa. Alerta sobre risco à saúde. | |
As antraquinonas são também conhecidas por antranóides, derivados antracênicos ou derivados hidroxiantracênicos e são uma subclasse dos compostos denominados quinonas. Nas plantas as antraquinonas são produzidas após a formação das antronas e antronóis, isto por que as antraquinonas são formadas por reações como auto-oxidação das antronas livres ou ainda pela ação de enzimas da própria planta. As antronas que dão origem as antraquinonas, também podem ser transformadas em diantronas e naftodiantronas, no entanto, apenas as antraquinonas é que possuem ação farmacológica (laxativa).
Quanto às propriedades físicos-químicas analisando de modo geral, as quinonas se apresentam na forma de substâncias cristalinas de coloração amarela até vermelha. As antraquinonas possuem coloração laranja ou vermelha e são as mais estavéis em soluções aquosas acidificadas em relação às diantronas e naftodiantronas.
As antraquinonas hidroxiladas assim como as demais quinonas hidroxiladas em meio alcalino irão produzir o ânion fenoxilato que irão se apresentar em uma coloração purpúra.
Não diferente disso, as antraquinonas que possuem hidroxilas no carbono 1 e 8 se apresentam com uma acidez comparada ao dos ácidos carboxílicos por se apresentarem com uma estrutura viníloga com o ácido carboxílico, por essas características o teste utilizado para a sua identificação é a reação de Borntrager que é realizada em meio alcalino.
As antraquinonas são frequentemente encontradas nas famílias Rubiaceae, Caesalpiniaceae, Rhamnaceae, Polygonaceae, Liliaceae, Verbenaceae e Asphodedelaceae e entre suas ações farmacológicas a principal é o efeito laxativo. Na planta as antraquinonas desempenham a função de defesa contra patógenos devido ao seu efeito anti-fúngico.
Ações biológicas e farmacológicas
Ação biológica
- Papel de defesa contra insetos e outros patógenos;
- Toxicidade para cupins (aumenta resistência da matéria);
- Atividade alelopática (inibe o crescimento de outras espécies, evitando competição, papel principalmente as naftoquinonas)
Ação farmacológica
- Ação laxativa: para apresentar essa ação é necessária a existência de hidroxilas nas posições C-1 e C-8. Babosa, Ruibarbo, Senna, Cáscara sagrada têm efeitos purgativos catárticos quando usados em doses altas.
- Outras ações: Atividade antibacteriana, antifúngica, antiviral contra poliovírus dos tipos 2 e 3e antitumoral – principalmente das naftaquinonas, porém essas ações são mais importantes para as plantas visto que apresentam elevada toxicidade para as células animais.
Mecanismos de atividade laxativa dos antranóides
- Estimulação direta da contração da musculatura lisa do intestino, aumentando a motilidade intestinal;
- Inibição da reabsorção de água através da inativação da bomba de Na+/ K+ - ATPase;
- Inibição dos canais de Cl-
- Glicosídeos – maior potência farmacológica, porém tem menores índices de absorção (biodisponibilidade). Ação laxante em doses elevadas.
Aplicações industriais
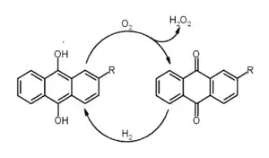
Uma importante aplicação industrial de antraquinonas é na produção de peróxido de hidrogênio. 2-Etil-9,10-antraquinona ou algum outro derivado de alquila relacionado é usado, além da própria antraquinona.[3]
Produção catalítica de peróxido de hidrogênio através do processo com antraquinona
Fitoterapia
Plantas que contém antraquinonas
- Sene
- Cáscara-sagrada
- Ruibado
- Babosa
- Ipê-roxo
- Hena
Referências
- Registo de CAS RN 84-65-1 na Base de Dados de Substâncias GESTIS do IFA, accessado em 8 de Janeiro de 2008.
- Thieme Chemistry, ed. (2009). RÖMPP Online - Version 3.5. Stuttgart: Georg Thieme Verlag KG
- Goor, G.; Glenneberg, J.; Jacobi, S. (2007). «Hydrogen Peroxide». Ullmann's Encyclopedia of Industrial Chemistry. Weinheim: Wiley-VCH. doi:10.1002/14356007.a13_443.pub2
